1301.0 - Year Book Australia, 2001  
ARCHIVED ISSUE Released at 11:30 AM (CANBERRA TIME) 25/01/2001   
   Page tools: Print Print Page

A CENTURY OF POPULATION CHANGE IN AUSTRALIA

Professor Graeme Hugo

Graeme Hugo is professor of the Department of Geographical and Environmental Studies and Director of the National Key Centre in Research and Teaching in Social Applications of Geographical Information Systems at the University of Adelaide. He completed his PhD in demography at the Australian National University in 1975 and subsequently took up an appointment at Flinders University in South Australia. He has since held visiting positions at the University of Iowa, University of Hawaii, Hasanuddin University (Indonesia) and the Australian National University and has worked with a number of international organisations, as well as many Australian government departments and instrumentalities.

He is the author of over two hundred books, articles in scholarly journals and chapters in books, as well as a large number of conference papers and reports.

In 1987 Professor Hugo was elected a fellow of the Academy of Social Sciences in Australia and has been president of the Australian Population Association and was a member of the National Population Council. He was a member of the International Union for the Scientific Study of Population Committee on South-North Migration and two panels of the Australian Research Council.


INTRODUCTION

In 1901 Australia’s population numbered 3,788,123. Of these people in 1999 around 4,000 were still alive, but in their lifetime the national population has increased more than five fold. Substantial change in the national population, however, has not been restricted to increasing numbers because the composition and also the spatial distribution of the Australian population was transformed over the period. Shifts in population tend to be more gradual and less sudden than economic, social and political changes and hence less dramatic. However, they are just as important in influencing Australian society. Year Book Australia has charted these shifts and indicated just how substantial and striking the changes have been in Australian demography. The present article, a companion to the chapter, Population , summarises the major changes in population levels, composition and spatial distribution which have occurred since the publication of the first Year Book in 1908. It draws upon ABS data collections over the last century, especially those from censuses of population and housing, registration statistics, international migration statistics and, to a lesser extent, information from national surveys. Over the years there have been major changes not only in the way data have been collected and disseminated but also in the questions asked, and concepts adopted, in data collections (Paice, 1990).

Australian Year Books published over the last century represent an important national archive of the shifts which have occurred not only in the nation’s demography but also in the economy and society more broadly. They chart the transition from a predominantly Anglo-Celtic to a multicultural society, from a dominance of male breadwinner families to a greater diversity of family and household types, from a country in which 41.3% lived in rural areas to one where 14% lived in such areas, and where the proportion of workers in agriculture fell from 30.2% in 1911 to 4.3% in 1996 and those in manufacturing increased from 26.4% in 1901 to 28.0% in 1954 but then fell to 12.5% in 1998-99. Australia has gone from a situation in which there were 111 men to every 100 women but now there are 99, in which 25.0% of women working outside the home has risen to 54.4% and from when women had 3.8 children on average to an average now of 1.7. These and many more changes have been a cause and consequence of the social, economic and political change that has swept Australia over the last century.



Population size and growth

At the turn of the century Australia’s population of 19,080,800 ranked it as the fiftieth largest country in the world by population. The population is currently growing at 1.2% per annum which is close to the rate at which the world’s population is increasing and well above those of most other OECD countries, as table C4.1 indicates.

C4.1 AVERAGE ANNUAL RATES OF POPULATION GROWTH

Country/region
Year(s)
Rate per annum

World
1990-2000
1.4
World
1980-1990
1.7
Less Developed Countries
1990-2000
1.7
More Developed Countries
1990-2000
0.3
Europe and the New Independent States
1990-2000
0.1
North America
1990-2000
1.0
ESCAP Region
1999-2000
1.5
Indonesia
1998-1999
1.4
Australia
1999-2000
1.1

Source: McDevitt 1999; Population Reference Bureau 1999 and 2000; ESCAP 1999.


The national population increased steadily in the first half century after Federation, but as the chapter's graph 5.3 shows, it increased more steeply after World War II.

However, a different picture emerges if we examine changes in the rate of growth of the population in graph C4.2 where the fluctuations are in contrast to the steady increases depicted in graph 5.3. The two world wars and the Great Depression of the 1930s stand out as periods of low population growth while the last half century has been an era of sustained growth, albeit with rates higher in the first half of the period than in the second.




At the time of arrival of the first European settlers it was thought that over 300,000 indigenous people lived in Australia. It took 70 years for the population to reach a million, and table C4.3 indicates that there was a subsequent speeding up of the rate at which millions were added to the population until the slowdown of the Depression and World War II. The progression over the post-war period from seven and a half million to over 19 million at the end of the twentieth century has seen millions added at rates of between 3 years and 6 months and 5 years and seven months. (See also the article Million milestones.)

C4.3 POPULATION GROWTH SINCE EUROPEAN SETTLEMENT, Time Elapsed Between Successive Millions - 1788 to 1999

Year and
month attained

Interval since previous
million attained

Average annual rate
of population growth

Population
Year
Month
Years
Months
%

One million
1858
n.a.
70
n.a.
n.a.
Two million
1877
n.a.
19
n.a.
3.7
Three million
1889
n.a.
12
n.a.
3.4
Four million
1905
n.a.
16
n.a.
1.8
Five million
1918
n.a.
13
n.a.
1.7
Six million
1925
n.a.
7
n.a.
2.6
Seven million
1939
n.a.
14
n.a.
1.1
Eight million
1949
November
10
n.a.
1.3
Nine million
1954
August
4
9
2.5
Ten million
1959
March
4
7
2.3
Eleven million
1963
December
4
9
2.0
Eleven million
1963
October
. .
. .
. .
Twelve million
1968
June
4
8
1.9
Thirteen million
1972
September
4
3
1.9
Thirteen million
1971
March
. .
. .
. .
Fourteen million
1976
March
5
0
1.5
Fifteen million
1981
October
5
7
1.2
Sixteen million
1986
August
4
10
1.3
Seventeen million
1990
February
3
6
1.6
Eighteen million
1995
March
5
1
1.2
Nineteen million
1999
August
4
5
1.2

Source: Year Book Australia (1301.0), various issues; Australian Demographic Statistics (3101.0), various issues.


National population growth can be disaggregated into natural increase (births minus deaths) and net migration (immigrants minus emigrants). Graph C4.4, and the chapter's graph 5.6, indicate that net migration has been a much more volatile element in population change, with levels fluctuating between net losses in the two wars and Depression and high levels of gain before and after World War I and after World War II.




The graph shows how significantly different the second half century has been compared with the first and how important net migration has been in post-war population growth in Australia. Natural increase levels increased steeply in the early post-war years, peaking in the early 1970s, but in recent years have generally been between 120,000 and 140,000. In the last two decades the annual contribution of net migration to population growth in Australia has varied between 17.8% (1993) and 55.5% (1989). Of the last million persons added to Australia’s population it is estimated that some 47% were contributed by net international migration.1 To understand the effects of natural increase and net migration it is necessary to consider the processes of population change - mortality, fertility and migration - separately.


Mortality

No achievement of Australia’s twentieth century could have been greater than the fact that a baby girl born at the time of Federation could expect to live to 58.84 years of age while her counterpart a century later could look forward to 23 years more life.2 Graph C4.5 shows the pattern of increase in life expectancy3 over the last century; it is interesting that the gap between males and females has widened over the century from 3.7 to 8.1 years in the 1960s before converging to 5.3 years in 1998.



Genetic differences account for only around two years of the difference, so the remainder is explainable in terms of different patterns of lifestyle. The widening of the gap in the first decade of the century is associated with a substantial shift which occurred in the causes of death. At the time of Federation the majority of deaths occurring in Australia were caused by infectious disease. However, as graph C4.6 shows, there was an increase throughout the century in the proportion of deaths due to degenerative disease.



Lifestyle effects such as the effects of diet, smoking, drinking, driving etc. are much greater in degenerative causes of death than in deaths caused by infectious disease. Cancer, heart disease and stroke accounted for one in five deaths in 1901 and now account for more than two-thirds.

This transformation has been a function of many things - improved sanitation, better diets, education, improved therapeutic measures, advances in drug therapy etc. The downturn in death from stroke and heart disease in the last thirty years is evident in graph C4.6. This has been due to both lifestyle changes (reduced smoking, increased action-oriented leisure, improved diets) as well as medical advances (the infrastructure of intensive care units, heart bypass surgery, better detection of heart disease etc.). It has had the important effect of improving the life expectancy among the older population. For the century preceding the early 1970s the bulk of improvement in Australian life expectancy had come about through a decrease in infant, child and, to a lesser extent, maternal mortality. In 1901 more than 1 in 10 babies born in Australia died before they reached their first birthday. Graph 4.7, however, shows how this was drastically reduced over the last century so that by 1999 the Infant Mortality Rate had fallen from 103.6 in 1901 to 5.3 in 1999.




