| Calibration | Calibration refers to the process of correlating a given set of values to a standard. For household estimates, calibration refers to the method of calculating new household weights from either the Census or Labour Force Survey dataset so that the new weights satisfy a set of two or more population marginal constraints and at the same time minimise the difference between the new set of weights and an already existing set of weights.
Reference: Demographic Estimates and Projections: Concepts, Sources and Methods. cat. no. 3228.0.
|
| Capital account | The capital account records the values of the non-financial assets that are acquired, or disposed of, by resident institutional units by engaging in transactions, and shows the change in net worth due to saving and capital transfers or internal bookkeeping transactions linked to production (changes in inventories and consumption of fixed capital).
Reference: Australian National Accounts: Financial Accounts. cat. no. 5232.0.
|
| Capital city | Refers to the Capital City Statistical Division of states and territories as defined in Australian Standard Geographical Classification (ASGC). cat. no. 1216.0.
Reference: Births, Australia. cat. no. 3301.0.
|
| Capital productivity | Capital productivity estimates are indexes of real GDP per unit of capital services used in production. They have been derived by dividing the index of the chain volume measure of market sector GDP by an index of capital services. The capital productivity indexes reflect not only the contribution of capital to changes in production, but also the contribution by labour and other factors affecting production.
Reference: Australian National Accounts: Concepts, Sources and Methods. cat. no. 5216.0.
|
| Capital taxes | Taxes imposed at irregular and very infrequent intervals on the value of assets or net worth owned by institutional units, or on the values of assets transferred between institutional units.
Reference: Australian System of Government Finance Statistics: Concepts, Sources and Methods. cat. no. 5514.0.55.001.
|
| Capital transfers | Capital transfers are transactions in which the ownership of an asset (other than cash and inventories) is transferred from one institutional unit to another, in which cash is transferred to enable the recipient to acquire another asset or in which the funds realised by the disposal of another asset are transferred. Examples include general government capital transfers to private schools for the construction of science blocks or libraries, and transfers to charitable organisations for the construction of homes for the aged.
Reference: Australian National Accounts: Concepts, Sources and Methods. cat. no. 5216.0.
|
| Capitalised interest | Interest payable that is debited to an asset account and not expensed.
Reference: Australian System of Government Finance Statistics: Concepts, Sources and Methods. cat. no. 5514.0.55.001.
|
| Carnet | An international Customs document for the temporary duty-free admission of goods under certain international conventions.
Reference: International Merchandise Trade, Australia, Concepts, Sources and Methods. cat. no. 5489.0.
|
| Cash | Notes and coin held, deposits at call with a bank or other financial institution, and highly liquid investments which are readily convertible to cash on hand at the investor's option.
Reference: Australian System of Government Finance Statistics: Concepts, Sources and Methods. cat. no. 5514.0.55.001.
|
| Cash basis of recording | Basis of recording in which transactions are recorded only when cash receipts or payments occur and in which only cash flows are recorded.
Reference: Australian System of Government Finance Statistics: Concepts, Sources and Methods. cat. no. 5514.0.55.001.
|
| Cash flow statement | The GFS financial statement that records cash flows from operating, investing and financing activities.
Reference: Australian System of Government Finance Statistics: Concepts, Sources and Methods. cat. no. 5514.0.55.001.
|
| Category jumping | Category jumping was the name given to the adjustment made to the components of net overseas migration, when these were applied, up until the year ending 30 June 1996. Category jumping was set to zero for the years ending 30 June 1997 to 2001. With the interim method of adjusting these components, this adjustment is now known as migration adjustment.
Category jumping was the term used to describe changes between intended and actual duration of stay of travellers to/from Australia, such that their classification as short-term or as long-term/permanent movers is different at arrival/departure from that after 12 months. For more information see Chapter 6 "Special article: Adjustments to overseas migration estimates" from Migration, Australia 2002-03 (cat. no. 3412.0).
Reference: Migration, Australia. cat. no. 3412.0.
|
| Category of movement | Overseas arrivals and departures are classified according to length of stay (in Australia or overseas), recorded in months and days by travellers on passenger cards. There are three main categories of movement:
- permanent movements;
- long-term movements (one year or more);
- short-term movements (less than one year).
