4914.0.55.001 - Newsletter: Age Matters, Jun 2005  
ARCHIVED ISSUE Released at 11:30 AM (CANBERRA TIME) 07/07/2005   
   Page tools: Print Print Page Print all pages in this productPrint All

OLDER PEOPLE IN 1905 and 2005

This article examines life for older persons (those aged 65 years and over) a hundred years ago compared with today. Data have been sourced mainly from the Censuses of Population and Housing particularly, those conducted in 1901, 1911 and 2001.

Population distribution

From 1901 until the end of World War I, 4% of persons in Australia were aged 65 years and over. This proportion had doubled to 8% by the 1947 census, reflecting the slow growth of the younger population during the Great Depression of the 1930s and World War II. As a result of the post-World War II baby boom, the proportion of older persons remained relatively stable at around 8% of the total population until the early 1970s (ABS 2003). The proportion of persons aged 65 years and over increased from 8% in 1971 to 13% in 2001, mainly due to the continual decline in fertility and reductions in the death rate.

After reaching a peak of 3.6 babies per female in 1961, the fertility rate fell to replacement level in 1976 and continued to fall to 1.7 babies per female in 2001 (ABS 2003). This fall in the fertility rate reflected changes in Australian society including the introduction of the contraceptive pill, liberalisation of abortion laws, changing perceptions of the desired family size and a growing acceptance of women’s participation in paid employment and education.

The increases in life expectancy, which are detailed in the following section, have also resulted in changes to the structure of the older age groups. The old are now more likely to be older than their counterparts a hundred years ago. In 1901, three-quarters (75%) of the older population were aged 65–74 years, 22% were aged 75-84 years and 3% were aged 85 years and over. By 2001, these proportions had changed to 54%, 35% and 11% respectively. (ABS 2003)

The sex distribution of the older population has also changed significantly. In 1901, the male to female sex ratio was 130 males aged 65 years and over for every 100 females aged 65 years and over. This ratio changed to 100:100 by the 1933 census, and decreased to the lowest ratio of 72 to 100 by the 1971 census. In 2001, this ratio increased slightly to 79 males for every 100 females (ABS 2003).

This reversal in the sex ratio within the older population reflects changes in the relative proportions of the sex of migrants to Australia. The flow of 'involuntary' and free-migrants to Australia from colonisation through the early 1800s was distinguished by a high number of males, as was the flow during the gold-rush years. In an attempt to combat the shortage of women at this time, sex ratios were deliberately and calculatingly balanced under a government assistance scheme (Jupp 2001). In addition, the greater life expectancy of females compared with males has led to females comprising a higher proportion of the older population.

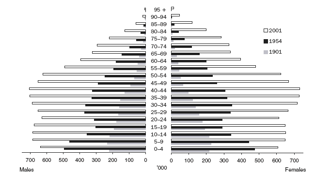
Figure 1 (below) shows the increased population count in five year age groups by sex for the periods 1901, 1954 and 2001. In 1901, the proportion of older persons (aged 65 years and over) was 4.0% and remained around that level until the end of World War I. This proportion doubled to 8.0% by the 1947 census, reflecting the slow growth of the younger population during the Great Depression of the 1930s and World War II. This slow growth can be attributed to factors such as delayed marriage and childbearing, leading to the fertility rate decreasing to replacement level (2.1 babies per woman) by 1934. During the years following World War II, Australia then experienced growth in population due to significant post-War immigration and an increase in the number of births, a period now known as the 'baby boom'. This was a result initially of a catch-up among those who had delayed childbearing during the Depression and War, but was sustained by near universal marriage, reduction in ages at marriage, low unemployment, availability of housing, and reduced infecundity. These factors resulted in the proportion of older persons remaining relatively stable at around 8.0% of the total population until the early 1970s.

                        Figure 1. Age by sex distribution (a)(b), selected census years
                  Figure 1: Age by sex distribution (a) (b), selected census years
(a) Under the Constitution at Federation, Indigenous people were not included in the census. This changed following a referendum in 1967. Indigenous people have been included in the figures for 1971 onwards.
(b) Data for 1971 onwards excludes overseas visitors.
Source: ABS data available on request, 1901 and 1954 Censuses of the Commonwealth of Australia; 2001 Census of Population and Housing.

Life expectancy and causes of death

A life table is a statistical model used to represent the mortality of a population. In its simplest form, a life table is generated from age-specific death rates and the resulting values are used to measure mortality, survivorship and life expectancy. Life tables are presented separately for each sex and depict the mortality experience of a hypothetical group of newborn babies throughout their entire lifetime. Life expectancy refers to the average number of additional years a person of a given age and sex might expect to live if the age-specific death rates of the given period continued throughout his/her lifetime.