Perhaps there is no better indicator of the massive improvements which have occurred in the wellbeing of Australians over the last century than the fact that at the time of Federation more than 100 out of every 1,000 babies born died before their first birthday, while at the centenary of Federation it has been reduced to 5.3. The causes of this change are many - improvements in pre-natal and post-natal care, reduced unplanned fertility, development of techniques to deal with prematurity, drug development, improved diet, improved sanitation, improved birth conditions etc.

The improvements in infant mortality were a major cause of increase in life expectancy at birth. However, improvements in life expectancy at older ages were not as great. For example, the life expectancy of Australians over age 50 changed little over that period, improving 1.6 years for men and 4.2 years for women between 1870 and 1970 (Hugo 1986, 21). However, between 1970-72 and 1998 the improvement was 4.69 years for men and 4.87 years for women. This was largely a result of the reduction in death from ischaemic heart disease. What this meant was that there has been in Australia an unanticipated greater degree of survival of our elderly population. Moreover, service providers have been dealt a ‘double whammy’: not only have they been confronted with a situation in which there are an unexpectedly large number of older people surviving, but the survivors may be ‘sicker’ on average than in the past. The people ‘rescued from death’ by the new developments in medicine etc., who previously would have died, are generally not rescued in full health. Accordingly, the incidence of illness and disability among the elderly population has increased.

Hence table C4.8 indicates that the incidence of disability and hardship among the older population has increased in Australia between 1981 and 1998.

C4.8 PROPORTION OF POPULATION WITH DISABILITIES, Australia - 1981 to 1998

Age group (years)
1981

%
1988

%
1993

%
1998

%

65–69
33.1
41.5
39.5
40.5
70–74
38.5
48.2
53.1
49.8
75 and over
53.1
63.4
64.0
67.5
All people
13.2
15.5
16.6
18.8

Source: Australian Bureau of Statistics 1999a, 18.


Fertility

The twentieth century both began and ended with widespread concern about low and declining fertility in Australia.



As graph 4.9 shows, the Total Fertility Rate5 (TFR) was close to 4 in 1901, but this represented a decline of more than a third over the previous thirty years, and such was the concern that in August 1903 the New South Wales government appointed a Royal Commission on the Decline of the Birth Rate (Hicks 1978). The main statistical evidence examined by the committee was an essay prepared by T.A. Coghlan (1903). Almost a century later McDonald (2000, p. 19) wrote "Given the pace of fertility decline in Australia in the 1990s, we should be seriously addressing the full range of policy measures".

The long term fertility decline which began in most European and ‘New World’ nations in the 1870s continued in the early part of the century and bottomed out in the Great Depression when Australian women reached replacement levels of fertility6 due to postponement of marriage and of childbearing in marriage. Low fertility continued throughout World War II, but the ‘post-war baby boom’ saw the TFR peak at 3.6 in 1961. This was a result initially of a catch-up factor among those who had delayed childbearing during the Depression and war, but it was sustained by near universal marriage, reduction in ages at marriage, low unemployment, availability of housing, reduced infecundity and immigration effects. This created a baby boom bulge in the Australian age pyramid which has had a huge influence on not only the demography of the nation but on the society and economy more widely, and it will continue to do so.

The year 1961 heralded a major change in Australian society with the introduction of the contraceptive pill, which for the first time gave Australian women almost total control over how many children they had and when they had them. Australian fertility also began to fall precipitously at this time, but this was mainly due to a major shift in the role of women within the society which saw larger numbers work outside of the home and pursue education than had been the case previously. Associated with this came increases in age at marriage, increased divorce and increased de facto partnering. There were significant developments influencing the role of women such as the removal of gender differences in salaries for the same work and developments toward equal opportunity.

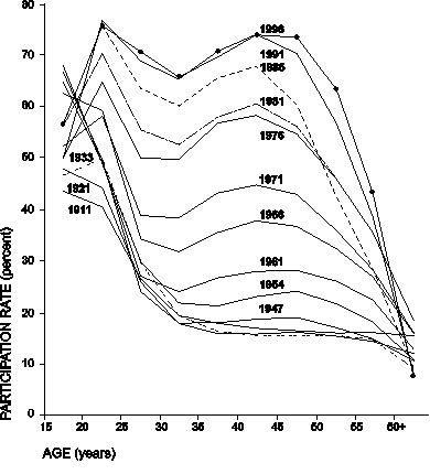
The dramatic shift in the role of women in post-war Australia is evident in graph C4.10, which also shows how female participation in the workforce outside of the home changed little between the 1911 and 1947 censuses.

C4.10 FEMALE LABOUR PARTICIPATION RATES, By Age, Australia - 1911 to 1996



Source: Australian Censuses 1911 to 1996.


Since then, however, each post-war census until 1991 saw an upward movement in participation in most age groups, especially in the childbearing age years. Only between 1991 and 1996 was there a small decline, and this undoubtedly was due to some discouraged worker effects. Similarly, graph C4.11 shows a massive increase in participation in the upper years of secondary school and post-school education among Australian young women over the post-war period.

Indeed their levels of participation passed those of males in the mid-1970s. The trends in graphs C4.10 and C4.11 are both a cause and consequence of low fertility in Australia. There are also other factors involved. The incidence of abortion since the liberalisation of abortion laws in the seventies is important, and in recent times there has been a consistent pattern of around one in five pregnancies resulting in an abortion. Clearly it is apparent that abortion is being used as a form of contraception as well as a way of protecting the rights of women. There is thus a need for improvement in birth control education, although a 1995 survey showed that 66.7% of Australian women aged between 18 and 49 were taking some form of contraceptive (ABS 1998, 30).

Surveys indicate that Australian women on average preferred to have two children, but fertility fell in the early 1970s and stabilised around 1.8 in the late 1970s and 1980s. In many other developed countries, however, fertility continues to fall, so that in Japan, Southern Europe, most of the Germanic countries, and most European countries the TFR has fallen below 1.4 (McDonald 2000, 6). The situation in Australia in the 1990s has attracted a great deal of attention since the TFR has fallen from 1.89 in 1992 to 1.74 in 1999, a decline of 7.9%. Some have suggested that this may mean that Australia has entered a fourth post-war fertility phase which will see a decline of fertility toward those currently experienced across most of Europe (e.g. McDonald and Kippen 1999). This is despite the fact that Australian young women continue to indicate that on average that they want two children. There are institutional elements in Australian society which are presenting barriers which prevent them achieving this. McDonald (2000) argues that women are not achieving their desired fertility because of the high cost of children, the risk of making long term commitments and the uneven nature of gender equity in contemporary Australia. He argues that the current system rewards stay-at-home mothers and mothers who work full-time, but penalises those who prefer a balanced compromise between work and home.

It is not only with respect to the numbers of children that Australian fertility has changed during the post-war period. Graph 4.12 shows the shift which has occurred in the age at which Australian women have their children.




There has been a significant increase in the age of childbearing as women spend a longer period in education and in the workforce before having children. With the fall in fertility there has been a major shift in the numbers of children in families, with an increasing concentration on the two-child family. There also have been some important shifts in the proportion of Australian women who remain childless by the time they reach post-childbearing ages. Merlo and Rowland (2000) have estimated that around 30% of women born around Federation were childless, but this fell to below 10% for the women that produced the baby boom, while it is anticipated that around 20% of women currently in the reproductive age will remain childless.




There has been a shift through the century with an increasing proportion of births occurring outside marriage, as graph C4.13 indicates.


International migration

In 1901, 22.8% of Australians were born overseas; the proportion was exactly the same in 1996. However, this apparent lack of change belies the fact that international migration has had a massive impact, not only on the growth of the national population over the last century, but it has transformed the composition of the population and impinged on almost all aspects of life. The trajectory of twentieth century immigration to Australia is depicted in graph C4.14; it is apparent that the end of World War II is an important watershed in the level of movement.

C4.14 ANNUAL MIGRATION, Australia - 1850 to 1999
Source: Price 1979; Hugo 1986; ABS Overseas Arrivals and Departures, Australia (3401.0); DIMA 1999a.