A significant number of travellers (i.e. overseas visitors to Australia on arrival and Australian residents going abroad) state exactly 12 months or one year as their intended period of stay. Many of them stay for less than that period and on their departure from, or return to, Australia are therefore classified as short-term. To reflect historical movement patterns, records with a reported duration of exactly one year are allocated to short-term and long-term. For visitors, 75% of such records are allocated to short-term and 25% to long-term. The ratio is 67:33 for residents departing Australia.
Reference: Overseas Arrivals and Departures. cat. no. 3401.0.
|
| Census count | The Census of Population and Housing enumerates persons on the basis of where they were located on census night. Characteristics of households are only available according to place of enumeration. The Census also compiles information on people according to their place of usual residence. This information is coded to Statistical Local Areas. This means that census counts of people can be produced according to their location on census night as well as their place of usual residence.
Reference: Demographic Estimates and Projections: Concepts, Sources and Methods. cat. no. 3228.0.
|
| Central bank | The central bank is the public financial corporation which is a monetary authority; that is, which issues banknotes and coins and holds the international reserves of the country. In Australia, this is the Reserve Bank of Australia.
Reference: Australian System of Government Finance Statistics: Concepts, Sources and Methods. cat. no. 5514.0.55.001.
|
| Central borrowing authority | A public financial corporation established by a state or territory government primarily to provide finance for public corporations and quasi-corporations and other units owned or controlled by the government, and to arrange investment of their surplus funds.
Reference: Australian National Accounts: Financial Accounts. cat. no. 5232.0.
|
| Chaining | See Chain volume measures.
|
| Chain price indexes | Annually-reweighted chain Laspeyres price indexes referenced to the same year as the chain volume measures. They can be thought of as a series of indexes measuring price change from a base year to quarters in the following year using current price values in the base year as weights, linked together to form a continuous time series. In other words, chain price indexes are constructed in a similar fashion to the chain volume indexes. Quarterly chain price indexes are benchmarked to annual chain price indexes in the same way as their chain volume counterparts. Unlike implicit price deflators, chain price indexes measure only the impact of price change.
Reference: Australian National Accounts: National Income, Expenditure and Product. cat. no. 5206.0.
|
| Chain volume measures | Annually-reweighted chain Laspeyres volume indexes referenced to the current price values in a chosen reference year (i.e. the year when the quarterly chain volume measures sum to the current price annual values). Chain Laspeyres volume measures are compiled by linking together (compounding) movements in volumes, calculated using the average prices of the previous financial year, and applying the compounded movements to the current price estimates of the reference year. Quarterly chain volume estimates are benchmarked to annual chain volume estimates, so that the quarterly estimates for a financial year sum to the corresponding annual estimate.Generally, chain volume measures are not additive.
In other words, component chain volume measures do not sum to a total in the way original current price components do. In order to minimize the impact of this property, the ABS uses the latest base year as the reference year. By adopting this approach, additivity exists for the quarters following the reference year and non-additivity is relatively small for the quarters in the reference year and the quarters immediately preceding it. The latest base year and the reference year will be advanced one year with the release of the June quarter issue of this publication. A change in reference year changes levels but not growth rates, although some revision to recent growth rates can be expected because of the introduction of a more recent base year (and revisions to the current price estimates underlying the chain volume measures).
Reference: Australian National Accounts: National Income, Expenditure and Product. cat. no. 5206.0.
|
| Changes in inventories | The change in inventories held by enterprises and general government is obtained after adjusting the increase in book value of inventories by the inventory valuation adjustment. The need for an inventory valuation adjustment arises because the changes in the value of inventories as calculated from existing business accounting records do not meet national accounting requirements. For national accounting purposes, physical changes in inventories should be valued at the prices current at the times when the changes occur.
The inventory valuation adjustment is the difference between the change in (book) value of inventories and the physical changes valued at average current quarter's prices. The physical changes at average current quarter prices are calculated by applying average quarterly price indexes to the changes in various categories of inventories in volume terms.
Reference: Australian National Accounts: National Income, Expenditure and Product. cat. no. 5206.0.
|
| Change in net worth | This is the change in NW over two adjacent periods. CNW (due to transactions) is also equivalent to the NOB and excludes the impact of revaluations and other changes in volume of assets and liabilities.
Reference: Government Finance Statistics, Australia. cat. no. 5512.0.
|
| Children (divorce collection) | Children in the divorce collection are unmarried children of the marriage who were aged under 18 years at the time of application for divorce. Under the Family Law Act 1975 (Commonwealth Government) these may include (in certain cases) adopted and ex-nuptial children and children from a former marriage. Children who are married or aged 18 years or more are not subject to custody and guardianship orders and are excluded.