The last fifty years have seen an unprecedentedly high and sustained influx of immigrants to Australia. However, it is not only with respect to scale that there was a parametric change in immigration in mid-century. One of the first acts of the new Commonwealth in 1901 was to pass the infamous White Australia Policy (Price 1975) which ensured that Australia’s immigrants should be not only of European origin but predominantly Anglo-Celtic. In the immediate post-World War II period, however, the shortages of labour, but also an inability to attract sufficient immigrants from the British Isles and the existence of several million ‘Displaced Persons’ (DPs) from Eastern Europe, saw a change in policy. Australia accepted around 300,000 DPs and, despite concerns that such numbers of non-Anglo-Celtic background people would not be able to adjust, they were enormously successful. This then led to settlers being recruited from elsewhere in Western and Northern Europe, then in the 1950s from Southern Europe and in the 1960s from parts of Eastern Europe and the Middle East. Over these decades the White Australia Policy was gradually dismantled until by the mid-1970s it was totally abolished. Thereafter settlers were attracted to Australia from non-European origins, especially Asia.

Accordingly, as graph C4.15 shows, the post-war period has seen a series of phases in the composition of the stream of settlers coming to Australia.

C4.15 SETTLER ARRIVALS BY REGION OF LAST RESIDENCE, Australia - 1947 to 1999(a)

(a) The first marker shown related to the period July 1945 to June 1947. Thereafter the markers represent years July to June.
Source: DIMA Australian Immigration Consolidated Statistics, various issues; ABS Migration, Australia (3412.0), various issues.


The United Kingdom remained the largest single source country until recently. The bulk of the remainder of settlers until the late 1960s were from elsewhere in Europe, but with the dismantling of the White Australia Policy there was a diversification of origins. Hence the twentieth century saw a transformation of Australia from an overwhelmingly Anglo-Celtic, homogeneous population in which 95.2% had been born in Australia, the United Kingdom or Ireland, to one of the world’s most multicultural societies by 1996 when 16.2% had been born elsewhere. Moreover, 19% were Australia-born persons with at least one parent born overseas and 8% had at least one parent born in a country in which English is not the main language. Table C4.16 indicates that while the country remains Christian, the proportion of the population with no religious affiliation increased substantially, as did the proportion of the population with non-Christian religions.

C4.16 CULTURAL DIVERSITY, Australia - 1901 and 1996

1901

%
1996(a)

%

Birthplace(b)
-Australia
77.2
77.2
-New Zealand
0.7
1.7
-Europe
20.0
12.9
-UK and Ireland
18.0
6.6
-Other
2.0
6.4
-Asia
1.2
5.9
-Other
0.8
2.2
-Total
100.0
100.0
Religious affiliation(c)
-Christian
98.1
77.9
-Anglican
40.5
24.2
-Catholic
23.2
29.7
-Other
34.4
24.0
-Anglican
40.5
24.2
-Jewish
0.4
0.5
-Other affiliation
1.0
3.3
-No affiliation
0.5
18.3
-Total
100.0
100.0
’000
’000
Total population
3,773.8
17,752.8
Indigenous population
93.0
386.0

(a) Excludes overseas visitors.
(b) As defined and classified in 1901. Not known categories have been prorated across known categories.
(c) Excludes people whose religious affiliation was not known.

Source: ABS 2000b, 7.


The impact of immigration on post-war population growth in Australia was enormous. Of the growth of 11,501,442 people between 1947 and 1999, some 7 million can be attributed to the net gain of immigrants, their children and grandchildren (Kippen and McDonald, forthcoming). However, the impact of immigration has been much more than numerical. The element of heterogeneity migrants have injected into the Australian population has been demonstrated by Price (1997), who has developed a methodology to estimate the ethnic strength7 of various groups. His estimates shown in table C4.17 indicate that the Asian origin population has increased from 0.3% in 1947 to 6.4% in 1999 and is anticipated to increase to around 10% in 2030 if trends in the late 1990s are continued. Immigration has impinged significantly upon most aspects of Australian life and society.

C4.17 ETHNIC STRENGTH, Australia - 1947, 1987, 1999 and 2030(a)

1947

%
1987

%
1999

%
2030

%

Anglo-Celtics
89.8
74.6
69.9
66.3
West European
5.6
7.4
6.9
7.5
East European
0.4
3.9
4.4
4.4
South European
1.5
7.1
7.0
6.1
West Asian (Middle East)
1.5
2.1
2.5
2.6
Jewish
n.a.
n.a.
0.7
n.a.
South Asian
0.1
0.6
1.2
1.9
South East Asian
-
1.2
2.5
4.0
East Asian
0.2
1.4
2.7
4.5
African
-
0.1
0.1
0.4
Latin American
1.0
0.3
0.1
1.0
Pacific Islander
0.1
0.3
0.5
0.6
Aboriginal/Torres Strait Islander
0.8
1.0
1.5
0.9
Total
100.0
100.0
100.0
100.0

(a) Projection based on assumed 80,000 net migration per annum.

Source: Price 1989, 62; unpublished estimates of Charles Price.


For most of the twentieth century the dominant paradigm in Australian international migration has been one of permanent settlement. Motives of government immigration policies changed over the century from demographic and expanding the labour force imperatives for most of the periods of high immigration up to the 1970s to a more complex mix of the need to fill skill gaps, family reunion, humanitarian and trans-Tasman movement. Graphs C4.18a to C4.18d show that the relative size of each main category of migration has fluctuated, especially in the balance between those settling in Australia under the family migration program and those gaining eligibility in the skill category.




It could be argued that during the 1990s Australia moved into a different international migration paradigm under the influence of widespread globalisation forces. This has seen not only a larger scale, but also a more complex pattern, of international population movement influencing the country (Hugo 2000). The change is reflected in trends in the three types of in-movement recognised by the Department of Immigration and Multicultural Affairs8 between 1982-83 and 1998-99. Table C4.19 indicates that while the number of permanent arrivals has remained relatively stable, there has been a massive increase in both long term and short term movements.

C4.19 POPULATION MOVEMENT INTO AND OUT OF AUSTRALIA - 1982-83 to 1998-99

1982-83

no.
1998-99

no.
Growth 1982-99

%

ARRIVALS

Permanent
83,010
84,143
+1.4
Long-term
Residents
48,990
67,910
+38.6
Visitors
30,740
119,892
+290.0
Total
79,730
187,802
+135.5
Short-term
Residents
1,240,800
3,191,600
+157.2
Visitors
930,400
4,288,000
+360.9
Total
2,171,200
7,479,700
+244.5

DEPARTURES

Permanent
24,830
35,181
+41.7
Long-term
Residents
47,020
82,861
+76.2
Visitors
25,440
57,420
+125.7
Total
72,460
140,281
+93.6
Short-term
Residents
1,259,100
3,188,700
+153.3
Visitors
907,500
4,279,100
+371.5
Total
2,166,600
7,467,800
+244.7

Source: Bureau of Immigration and Population Research 1993; DIMA 1999a.


Over recent times there has been a proliferation of new visa types involving non-permanent movers, especially those involving temporary movement for work. Some of these cut across the short term and long term categories. Graphs C4.20a to C4.20d show the growth in numbers in the largest longer term movement categories.










The growth in students from overseas coming to study in Australia is evident, although the onset of the economic crisis in Asia in 1997 saw a small downturn. The Working Holiday Maker Program, which enables foreign nationals aged 18 to 30 from selected countries to work for up to 12 months, has involved a similar number of arrivals each year to the overseas student visa category. The most striking change, however, has been in the category of Temporary Business Entrants introduced in 1995, which has seen a substantial influx of short term workers in Australia. Kinnaird (1999) has estimated that in mid 1998 there were over 200,000 people in Australia temporarily who had work rights.

There has been a spectacular growth in short term movement, predominantly through the growth of tourism, into and out of Australia. Tourism has become one of the nation’s major areas of export earnings (15.1% in 1998). At any point in time Australia’s resident population is augmented by a substantial number of foreigners visiting the country (e.g. on 30 June 1999 there were 169,150, equivalent to 0.9% of the resident population).

Australia has long had an emphasis on attracting permanent settlers to the country and a strongly expressed opposition to attracting temporary and contract workers. During the labour shortage years of the 1950s and 1960s Australia’s migration solution to the problem contrasted sharply with that of European nations like Germany and France when it opted to concentrate on attracting permanent migrants to meet worker shortages rather than contract workers. However, in recent years attitudes have changed in Australia and it has been recognised that, in the context of globalised labour markets, it is essential to have mechanisms to allow non-permanent entry of workers in certain groups. Nevertheless, this entry has not been extended to unskilled and low-skilled areas and has been restricted to people with particular skills and entrepreneurs. Hence there has been an increase in people coming to Australia as short term or long term entrants and being able to work in the country.