Reference: Demographic Estimates and Projections: Concepts, Sources and Methods. cat. no. 3228.0.
|
| Children (marriage collection) | Children in the marriage collection refer to persons under 16 years of age born from previous marriages.
Reference: Marriages, Australia. cat. no. 3306.0.55.001.
|
| Civilian population aged 15 years and over | All usual residents of Australia aged 15 years and over except members of the permanent defence forces, certain diplomatic personnel of overseas governments customarily excluded from census and estimated population counts, overseas residents in Australia, and members of non-Australian defence forces (and their dependants) stationed in Australia.
Reference: Labour Force, Australia. cat. no. 6202.0.
|
| Clay bricks | Saleable bricks (of all sizes) removed from kiln; excludes firebricks and bricks for other than structural purposes.
Reference: Manufacturing Production, Australia. cat. no. 8301.0.55.001.
|
| Client Activity Centre (CAC) | A three-digit suffix added to an ABN that allows registered businesses to organise tax affairs in order to meet various Australian Taxation Office reporting obligations.
Reference: International Merchandise Trade, Australia, Concepts, Sources and Methods. cat. no. 5489.0.
|
| Coefficient table | A coefficient (input-output) table records the amount of each product (or the amount of output by each industry) used as input per unit of output of the various products/industries. See also Input-output table; Supply and use tables.
Reference: Australian National Accounts: Concepts, Sources and Methods. cat. no. 5216.0.
|
| Cohabiting couples | Cohabiting couples refer to males and females, both aged at least 15 years, who are in a registered or de facto marriage and are usually resident in the same household.
Reference: Demographic Estimates and Projections: Concepts, Sources and Methods. cat. no. 3228.0.
|
| Collective consumption | Collective consumption refers to services provided simultaneously to all members of the community or to all members of a particular section of the community, such as all households living in a particular region. Collective services are automatically acquired and consumed by all members of the community, or group of households in question, without any action on their part. Typical examples are public administration and the provision of security, either at a national or local level. Collective services are the ‘public goods’ of economic theory. By their nature, collective services cannot be sold to individuals on the market, and they are financed by government units out of taxation or other incomes. The defining characteristics of collective services are as follows: collective services can be delivered simultaneously to every member of the community or of particular sections of the community, such as those in a particular region; the use of such services is usually passive and does not require the explicit agreement or active participation of all the individuals concerned; and the provision of a collective service to one individual does not reduce the amount available to others in the same community or section of the community. There is no rivalry in acquisition. See also Individual consumption.
Reference: Australian National Accounts: Concepts, Sources and Methods. cat. no. 5216.0.
|
| Commenced | A building is commenced when the first physical building activity has been performed on site in the form of materials fixed in place and/or labour expended (this includes site preparation but excludes delivery of building materials, the drawing of plans and specifications and the construction of non-building infrastructures, such as roads).
Reference: Building Activity, Australia. cat. no. 8750.0.
|
| Commodity classifications | Export and import commodities are classified in accordance with:
- the Harmonized Commodity Description and Coding System (HS);
- the codes and descriptions of the third revision of the United Nations Standard International Trade Classification, Revision 3 (SITC, Rev.3); and
- the 19 categories of the United Nations Classification by Broad Economic Categories (BEC).
Reference: International Merchandise Trade, Australia, Concepts, Sources and Methods. cat. no. 5489.0.
|
| Common fund | An investment fund established by a trustee company to accept monies it holds in trust and other monies invested by the public. Cash common funds are similar to cash management trusts except that they do not issue units nor do they necessarily issue prospectuses.
Reference: Australian National Accounts: Financial Accounts. cat. no. 5232.0.
|
| Commonwealth government employees | Employees of all departments, agencies and authorities created by or reporting to the Commonwealth Parliament. Those bodies run jointly by the Commonwealth Government and state governments are classified to Commonwealth.
Reference: Australian Labour Market Statistics. cat. no. 6105.0.
|
| Company gross operating profits | Selected items are excluded from company profits before income tax to provide a measure of underlying company profits. These items include interest income and expenses; depreciation and amortisation; and selected items which do not involve the production of goods and services such as net foreign exchange gains/losses, gains/losses arising from the sale of non-current assets, and net unrealised gains/losses from the revaluation of current or non-current assets.
Reference: Business Indicators, Australia. cat. no. 5676.0.
|
| Company profits before income tax | Net operating profit or loss before income tax and extraordinary items is net of capital profits or losses arising from the sale of businesses' own capital goods and dividends received.
Reference: Business Indicators, Australia. cat. no. 5676.0.
|
| Compensation of employees | Compensation of employees is the total remuneration, in cash or in kind, payable by an enterprise to an employee in return for work done by the employee during the accounting period. It is further classified into two sub-components: wages and salaries; and employers’ social contributions. Compensation of employees is not payable in respect of unpaid work undertaken voluntarily, including the work done by members of a household within an unincorporated enterprise owned by the same household. Compensation of employees excludes any taxes payable by the employer on the wage and salary bill (e.g. payroll tax, fringe benefits tax). See also Employers’ social contributions; Wages and salaries.
Reference: Australian National Accounts: National Income, Expenditure and Product. cat. no. 5206.0.
|
| Completed fertility rate | The completed fertility rate represents the average number of births a cohort of females have borne. It is obtained by summing the age-specific birth rates experienced by that cohort of females over their reproductive lives.
Reference: Births, Australia. cat. no. 3301.0.
|
| Computer software | Computer software refers to computer programs, program descriptions and supporting materials for both systems and applications software. Included are purchased software and, if the expenditure is large, software developed on own-account. Large expenditures on the purchase, development or extension of computer databases that are expected to be used for more than one year, whether marketed or not, are also included. See also Intangible fixed assets.
Reference: Australian National Accounts: Concepts, Sources and Methods. cat. no. 5216.0.
|
| Concessional rate of duty | A lower than normal rate of import duty levied by Customs as a result of the import's country of origin or an Australian industry assistance scheme.
Reference: International Merchandise Trade, Australia, Concepts, Sources and Methods. cat. no. 5489.0.
|
| Confinement | A pregnancy which results in at least one live birth.
Reference: Demographic Estimates and Projections: Concepts, Sources and Methods. cat. no. 3228.0.
|
| Consignment | A parcel of goods sent for sale overseas. 'On consignment' - refers to goods shipped for sale overseas for sale by an agent, title being held by the consignor until the goods are sold.
Reference: International Merchandise Trade, Australia, Concepts, Sources and Methods. cat. no. 5489.0.
|
| Consolidation | The accounting process of adding together transactions or balance sheet items after excluding those between entities in the same subsector, company group, or level of government. For example, a loan from one private non-financial corporation to another is eliminated from the consolidated total of assets and liabilities of the subsector because, in such cases, there is no asset or liability held with an entity outside the private non-financial corporations subsector. Consolidation can be applied to the statistics of any group of units of analytical interest.
Reference: Australian National Accounts: Financial Accounts. cat. no. 5232.0.
|
| Construction work done | The sum of the value of building work done and the value of engineering construction work done.
Reference: Building Activity, Australia. cat. no. 8750.0.
|
| Consumer Price Index (CPI) | A general indicator of the rate of change in prices paid by households for consumer goods and services.
Reference: Australian Consumer Price Index: Concepts, Sources and Methods. cat. no. 6461.0.
|
| Consumer Price Index (CPI), All groups excluding Financial and insurance services | Reflecting the changing composition of the CPI, from September quarter 1989 to June quarter 1998, comprises the All groups CPI excluding house insurance, house contents insurance, vehicle insurance and mortgage interest charges and consumer credit charges; from September quarter 1998 to June quarter 2000 comprises the All groups CPI excluding house insurance, house contents insurance and vehicle insurance; from September quarter 2000 to June quarter 2005 comprises the All groups CPI excluding insurance services; from September quarter 2005 comprises the All groups CPI excluding Financial and insurance services.
Reference: Australian Consumer Price Index: Concepts, Sources and Methods. cat. no. 6461.0.
|
| Consumer Price Index (CPI), All groups excluding Housing and Financial and insurance services | Reflecting the changing composition of the CPI, from September quarter 1989 to June quarter 1998, comprises the All groups CPI excluding Housing, house contents insurance, vehicle insurance and consumer credit charges; from September quarter 1998 to June quarter 2000 comprises the All groups CPI excluding Housing, house insurance, house contents insurance and vehicle insurance; from September quarter 2000 to June quarter 2005 comprises the All groups CPI excluding Housing and insurance services; from September quarter 2005 comprises the All groups CPI excluding Housing and Financial and insurance services.