The significance of people coming to work in Australia temporarily is especially evident in the expansion of long term entrants in Australia shown in graph C4.21. This has had an impact, at least in the short term, on overall net migration gains in Australia. It will be noted from graph C4.22 that an increasing proportion of Australia’s net migration gain in recent years has been from an excess of long term arrivals over long term departures, and a reducing proportion has been from an excess of settler arrivals over permanent departures.



There is a tendency for Australia to be categorised as a purely immigration country; in fact it is also a country of significant emigration. The ratio of permanent emigration to permanent immigration has varied between 14% and 52% since 1968, but the ratio has been comparatively high in recent years. Over the post-war period there has been a close relationship between immigration and emigration trends, the latter tending to follow the former with a small time lag. This is because, as graph C4.23 indicates, former settlers have been a major part of emigration over the years.



The return migration effect has been understated in the data since a significant number of the Australia-born are the dependent children of overseas-born returnees. In 1998-99 permanent departures from Australia (35,181) reached the highest level since 1973-74 and the proportion of Australia-born (49%) was the second highest ever recorded, indicating an increasing trend for the Australian population to emigrate. It is apparent from graph C4.23 that there has been an upward trend in the numbers of Australia-born permanent departures in the 1990s, which is indicative of a greater tendency for Australia-born adults deciding to move overseas on a permanent basis associated with the globalisation of labour markets.

In recent times undocumented migration to Australia has come under increased attention. This movement is of two types:
  • overstaying whereby non-citizens enter Australia legally but overstay the term of their visa;
  • clandestine entry of non-citizens who do not pass though an immigration control point or enter with forged documents.

Much is known in Australia about overstayers since there is a high quality Movement Data Base, and all persons arriving in and departing from the country are required to complete a card which facilitates matching and detection of overstayers.

Table C4.24 shows that through the 1990s around 50,000 overstayers have been identified using this matching.

C4.24 NUMBER OF OVERSTAYERS(a), Australia - 1990 to 1999

Year

1999 (December)
(b)53,131
1999 (June)
53,143
1998 (June)
50,949
1996 (December)
45,100
1995 (June)
51,307
1993 (June)
79,755
1992 (April)
81,400
1990 (April)
90,000

(a) The introduction of the bridging visa scheme on 1 September 1994 influences the figures since, prior to this time, persons who do not have a valid visa, but had come to the Department’s attention and were waiting for a visa determination or to leave the country, were regarded as ‘overstayers’. Subsequently these people were not considered overstayers.
(b) Excludes unauthorised arrivals by air and by boat.

Source: DIMA 2000a.


Turning to the people who enter Australia illegally, it is clear that Australia has in recent times become a more important target for such movements. There are no data on persons who have been successful in such attempts, but there are on the numbers that have been intercepted. These can be divided into those detected arriving by air and those coming by boat. Graph C4.25 shows that in 1998-99, 2,106 people were refused entry at Australia’s airports (36% more than the 1,550 in 1997-98).



In the 1998-99, 926 people arrived without authority on 42 boats, compared with 157 on thirteen boats (an increase of 490%) in 1997-98. However, in 1999-2000 there has been an unprecedented increase in boat arrivals, with 75 boats and 4,174 boat people being detected. This compares with a total of 2,059 Vietnamese boat people being intercepted as part of the refugee exodus from that country between 1975 and 1989. Table C4.26 shows the escalation of movement that occurred in 1999-2000.



C4.26 CLANDESTINE BOAT ARRIVALS DETECTED, Numbers of Boats and Persons Aboard - 1989–2000

Numbers on Board


Year
Boats

no.
Arrivals

no.
Minimum

no.
Maximum

no.

1989-90
3
224
26
119
1990-91
5
158
3
77
1991-92
3
78
10
56
1992-93
4
194
2
113
1993-94
6
194
4
58
1994-95
21
1,071
5
118
1995-96
14
589
4
86
1996-97
13
365
4
139
1997-98
13
157
3
30
1998-99
42
926
2
112
1999-2000
75
4,174
3
353
2000 to 25 July
2
66
30
36

Source: DIMA 2000b.


The recent movement has involved substantial numbers from the Middle East and Afghanistan, whereas among previously undocumented migrants those from Southern China and Cambodia dominated. It is apparent that Australia has been increasingly targeted by people smugglers who have been active in facilitating movement into North America and Europe.


Age and sex composition

The population of 1901 was not only less than one-fifth the size at present, but it was substantially younger and males outnumbered females, whereas the opposite is now the case. The age structure of the population is of major significance in determining the demand for goods and services. The evolving shape of Australia’s age-sex pyramid depicted in graph C4.27 testifies to these shifts.

C4.27 AUSTRALIA, Age and Sex Structure of the Population - 1901 to 1999

C4.27    AUSTRALIA, Age and Sex Structure of the Population - 1901 to 1999

Note: Shaded areas represent the baby boom.
Source: Australian Censuses 1901-96; ABS 2000a.


In 1901 more than a third of Australians (35.1%) were less than 15 years of age; in 1999 this had fallen to a fifth (20.7%). On the other hand, the proportion aged 65 years and over more than trebled from 4% to 12.2% and the median age rose from 22.6 years to 34.9 years. However, the story of the twentieth century was not one of continuous ageing. Indeed, graph C4.26 shows that the low fertility years of the 1930s and 1940s saw an ageing of the population while the post-war baby boom added a substantial base to the age pyramid, producing a ‘younging’ of the population in the early post-war years. Since then, however, declining fertility and increased longevity have produced a progressive ageing. The progress of the post-war baby boom cohort up the Australian age pyramid is shown in the graph. This has had a huge impact in greatly increasing demand in age-specific activities like education, formation of households, numbers entering the workforce etc. and is on the threshold of greatly increasing the numbers in the retirement ages.

A less obvious, but nevertheless important, change evident in graph C4.26 is in the balance between males and females in Australia. For the first two centuries of European settlement in Australia, males have outnumbered females due to the male selectivity of immigration to Australia over much of that period. Accordingly in 1901 there were 110 males in Australia for every 100 females. However, this gap progressively closed over the century due to:
  • an increase in the gap between male and female life expectancy up to the early 1970s; and
  • an increasing proportion of immigrants being made up of women so that in the last three decades male settlers have been outnumbered by females.

Accordingly in the early 1980s the number of females in Australia outnumbered the number of males and by 1999 there were 99 males for every 100 females in the country. It will be noticed in graph C4.26, however, that the predominance of females is much greater in the older ages than among the young as a result of higher female longevity.


Australians at work

The issue of who works outside the home and the nature of that work has undergone profound change in the last century. Graph C4.28 shows that, whereas in 1911 almost a third of Australian workers were employed in the agricultural sector, this had fallen to 4.3% in 1996.




The proportion in manufacturing industry peaked at almost a third in 1966, but has subsequently fallen to 12.5%. Hence, whereas less than a half of Australians worked in the tertiary sector at the turn of the century, this sector now accounts for four out of every five workers. Indeed it is now considered appropriate to subdivide the tertiary sector between tertiary services9 and information services.10 The former grew from 38.5% of employment in 1947 to 42.9% in 1996 and the latter from 15.9% to 38.4%.

It was shown earlier (graph C4.10) that participation in the workforce outside the home has increased substantially for women, especially since World War II. This is underlined in table C4.29 which compares age-sex participation rates in the workforce for males and females in 1911 and 1999.



C4.29 LABOUR FORCE PARTICIPATION RATES, Australia - 1911 and 1999

Males

Females

Age group (years)
April 1911

%
November 1999

%
April 1911

%
November 1999

%

15-19
90.0
55.5
43.5
59.0
20-24
97.7
85.0
40.2
75.7
25-34
98.0
91.4
22.9
67.8
35-44
97.3
90.8
16.7
72.4
45-54
95.8
86.8
15.5
70.4
55-59
92.7
73.3
14.6
47.4
60-64
85.8
46.6
13.1
19.9
65 and over
55.3
9.7
7.9
3.4
15 and over
93.0
71.9
25.0
54.4

Source: ABS 2000b.


For males it will be noticed that workforce participation is lower in all age groups, reflecting the effects of increased educational participation, especially among young adults, early retirement and the introduction of invalidity and other pensions. The latter effects are especially evident among the older ages. On the other hand, female participation in the workforce is higher in all ages except the post-pension 65+ age group. The increases are especially marked in the younger working ages. This reflects a substantial shift in the role of women in Australian society.

The world of work for Australians has changed in many other ways. The level of unemployment has fluctuated with economic shifts over the years, and graph C4.30 indicates that levels peaked in the Great Depression of the 1930s, although a secondary peak occurred in the early 1990s.



The increase in part-time work has become a feature of the last few decades. Unfortunately we do not have data for the entire century, but in 1966 some 9.8% of all Australians working did so on a part-time basis; by 1980 this proportion had almost doubled to 16.4%, and by 1999 it was 28.3%. Over the 1966-99 period the number of full-time jobs increased by 47.9% while the number of part-time jobs increased by 383.7%. This has been accompanied by other changes such as increased working outside the fixed hours of the former working week, less security of job tenure etc.


Education

Australian colonies were among the earliest to introduce compulsory schooling in the primary school ages in the second half of the nineteenth century. However, in 1901, 7.1% of the population aged over 5 years could not read.

C4.31 RATES OF PARTICIPATION IN EDUCATION - 1911 and 1996

Age group (years)
1911

%
1999

%

5 or younger
9.1
11.9
6-11
92.5
100.0
12-13
85.2
100.0
14-15
31.2
97.4
16-17
8.7
81.0
18-19
3.3
53.4
20 and over
0.2
12.4
All ages
17.4
28.0

Source: ABS 2000b, 8.


Moreover tableC4.31 indicates that all of the children in the mandatory age groups were still not attending school in 1911. The major change in educational participation, however, has come at older ages. Few Australians remained in education after age 14 for most of the first half of the twentieth century. However, more than half of the 18 and 19 year olds, and the bulk of those aged 14-17, were in education in 1996. In 1911 only 2,465 Australians were students in university, compared with 686,267 in March 1999.


Households and families

Over the twentieth century the basic unit of social organisation in Australia has remained the family, although the family itself has undergone significant shifts in structure and functioning over the period. The increasing diversity in the Australian family cannot be captured in the century’s census data since, while a ‘relationship’ question has been asked in each census, it was not used to assemble census data on the basis of families until relatively recently.

C4.32 GROWTH OF POPULATION AND HOUSEHOLDS, Australia - 1911 to 1996

Census year
Population

’000
Growth(a)

%
Households(b)

’000
Growth

%
Mean household size(c)

no.

1911(d)
4,455
. .
894
. .
4.53
1921(d)
5,436
2
1,107
2.16
4.40
1933(d)
6,630
2
1,510
2.62
4.00
1947(d)
7,579
1
1,874
1.55
3.75
1954(d)
8,987
2
2,343
3.25
3.55
1961(d)
10,508
2
2,782
2.48
3.55
1966
11,600
2
3,155
2.55
3.47
1971
12,756
2
3,671
3.00
3.31
1976
13,550
1
4,141
2.44
3.12
1981
14,576
1
4,668
2.43
2.98
1986
15,602
1
5,187
2.13
2.88
1991
16,850
2
5,750
2.08
2.80
1996
17,892
1
6,421
2.23
2.64

(a) Average annual percentage growth since previous census.
(b) Heads of private occupied dwellings.
(c) Population in private occupied dwellings divided by the number of private occupied dwellings.
(d) Full-blood Aboriginals were excluded from censuses in 1911, 1921, 1933, 1947, 1954 and 1961, and they were not included in official results until 1971. At that time the average number of persons in households with Aboriginal heads was 5.5, well above the Australian average.

Source: Censuses quoted in Boundy 1980, 7; Australian Censuses CBCS 1911, 1921, 1933, ABS 1981, 1986, 1991 and 1996.


One dimension of change is evident in table C4.32. This indicates that households have consistently declined in average size, so that by 1996 there was an average 2.64 persons compared with 4.53 in 1911. This has been partly a function of the decline in fertility considered earlier, but also due to the fact that Australians have formed new households at a faster rate than the population has grown. The reasons for this have varied over the century, but at different times the following have been important:
  • younger people have left home at an early age to set up new households, especially during times of relatively full employment;
  • older people have increasingly remained in independent living situations as the century has progressed, with smaller proportions going to live with their children or enter aged care institutions;
  • since the 1970s, increasing levels of divorce and separation have led to splitting of households; and
  • of course fluctuations in the economy, the cost of housing and lending interest rates have also had effects.

The crucial point, however, is that the number of households has increased at a faster rate than the population, and many goods and services are consumed by households rather than individuals.

Over the century, however, it is not so much that the size of the Australian family and household has changed; rather the structure and composition have been transformed. Unfortunately this can only be quantified for the last three decades, but a number of points can be made about the Australian family in 1901:
  • the male breadwinner model was dominant, with much less than one in ten married women working outside the home;
  • couple and single person households were less than a quarter of households, and were made up predominantly of ‘empty nest’ older people and young married couples;
  • extension of households was common, especially with elderly parents living with their children and grandchildren;
  • more than a half of families comprised couples with dependent children, more than three-quarters of whom had only one breadwinner; and
  • less than 5% of children were in single parent families, the bulk of them due to widowhood.

This situation has been transformed as we enter the twenty-first century, and the bulk of change has occurred in the last thirty years. One trend is the increase in non-family households, predominantly single person and group households. 11. Lone person households have increased from 15.7% of all households in 1976 to 24.2% in 1999, while group households have increased from 4.1% in 1986 to 5.4% in 1999. Within families there also has been an increase in diversity, as is evident in table C4.33. There has been a decline in the proportion of families which comprise couples and children from 59.5% in 1976 to 49.6% in 1996.


C4.33 DISTRIBUTION OF FAMILY TYPES - 1976 to 1996

Family type
1976(a)

%
1981(a)

%
1986(a)

%
1991(a)

%
1996

%

One parent family with dependent children
6.5
8.6
7.8
8.8
9.9
Couple only
28.0
28.7
30.3
31.4
34.1
Couple with dependent children
48.4
46.6
4.8
44.4
40.6
Couple with non-dependent children only
11.1
10.0
10.9
9.5
9.0
Other families
5.9
6.0
6.2
5.9
6.4
Total
100.0
100.0
100.0
100.0
100.0

(a) Excludes caravan park dwellers.

Source: ABS 2000c, 101.


Whereas in 1976, 44.1% of households had children present, this had fallen to 35.9% in 1996. It will be noted in table C4.33 that single parent families have increased their share of all families. In 1997 some 18% of children aged 0-14 lived in a single parent family. However, around one-third of Australian children can expect to spend some time in a single parent family situation during the period they are aged less than 15 years. The number of single parent families in Australia has increased rapidly, almost doubling over the 1976-96 period, while couple families with children increased by only 12.4%.

The increased diversity of family situations in which Australian children live has not been restricted to the growth of single parent families. A quarter of families with dependent children now include children who are not living with both of their birth parents. Some 4% of families with dependent children are ‘blended families’ including children who have different parents, and 4% of children live in couple families with a stepfather or stepmother. In 53.9% of couple families with children, both parents were working in 1996. It is disturbing to note, too, that in 14.2% of such cases both parents were not working. In more than half of single parent families (57.2%) the parent did not work, and in a further 19.2% the parent worked part-time.


Marriage and divorce

Patterns of partnering in Australia have undergone a profound change over the last century. The crude marriage rate (annual number of registered marriages per 1,000 population) has fluctuated with social and economic conditions as indicated in the chapter's graph 5.34. Marriage rates increased in both world wars and in the post-war period, and fell during times of economic downturn, especially in the 1930s. Since 1970 the marriage rate has declined substantially as a result of changing attitudes to marriage and increased incidence of other forms of partnering.

McDonald (1982, 186) identified 1900 as an important turning point in Australian marriage patterns. Before 1900 both age at marriage and proportions marrying were similar to those prevailing in England at the time. Thereafter, however, there was a movement toward marriage at an early age and a higher proportion marrying. The latter is evident in graph C4.34, which shows a decline in the proportion of men and women aged 45-49 who had never married.



Graph C4.34 also indicates trends in the proportion of the 20-24 age group who were unmarried at each census. The decrease in average age at marriage in the early years of the century is reflected in a decline in the proportions never married. The Depression years saw it increase, but the post-war period saw a sharp decrease in the age at marriage, so that by the 1971 census less than 40% of Australian women aged 20-24 remained unmarried. The 1970s saw a sharp reversal of this pattern with an increase in the average age of marriage. Throughout the early post-war years the median age of brides fell from 23 in 1947 to 21.4 in 1971, while that of males fell from 26 to 23.8 years. However, thereafter it progressively increased to reach 27.7 in 1998 for females and 29.8 for males. This is a function of increased levels of alternative forms of partnering in Australian society. Consensual partnering prior to marriage is now commonplace, increasing from less than 10% in the early 1970s to more than half in the early 1990s.