Reference: Australian Consumer Price Index: Concepts, Sources and Methods. cat. no. 6461.0.
|
| Consumer Price Index (CPI), All groups excluding ‘volatile items’ | Consumer Price Index (CPI), All groups excluding ‘volatile items’ comprises the All groups CPI excluding Fruit and vegetables and Automotive fuel.
Reference: Australian Consumer Price Index: Concepts, Sources and Methods. cat. no. 6461.0.
|
| Consumer Price Index (CPI), All groups, goods component | Consumer Price Index (CPI), All groups, goods component comprises the Food group (except Restaurant meals expenditure class), Alcohol and tobacco group, Clothing and footwear group (except Clothing services and shoe repair expenditure class) and Household contents and services group (except Household services sub-group); the Utilities, Audio, visual and computing and Books, newspapers and magazines sub-groups; and the House purchase, Pharmaceuticals, Motor vehicles, Automotive fuel, Motor vehicle parts and accessories, Sports and recreational equipment, Toys, games and hobbies and Pets, pet foods and supplies expenditure classes.
Reference: Australian Consumer Price Index: Concepts, Sources and Methods. cat. no. 6461.0.
|
| Consumer Price Index (CPI), All groups, services component | Consumer Price Index (CPI), All groups, services component comprises all items not included in the ‘All groups, goods component’.
Reference: Australian Consumer Price Index: Concepts, Sources and Methods. cat. no. 6461.0.
|
| Consumer Price Index (CPI), All groups, tradables component | Consumer Price Index (CPI), All groups, tradables component comprises all items whose prices are largely determined on the world market.
Reference: Australian Consumer Price Index: Concepts, Sources and Methods. cat. no. 6461.0.
|
| Consumer Price Index (CPI), All groups, non-tradables component: | Consumer Price Index (CPI), All groups, non-tradables component comprises all items not included in the 'All groups, tradables component'.
Reference: Australian Consumer Price Index: Concepts, Sources and Methods. cat. no. 6461.0.
|
| Consumer Price Index (CPI) basket | A commonly used term for the goods and services priced for the purpose of compiling the CPI.
Reference: Australian Consumer Price Index: Concepts, Sources and Methods. cat. no. 6461.0.
|
| Consumer Price Index (CPI), Market goods and services excluding ‘volatile items’ | Consumer Price Index (CPI), Market goods and services excluding ‘volatile items’ in addition to the items excluded from the series 'All groups excluding ‘volatile items’', also excludes: Utilities, Property rates and charges, Child care, Health, Other motoring charges, Urban transport fares, Postal, and Education.
Reference: Australian Consumer Price Index: Concepts, Sources and Methods. cat. no. 6461.0.
|
| Consumer Price Index (CPI) population group | The subset of the Australian population to which the CPI specifically relates. For the 14th series CPI this is all metropolitan private households.
Reference: Australian Consumer Price Index: Concepts, Sources and Methods. cat. no. 6461.0.
|
| Consumption of fixed capital | The reduction in the value of fixed assets used in production during the accounting period resulting from physical deterioration, normal obsolescence or normal accidental damage. Unforeseen obsolescence, major catastrophes and the depletion of natural resources are not taken into account.
Reference: Australian National Accounts: National Income, Expenditure and Product. cat. no. 5206.0.
|
| Contingencies | Conditions that may affect the financial performance or position of the unit depending on the occurrence or non-occurrence of one or more future events.
Reference: Australian System of Government Finance Statistics: Concepts, Sources and Methods. cat. no. 5514.0.55.001.
|
| Contributing family worker | A person who works without pay, in an economic enterprise operated by a relative.
Reference: Australian Labour Market Statistics. cat. no. 6105.0.
|
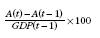
| Contributions to growth in GDP | Calculated as:

where
A(t) - value of aggregate A in quarter under consideration
A(t-1) - value of aggregate A in previous quarter
GDP(t-1) - value of GDP in previous quarter
Note that the contributions to growth of the components of GDP do not always add exactly to the growth in GDP. This can happen as a result of rounding and the lack of additivity of the chain volume estimates prior to the latest complete financial year.
Reference: Australian National Accounts: National Income, Expenditure and Product. cat. no. 5206.0.
|
| Conventional credit markets | Credit markets which are reasonably open to all potential borrowers. Excluded, for example, are loans arranged between related entities. This concept is important for an understanding of Tables 1 and 17 in this publication.