De facto relationships have existed throughout the last century in Australia, but have remained undetected for much of the period partly because at the census people’s conjugal status is self-reported. However, there has been a major social change over the last three decades which has seen an increase in the level and acceptance of de facto partnering. The ABS first collected data on de facto partnering in 1982 when 5% of all couples were in this category; this increased to 8.5% in 1992 and 9.1% in 1997. The proportions in such relationships are highest in the 25-29 age group and they decline with age. With the increased level of de facto partnering as well as increased incidence of single parent families, an increasing proportion of Australian births are occurring outside of marriage. In 1951-55, 4% of births were in this category. This increased to 11% in the late 1970s, 25% in 1993 and 29% in 1999. The increased diversity of partnering is reflected in an increasing incidence of same sex coupling, and this was first recognised at the 1996 census when 19,584 couples were identified in this category.

Contemporaneous with the recent changes in marriage in Australia has been a major change in divorce. For the first three-quarters of the twentieth century divorce remained at low levels. A major turning point was the passage of the Family Law Act of 1975, which took divorce out of the area of criminal law and allowed for divorce to occur if there were irretrievable breakdown of marriage. The chapter's graph 5.40 shows that the rates of divorce increased in the post-war period slightly, but spiked with the passage of the Family Law Act as the backlog of divorce was cleared, before stabilising at a level three times higher than previously. A study of marriages occurring between 1977 and 1994 showed that 43% of all marriages are likely to end in divorce.

The significance of divorce is underlined in graphs C4.35a and C4.35b, which show the proportions of Australian women and men at various censuses between 1901 and 1996 who were divorced or separated.




The graphs show the steep increase in the proportions of each age group who are divorced with each census.

The fact that half of Australian marriages end in divorce raises the question of what happens to the people involved. Currently around a third of Australian registered marriages involve at least one previously divorced partner. Others repartner in de facto relationships rather than formally remarry; in 1996, 25.8% of people in such relationships were divorced, 8% separated and 1.3% widowed (ABS 1998, 39). However, increased levels of divorce have contributed to increasing numbers of Australians living without partners. In 1996, 4.4 million or 37% of adult Australians were living without partners, compared with 33% in 1986 (ABS 2000b, 43).


The Indigenous population

Australia’s indigenous population at the time of initial European settlement has been estimated to be a minimum of 315,000 (Smith 1980) while some have suggested it could have been over 1 million. However, in 1901 their numbers had declined to an estimated 93,333 (NPI 1975, 458) as the dispossession and devastation associated with European settlement was reflected in increased mortality and decreased fertility. The numbers of Aborigines and Torres Strait Islanders continued to fall to 71,836 in 1921 and only thereafter began to increase slowly; it was only in the 1990s that the numbers passed the estimated population at the time of initial European settlement.

Table C4.36 shows the trajectory of growth of the Aboriginal and Torres Strait Islander population in recent years.


C4.36 ABORIGINAL AND TORRES STRAIT ISLANDER POPULATIONS, Australia - 1971 to 1996

Census year
Aborigines

no.
Torres Strait
Islanders

no.
Total Indigenous
population

no.
Total
population

no.
Indigenous
population as
proportion of
total population

%
Average
annual
growth

%

1971
106,290
9,663
115,953
12,755,638
0.9
. .
1976
144,382
16,533
160,915
13,548,448
1.2
+6.8
1981
144,665
15,232
159,897
14,576,330
1.1
–0.1
1986
206,104
21,541
227,645
15,602,156
1.5
+7.3
1991
238,657
26,721
265,378
16,849,496
1.6
+3.1
1996
314,120
28,744
(a)352,970
17,892,423
2.0
+5.9

Source: Australian censuses of 1971, 1976, 1981, 1986, 1991 and 1996; CBCS 1973.


In 1996 the total counted at the census was 352,970. This represented a major increase over the 265,378 recorded at the 1991 census, and the 227,645 in 1986. There are substantial difficulties in the counting of the Indigenous population. This is partly associated with the marginal circumstances in which many live, leading to them being missed in censuses. This problem has been overcome to a degree in recent censuses through the ABS employing special procedures which undoubtedly have led to successively greater proportions of the population being counted. A greater problem relates to variations between censuses in the extent to which people do or do not identify themselves as Aboriginal in the census. Increased readiness to identify oneself as Aboriginal undoubtedly is a major factor in the rapid increase in numbers between 1981 and 1996 in the table.

The indigenous population differs from that of the remainder of the Australian population. Its age structure, depicted in the chapter's graph 5.8, is significantly younger than that of the total population, with 40% aged less than 15 years in 1996 compared with 22% of the total population. This reflects higher fertility and mortality levels among the group.

The disadvantaged nature of the Indigenous population is reflected in table C4.37 which shows that the Indigenous population's mortality and fertility rates are substantially higher than for the total population.

C4.37 CHARACTERISTICS, Indigenous and Non-Indigenous Populations - 1996

Indicator
Units
Indigenous
Non-Indigenous

Life expectancy
Males
Years
56.9
75.2
Females
Years
61.7
81.1
Infant mortality
Rate per 1,000
15.2
5.0
Total fertility rate
Rate per 1,000
2.2
1.8
Aged under 30
%
68.1
43.7
Living in major urban areas
%
30.3
62.7
16 year old students
%
57.0
83.5
Bachelor degrees
%
2.0
10.4
Unemployment rate
%
22.8
9.3
Employed as labourers
%
24.3
3.7
Household income per capita
$
158
310
One parent families
%
29.6
14.5
Renting housing
%
63.8
27.1

Source: ABS 2000b.


Indigenous people are only half as likely to live in a city with more than 100,000 people. Their participation in education is considerably lower and they are more than twice as likely to be unemployed. Their income is only half that of the remainder of the population, and double the proportion are single parent families and live in rented accommodation.

The distribution of the Indigenous population also differs substantially from that of the total population. Table C4.38 shows that there is an over-representation across northern and western Australia compared with the total population and an under-representation in the southeast.

C4.38 DISTRIBUTION, Indigenous and Non-Indigenous Populations - 1996

Indigenous

Non-Indigenous

State/Territory
'000
%
'000
%

New South Wales
109,925.0
28.5
6,204.7
33.9
Victoria
22,598.0
5.9
4,560.2
24.9
Queensland
104,817.0
27.2
3,338.7
18.2
South Australia
22,051.0
5.7
1,474.3
8.1
Western Australia
56,205.0
14.6
1,765.3
9.6
Tasmania
15,205.0
4.0
474.4
2.6
Northern Territory
51,876.0
13.4
181.8
1.0
Australian Capital Territory
3,058.0
0.8
308.3
1.7
Total
386,049.0
100.0
18,310.3
100.0

Source: ABS 2000c.


Indeed, the distribution of the indigenous population depicted in the chapter's map 5.9 represents a relatively even distribution across the continent while that of the total population is strongly concentrated.


Population distribution

While Australia’s population increased more than five fold over the last century, the broad outline of the distribution of the population did not change dramatically. Writing in the middle of the century, Griffith Taylor (1947, 444) argued that most Australians would continue to live in areas closely settled by 1860. While there were substantial changes in the details of population distribution in Australia over the century, map C4.39 shows that the geographic centre of gravity 12 of the Australian population has changed little.

Source: Australian Censuses of 1911, 1947, 1981, 1986, 1991 and 1996.


Australia’s population at the beginning of the century was highly concentrated. Hence a comparison of maps C4.40a and C4.40b, which show the pattern of population density across Australia for 1901 and 1996, indicates that the most substantial increases in density have occurred in the closely settled areas along the east coast, and the southeast and southwestern corners of the continent.


Source: Australian Census of 1901 based on Statistical Local Areas, 1996 edition.


Source: Australian Census of 1996 based on Statistical Local Areas, 1996 edition.


Indeed, in 1996 some 68.8% of Australians lived within 20 km by road of the coast and 83.0% within 50 km.

The distribution of the national population between the various States and Territories has undergone some change over the last century, although the only change in their relative positions with respect to population size was Western Australia overtaking South Australia as the fourth most populous State in the early 1980s. Table C4.41 indicates that in the first half of the century New South Wales increased its share of the national population while that of Victoria declined.

C4.41 POPULATION DISTRIBUTION, States and Territories - 1901 to 1999

1901
1921
1947
1961
1976
1986
1999

PER CENT

New South Wales
35.9
38.6
39.4
37.3
35.3
34.5
33.8
Victoria
31.8
28.2
27.1
27.9
26.9
26.0
24.8
Queensland
13.2
13.9
14.6
14.4
15.2
16.4
16.6
South Australia
9.5
9.1
8.5
9.2
9.1
8.6
7.8
Western Australia
4.9
6.1
6.7
7.0
8.4
9.1
9.8
Tasmania
4.6
3.9
3.4
3.3
2.9
2.8
2.5
Northern Territory
0.1
0.1
0.1
0.2
0.7
1.0
1.0
Australian Capital Territory
0.0
0.0
0.2
0.6
1.5
1.6
1.6
Total
100.0
100.0
100.0
100.0
100.0
100.0
100.0

MILLION

Total population
3.8
5.4
7.6
10.5
13.9
16.0
19.1

Source: Rowland 1982, 25; ABS 1988; ABS 2000a.