Reference: Australian National Accounts: Financial Accounts. cat. no. 5232.0.
|
| Conventional financial instruments | These instruments consist of: Currency and deposits, Bills of exchange, One name paper, Bonds etc, Loans and placements and Equity
Reference: Australian National Accounts: Financial Accounts. cat. no. 5232.0.
|
| Cost, insurance and freight (c.i.f.) | The cost, insurance and freight (c.i.f.) point of valuation for imports, is the point when the goods arrive at the border of the importing country. The value of the imports includes the cost of goods at the point of export as well as the associated international insurance and transport costs associated with the delivery of the goods from the border of the exporting country to the border of the importing country.
Reference: International Merchandise Trade, Australia, Concepts, Sources and Methods. cat. no. 5489.0.
|
| Cost-of-living (index) | A measure of the change in household income required to maintain a constant level of utility.
Reference: Australian Consumer Price Index: Concepts, Sources and Methods. cat. no. 6461.0.
|
| Counterparting | The process of taking the asset record of a sector and using it as the liability record of the counterparty sector, or vice versa. Counterparty For a market transaction to occur there must be a willing buyer and a willing seller. To the buyer, the seller is the counterparty, and vice versa.
Reference: Australian National Accounts: Financial Accounts. cat. no. 5232.0.
|
| Country of birth | The classification of countries is the Standard Australian Classification of Countries (SACC). For more detailed information refer to the Standard Australian Classification of Countries (SACC). cat. no. 1269.0.
Reference: Standard Australian Classification of Countries (SACC). cat. no. 1269.0.
|
| Country of final destination | For exports, this is the last country - as far as it is known at the time of exportation - to which goods are to be delivered.
Reference: International Merchandise Trade, Australia, Concepts, Sources and Methods. cat. no. 5489.0.
|
| Country of origin | For imports and import clearances, the country of origin is the country of production or the country in which the final stage of production or manufacture occurs.
Reference: International Merchandise Trade, Australia, Concepts, Sources and Methods. cat. no. 5489.0.
|
| Country of residence | Country of residence refers to the country in which travellers regard themselves as living or as last having lived.
Reference: Overseas Arrivals and Departures, Australia. cat. no. 3401.0.
|
| Couple families | A family based on two persons who are in a registered or de facto marriage and who are usually resident in the same household.
Reference: Australian Labour Market Statistics. cat. no. 6105.0.
|
| Coverage | The extent to which the defined scope of a statistical system is actually achieved in practice.
Reference: Australian System of Government Finance Statistics: Concepts, Sources and Methods. cat. no. 5514.0.55.001.
|
| Credit | Accounting entry representing revenue, a decrease in an asset or an increase in a liability.
Reference: Australian System of Government Finance Statistics: Concepts, Sources and Methods. cat. no. 5514.0.55.001.
|
| Credit Market Outstandings | Credit Market Outstandings of the financial accounts shows the key liabilities of each of the domestic non-financial sectors. Included are borrowings, debt securities; and equities.
All ‘off-market’ funding arrangements are excluded. For example:
- liabilities of the financial sector are excluded because of the role of the financial institutions in the economy - they borrow in order to lend.
- National government financial arrangements with State governments;
- National government financial arrangements with public trading enterprises (either National or State);
- State government financial arrangements with public trading enterprises (either National or State);
- financial arrangements between related corporations in the same sub-sector.
Excluded also are non-conventional instruments, including:
- deposits and insurance technical reserves, as these are with the financial sector;
- derivatives, as these are normally for hedging purposes, not fund raising;
- sundry accounts payable, as these are generally incurred through normal trading activities;
- unfunded superannuation liabilities, as these are incidental to employment.
Reference: Australian National Accounts: Financial Accounts. cat. no. 5232.0.
|
| Creditor/Debtor principle | See Debtor/Creditor principle.
|
| Crude birth rate | The crude birth rate is the number of live births registered during the calendar year per 1,000 estimated resident population at 30 June of that year. For years prior to 1992, the crude birth rate was based on the mean estimated resident population for the calendar year.
Reference: Demographic Estimates and Projections: Concepts, Sources and Methods. cat. no. 3228.0.
|
| Crude death rate | The crude death rate is the number of deaths registered during the calendar year per 1,000 estimated resident population at 30 June. For years prior to 1992, the crude death rate was based on the mean estimated resident population for the calendar year.