In the post-war period the proportion in New South Wales has declined from around 40% to a third, while Victoria also, after increasing its share in the first two post-war decades, did not grow as fast as the nation as a whole. The major trend, however, has been a long term, but still limited, shift in population distribution toward the north and west. Hence over the century:
  • the proportion of the national population living in New South Wales, Victoria, Tasmania and South Australia has declined (from 81.8% to 69.1%); and
  • the proportion in Queensland, Western Australia, the Australian Capital Territory and the Northern Territory has increased from 18.9% to 29.9%.

A major shift in population distribution over the decade relates to the balance between numbers living in urban and rural areas. Quantifying this is made difficult by shifts in the definition of what constitutes an urban area in Australia as well as the fact that over recent decades there has been a blurring of the distinction between urban and rural areas in Australia (Hugo et al. 1997).


C4.42 URBANISATION, Australia - 1906 and 1996

1906

1996

Size of population centre (number of people)
Centres

no.
% of total population

%
Centres

no.
% of total population

%

Less than 3,000(a)
. .
48.5
. .
18.2
3,000–9,999
54
6.3
191
5.8
10,000–99,999
19
11.7
98
13.3
100,000–539,000
4
33.6
8
9.6
950,000 or more
0
0.0
5
53.1
All population centres
(b)77
100.0
(b)302
100.0
’000
’000
Total population
4,091.5
17,892.4

(a) Includes people living in rural areas between population centres.
(b) Comprising at least 3,000 people.

Source: ABS 2000b, 7.


Table C4.42 shows that in the early years of the century almost half of the population lived in communities of less than 3,000 people. Over the next century the number of people living in such settlements increased by 64% while those living in larger centres increased almost 10 times as fast (595%). The century was indeed one of increasing urbanisation. In 1901 Australia’s largest centres of Sydney and Melbourne both had populations of around half a million persons, compared with 4,041,381 and 3,417,218 in 1999. The proportion of Australians living in major urban areas (those with 100,000 persons or more) increased from 33.6% to 62.7% over the 1906-96 period.

Graph C4.43 shows the changes which occurred in the proportions living in metropolitan and non-metropolitan areas over the twentieth century.



The long term tendency toward increasing concentration of the Australian population is in evidence. There is a consistent pattern of urban areas increasing their share of the total population up to 1976. At the 1933 Census 37.4% of Australians lived in rural areas, but by 1961 this proportion had halved, and in 1976 only 13.9% of the population was classified as rural. The pattern was, however, not just one of concentration in urban centres but of a growing dominance of the largest metropolitan centres. Indeed, the non-metropolitan share of the total national population progressively declined in the half century following 1921 from 57% to 36%, so that by 1971 nearly two-thirds of all Australians lived in the large metropolitan capital cities. Between 1971 and 1976 the proportion living in rural areas continued to decline (albeit marginally), but there was also a decline in the metropolitan share of the total national population. Hence in the early 1970s the only sector to gain ground was that of the non-metropolitan urban centres. It is apparent from graph C4.43 that over the subsequent period there has been a relative stability in the proportions of Australians living in major urban areas, and indeed there has been a consistent decline in the proportion of Australians living in the largest five capitals (Sydney, Melbourne, Brisbane, Perth and Adelaide) from 57.9% in 1971 to 53.1% in 1996.

This stabilisation, however, masks considerable variation in population growth in non-metropolitan areas. While the population living in country towns increased from 2,887,299 to 4,161,498 over the 1966-96 period (44.1%), that living in rural areas increased by only 25.9% from 1,983,932 to 2,498,323. More importantly there were substantial variations between non-metropolitan areas. The patterns of population change over the 1991-96 intercensal period (map C4.44) show wide variations between regional areas with respect to population growth and decline and distinct spatial patterns of growth and decline.

C4.44 POPULATION CHANGE, Australia - 1991-96
Source: Australian Cenuses of 1991 and 1996.


Overall, non-metropolitan populations grew slightly faster (6%) than was the case in metropolitan areas (5.6%). It will be noted that areas of population growth in regional Australia are strongly concentrated in certain types of areas, namely:
  • the areas surrounding metropolitan areas;
  • along the well watered east coast and southwest coast;
  • some resort and retirement areas;
  • some regional centres;
  • along the Hume Highway linking Sydney and Melbourne; and
  • some relatively remote areas, especially those with growing mining activities, tourism and significant indigenous populations.

On the other hand, there is also a concentration of the areas experiencing population decline:
  • above all the dry farming areas of the wheat-sheep belt such as in western Victoria extending through central-western New South Wales and Queensland, the southeast, Eyre Peninsula and the mid north of South Australia, and the wheat-sheep belt of Western Australia;
  • many pastoral areas in central Australia;
  • certain mining areas such as Broken Hill; and
  • declining industrial cities such as Whyalla in South Australia.

These patterns point to a pattern of increasing dichotomisation between coastal growth areas and inland areas of decline or stability in non-metropolitan Australia.

It is interesting, too, to examine the patterns of population change in non-metropolitan Australia according to the degree of accessibility/remoteness of particular areas. Table C4.45 shows the rates of population change in the five accessibility sectors of non-metropolitan Australia. These are shown, with the categories 'Remote' and 'Very remote' combined, in map 8.20 of the article Housing in remote Aboriginal and Torres Strait Islander communities in the Housing chapter.


C4.45 AUSTRALIAN NON-METROPOLITAN AREAS, Population Growth by Level of Accessibility

Level of accessibility
Population growth 1991-96

%
Population density

Persons sq. km.

Highly accessible
6.2
77.2
Accessible
5.1
4.1
Moderately accessible
3.6
1.0
Remote
1.2
0.2
Very remote
2.9
0.0
Total Australia
5.8
2.3

Source: Glover et al. 1999.


This indicates that only in the highly accessible areas close to major cities are non-metropolitan population growth levels above the national average. There is a decline in the rates of growth with increasing distance away from the large cities, except that the very remote areas had a slightly faster growth rate than the ‘remote’ areas. It will also be noted that there is an association between rates of population growth and population density.

Turning to an examination of population growth trends in country towns, map C4.46 shows the location of urban areas experiencing growth and decline. Again a clear spatial pattern is in evidence.

C4.46 POPULATION GROWTH IN COUNTRY TOWNS, Australia - 1991-96
Source: Australian Cenuses of 1991 and 1996.


Centres with relatively rapid growth are clustered around the nation’s largest cities and strung along the eastern and southwestern coasts. On the other hand, the wheat-sheep belt area tends to have urban places which are experiencing decline. In the more remote areas there is a greater variation, both with centres experiencing growth and with those recording decline.

Population distribution patterns have undergone substantial changes within Australia’s major cities over the last century. In the period prior to World War II the lateral growth of the major cities was restricted by the reach of public transport. However, increasing levels of car ownership in post-war Australia fostered the extension of low density suburbs. For the early post-war decades the bulk of population growth in major cities occurred in the outer suburbs. However, increasingly population growth is occurring in older built-up areas of the major cities.



Endnotes

1 ABS Media Release, 18 August 1999.
2 Male expectation of life at birth in 1901 was 55.2 years; that in 1998 was 75.86 years.
3 Life expectancy is defined as "the average number of years a person of a given age can expect to live if the present mortality rates at all ages for a given period is maintained over their lifetime" (Hugo 1986, 19).
4 The Infant Mortality Rate is calculated as the number of babies out of every 1,000 born in a given year who die before they reach their first birthday.
5 The Total Fertility Rate can be defined as "the number of children that will be born alive to a woman during her lifetime if she were to pass through all her childbearing years conforming to the age-specific rates of a given year" (Hugo 1986, 43).
6 i.e. TFR = 2.1.
7 Ethnic strength is derived by adding fractions of ancestry for generations.
8 The definitions are as follows:
  • Permanent Residents - persons migrating to Australia and residents departing permanently.
  • Long Term Movement - visitors arriving and residents departing temporarily with the intention to stay in Australia or abroad for 12 months or more, and the departure of visitors and the return of residents who had stayed in Australia or abroad for 12 months or more.
  • Short Term Movement - travellers whose intended or actual stay in Australia or abroad is less than twelve months.
9 Defined as ASIC divisions D, E, F, G and L, i.e. Electricity, Gas and Water Supply, Construction, Wholesale Trade, Retail Trade, and Property and Business Services.
10 Defined as ASIC divisions H, I, J and K, i.e. Accommodation, Cafes and Restaurants, Transport and Storage, Communication Services, and Finance and Insurance.
11 Group households are defined as households consisting of two or more unrelated people where all persons are aged 15 years or over. There are no reported couple relationships, parent-child relationships or other blood relationships in these households.
12 Plane and Rogerson (1994, 31) define this as follows: "The population centroid, also called the mean centre, the mean point, the centre of gravity, or sometimes simply the centre of population. Conceptually, if the mythological Atlas were to hold up the entire area for which a centre is being computed - let’s say the United States - and assuming that people were the only objects contributing to the weight (and also assuming everyone weighs the same!), the point where he would have to stand to balance the country would be the centroid".