Reference: Demographic Estimates and Projections: Concepts, Sources and Methods. cat. no. 3228.0.
|
| Crude divorce rate | The crude divorce rate is the number of decrees absolute granted during the calendar year per 1,000 estimated resident population at 30 June. For years prior to 1992, the crude divorce rate was based on the mean estimated resident population for the calendar year. In the interpretation of this rate, it must be kept in mind that a large and varying proportion of the population used in the denominator is unmarried or is below the minimum age of marriage.
It should be noted that for divorce rates relating to state and territory data, the numerator and denominator are based upon different types of data, reducing the accuracy.
While state or territory of usual residence is used as the denominator, the numerator is based upon state or territory of registration. Therefore, divorce applicants may contribute to the divorce rates of states and territories where they are not usual residents.
Reference: Divorces, Australia. cat. no. 3307.0.55.001.
|
| Crude marriage rate | The crude marriage rate is the number of marriages registered during the calendar year per 1,000 estimated resident population at 30 June. For years prior to 1992, the crude marriage rate was based on the mean estimated resident population for the calendar year. In the interpretation of this rate, it must be kept in mind that a large and varying proportion of the population used in the denominator is below the minimum age of marriage or is already married.
Reference: Demographic Estimates and Projections: Concepts, Sources and Methods. cat. no. 3228.0.
|
| Cultivated assets | Cultivated assets include livestock raised for breeding, dairy, wool, etc., and vineyards, orchards and other plantations of trees yielding repeat products that are under the direct control, responsibility and management of institutional units. Immature cultivated assets are excluded unless produced for own use. See also Livestock assets; Tangible fixed assets; and Vineyards, orchards and other plantations of trees yielding repeat products.
Reference: Australian National Accounts: Concepts, Sources and Methods. cat. no. 5216.0.
|
| Currency and deposits | Currency consists of foreign and domestic notes and coins in circulations, which are commonly used to make payments. Deposits include transferable deposits, which are exchangeable on demand and freely transferable and other deposits such as fixed term deposits and those transferable at short notice. Also included are banks' nostro and vostro accounts.
Reference: International Merchandise Trade, Australia, Concepts, Sources and Methods. cat. no. 5489.0.
|
| Current account | Current account shows balance of payments transactions in real resources (goods, services, income) and current transfers.
Reference: International Merchandise Trade, Australia, Concepts, Sources and Methods. cat. no. 5489.0.
|
| Current prices | Estimates are valued at the prices of the period to which the observation relates. For example, estimates for 2002-03 are valued using 2002-03 prices. This contrasts to chain volume measures where the prices used in valuation refer to the prices of a previous period.
Reference: Australian National Accounts: National Income, Expenditure and Product. cat. no. 5206.0.
|
| Current taxes on income, wealth, etc. | Current taxes on income, wealth, etc. include taxes on the incomes of households or the profits of corporations, and taxes on wealth that are payable regularly every tax assessment period (as distinct from capital taxes that are levied infrequently).
Reference: Australian National Accounts: Concepts, Sources and Methods. cat. no. 5216.0.
|
| Current transfers | Current transfers are transactions, other than those classified as capital transfers, in which one institutional unit provides a good, service or cash to another unit without receiving from the latter anything of economic value in return.
Reference: Australian National Accounts: Concepts, Sources and Methods. cat. no. 5216.0.
|
| Current transfers to non-profit institutions | Current transfers to non-profit institutions are transfers for non-capital purposes to private non-profit institutions serving households, such as hospitals, independent schools, and religious and charitable organisations.
Reference: Australian National Accounts: Concepts, Sources and Methods. cat. no. 5216.0.
|
| Customs' clearances | All goods (above a set minimum value) exported from or imported into Australia, whether by air, sea or post must be cleared through Customs. Consignments with values below certain limits may be cleared on Informal Clearance Documents.
Reference: International Merchandise Trade, Australia, Concepts, Sources and Methods. cat. no. 5489.0.
|
| Customs entry | A communication of information manually or electronically to Customs about imports, or goods intended for export.
Reference: International Merchandise Trade, Australia, Concepts, Sources and Methods. cat. no. 5489.0.
|
| Customs frontier | The limit of Customs' jurisdiction.
Reference: International Merchandise Trade, Australia, Concepts, Sources and Methods. cat. no. 5489.0. |
 |  |