References

Australian Bureau of Statistics
Births, Australia (3301.0), various issues, ABS, Canberra.
Deaths, Australia (3302.0), various issues, ABS, Canberra.
Causes of Death, Australia (3303.0), various issues, ABS, Canberra.
Migration, Australia (3412.0), various issues, ABS, Canberra.
Overseas Arrivals and Departures, Australia (3402.0), various issues, ABS, Canberra.
Australian Demographic Statistics (3101.0), various issues, Canberra.
Births, Australia 1978 (3301.0), ABS, Canberra.
Australian Demographic Trends (3102.0), ABS, Canberra.
Year Book Australia 1988 (1301.0), ABS, Canberra.
Australian Social Trends 1998 (4102.0), ABS, Canberra.
Disability, Ageing and Carers: Summary of Findings, 1998 (4430.0), ABS, Canberra.
Births, Australia 1999 (3301.0), ABS, Canberra.
Australian Demographic Statistics, December Quarter 1999 (3101.0), ABS, Canberra.
Australian Social Trends 2000 (4102.0), ABS, Canberra.
2000c - Year Book Australia 2000 (1301.0), ABS, Canberra.
2000d, - Labour Force, Australia, June 2000 (6203.0), ABS, Canberra.

Boundy, J. 1980, "Housing and Housing Development". Draft chapter prepared for ESCAP (1982), mimeo.

Bowie, I.J.S. 1987, "The Urban and Non-Urban Population of Australia, 1800-1981". A Mitchell Occasional Paper in Geography, Mitchell College of Advanced Education, Bathurst, October.

Bureau of Immigration and Population Research (BIMPR) 1993, Immigration Update, June Quarter 1992, AGPS, Canberra.

Coghlan, T.A. 1903, The Decline in the Birth-Rate of New South Wales and Other Phenomena of Child-Birth, An Essay in Statistics, NSW Government Printer, Sydney.


Commonwealth Bureau of Census and Statistics (CBCS)
  • Demography, various issues, Government Printer, Melbourne.
  • Official Year Book of the Commonwealth of Australia, various issues, Government Printer, Melbourne.
  • 1908, Official Year Book of the Commonwealth of Australia, 1901-1907, Government Printer, Melbourne.
  • 1912, Official Year Book of the Commonwealth of Australia, 1901-1911, Government Printer, Melbourne.
  • 1960, Official Year Book of the Commonwealth of Australia, No. 46 - 1960, Government Printer, Melbourne.
  • 1973, The Aboriginal Population, Characteristics of the Aboriginal and Torres Strait Islander Population, Bulletin 9, Census of Population and Housing, 30 June 1971, Reference no. 2.91, CBCS, Canberra.

Department of Immigration and Multicultural Affairs (DIMA)
  • Australian Immigration Consolidated Statistics, various issues, AGPS, Canberra.
  • Immigration Update, various issues, AGPS, Canberra.
  • Population Flows: Immigration Aspects, various issues, AGPS, Canberra.
  • Immigration Update June Quarter 1999, AGPS, Canberra.
  • Population Flows: Immigration Aspects, December 1999, AGPS, Canberra.
  • 2000a, Locating Overstayers in Australia, DIMA Fact Sheet 80, DIMA, Canberra.
  • 2000b, Unauthorised Arrivals by Sea and Air, DIMA Fact Sheet 81, DIMA, Canberra.

Economic and Social Commission for Asia and the Pacific (ESCAP) 1999, 1999 ESCAP Population Data Sheet, ESCAP, Bangkok.

Glover, J., Harris, K. and Tennant, S. 1999, A Social Health Atlas of Australia, Second Edition, Public Health Information Development Unit, University of Adelaide, South Australia, Open Book Publishers, Canberra.

Gray, A. 1997, "Growth of the Aboriginal and Torres Strait Islander population, 1991-2001 and beyond", CAEPR Discussion Paper No. 150, Centre for Aboriginal Economic Policy Research, The Australian National University, Canberra.

Haberkorn, G., Hugo, G., Fisher, M. and Aylward, R. 1999, Country Matters: Social Atlas of Rural and Regional Australia, Bureau of Rural Sciences, Canberra.

Hicks, N. 1978, The Sin and Scandal: Australia’s Population Debate, 1891-1911, ANU, Canberra.

Hugo, G.J. 1986, Australia’s Changing Population: Trends and Implications, Oxford University Press, Melbourne.

Hugo, G.J. 2000, "International Migration and Labour Markets in Asia: Australia Country Paper". Paper prepared for the Workshop on International Migration and Labour Markets in Asia organised by the Japan Institute of Labour (JIL) supported by the Government of Japan, Organisation for Economic Cooperation and Development (OECD) and the International Labour Office (ILO), Japan Institute of Labour, Tokyo, 26-28 January.

Hugo, G.J., Griffith, D., Rees P., Smailes, P., Badcock, P. and Stimson, R. 1997, "Rethinking the ASGC: Some Conceptual and Practical Issues", Final Report for Review of the ASGC Project, National Key Centre for Teaching and Research in Social Applications of Geographical Information Systems, University of Adelaide.

Kinnaird, B. 1999, "Working holiday makers: more than tourists - implications of the report of the Joint Standing Committee on Migration", People and Place, 7(1): 39-52.

Kippen, R. and McDonald, P., forthcoming, "Australia’s population in 2000: the way we are and the ways we might have been", People and Place.

McDevitt, T.M. 1998, World Population Profile: 1998, US Government Printing Office, Washington, DC.

McDonald, P.F. 1982, "Marriage and divorce in Australia", pp. 183-198 in ESCAP, Population of Australia, Vol. 1, Country Monograph Series No. 9, United Nations, New York.

McDonald, P. 2000, "Low fertility in Australia: evidence, causes and policy responses", People and Place, 8(2): 6-21.

McDonald, P. and Kippen, R. 1999, "Population Futures for Australia: The Policy Alternatives". Text-for-delivery prepared for Vital Issues Seminar, Canberra, 31 March.

Merlo, R. and Rowland, D. 2000, "The prevalence of childlessness in Australia", People and Place, 8(2): 21-32.

National Population Inquiry (NPI) 1975, Population and Australia: A Demographic Analysis and Projection, two volumes, AGPS, Canberra.

Paice, J. 1990, "The 1990s - Is the Australian Census of Population and Housing Relevant?" Paper presented at the Australian Population Association Conference, Melbourne, November.

Plane, D.A. and Rogerson, P.A. 1994, The Geographical Analysis of Population: With Applications to Planning and Business, John Wiley, New York.

Population Reference Bureau 1999, 1999 World Population Data Sheet, PRB, Washington.

Population Reference Bureau 2000, 2000 World Population Data Sheet, PRB, Washington.

Price, C.A. 1975, Australian Immigration, a Review of the Demographic Effects of Post-War Immigration on the Australian Population, Research Report No. 2, National Population Inquiry, Australian Government Publishing Service, Canberra.

Price, C.A. 1979, Australian Immigration: A Bibliography and Digest, No. 4, Department of Demography, Australian National University, Canberra.

Price, C.A. 1989, Ethnic Groups in Australia, Australian Immigration Research Centre, Canberra.

Price, C.A. 1997, "The Asian element in Australia: 1996", People and Place, 5(4): 35-36.

Price, C.A. 2000, Australians All: Who on Earth are We?, Canberra.

Rowland, D.T. 1982, "Population growth and distribution", in Population of Australia, ESCAP, Volume 1, Country Monograph Series No. 9, United Nations, New York, 10-33.

Smith, L.R. 1980, The Aboriginal Population in Australia, Australian National University Press, Canberra.

Taylor, T.G. 1947, Australia: A Study of Warm Environments and Their Effect on British Settlement, Methuen, London.