The age-specific death rate for males and females has significantly decreased for all groups since the turn of the century. Table 1 (below) shows that a reduction in the infant mortality resulted in an increase in life expectancy by 12 years for males and 14 years for females for babies born in 1953-55 compared to those born in 1901-10. Improvements in living conditions, such as cleaner water, better sewerage systems and improved housing, coupled with rising incomes and improved public health care, including initiatives like mass immunisation resulted in a decrease in deaths from infectious diseases and were particularly beneficial to infants and women who were pregnant or during childbirth.

Increases in life expectancy in the latter half of the century, as shown in Table 1, have been attributed to healthier lifestyles and advances in medical technology (ABS 2004). These factors resulted in a further increase of over 10 years expectation of life for both males and females born in 2000–2002 compared with their counterparts born fifty years earlier. Life expectancy for males born in 2001 is 22 years greater than for those born in 1901-1910 and 24 years for females in the same period.

The expectation of life for a 65 year old in 2000-02 was a further 17 years for males and 21 years for females, compared with a further 11 years for males and 13 years for females in 1901-1910.
                  Table 1. Life expectancy at selected ages, at selected periods 1901–10 to 2000–02
                  Expectation of life
                  at birth
                  Expectation of life
                  at age 45
                  Expectation of life
                  at age 65
                  Period
                  Males
                  Females
                  Males
                  Females
                  Males
                  Females
                  (years)
                  1901-10
                  55.2
                  58.8
                  24.8
                  27.6
                  11.3
                  12.9
                  1953-55
                  67.1
                  72.8
                  27.2
                  31.4
                  12.3
                  15.0
                  2000-2002
                  77.4
                  82.6
                  34.7
                  38.9
                  17.4
                  20.8
                  Source: ABS for 1901–1934 and 1995 onwards Deaths, Australia various issues (cat. no. 3302.0) and The Commonwealth (later Government) Actuary for the years 1947–1998.

In addition to measuring the number and rates of death, the actual causes of death are also classified and tabulated.

There have been extensive revisions in the cause of death classifications used since 1907 and while there are concordances between successive classifications caution should be exercised when comparing data over this time period. However, comparisons can be made in some of the broader chapter levels of the classifications from different periods.

Table 2 (below) provides an indication of the changes in the leading causes of death over the last 100 years. The 1907 data is coded using the Nomenclature of Diseases and Causes of Death as revised and adopted by the International Commission. The 2003 data is coded using the International Classification of Diseases and Related Health Problems, 10th Revision (ICD-10).

In 1907, the leading cause of death in older persons was 'old age (or senile debility)' whilst in 2003, the leading cause of death in older persons was 'Diseases of the circulatory system'. Age specific death rates for neoplasms has increased more significantly for males aged 65 years and over than for females aged 65 years and over. In 2003, neoplasms were the second major cause of death in older Australians. The age specific death rates for 'Diseases of the respiratory system' has more than halved for both males and females aged 65 year and over. However, age specific death rates for 'Diseases of circulatory system' has increased 22% for males and 50% for females. With respect to these latter two causes, over the last 100 years, death rates from chronic type diseases have replaced deaths from infections type diseases.

                Table 2 Age specific deaths per 100,000 males and females for persons aged 65 years and over, all causes and selected cause of death, 1907 and 2003
                Causes of death
                Males
                Females
                1907
                2003
                %
                change
                1907
                2003
                %
                change
                All causes
                8,408.9
                4,474.1
                -46.8
                7,000.9
                3817.5
                -45.5
                Old age / Symptoms, signs and abnormal clinical findings nec (a)
                1,774.1
                1.3
                -99.9
                1,715.9
                7.3
                -99.6
                Diseases of the circulatory system
                1,422.0
                1,729.5
                21.6
                1,134.0
                1701.2
                50.0
                Diseases of the respiratory system
                1,014.1
                492.1
                -51.5
                898.8
                366.7
                -59.2
                Neoplasms
                794.8
                1,369.6
                72.3
                645.0
                829.5
                28.6
                (a)Old age was a separate classification in 1907 whilst in 2003 senile debility was part of 'Symptoms, signs and abnormal clinical and laboratory findings, not elsewhere classified'.
                Source: 1907 data - Population and Vital Statistics, Bulletin No 8, 1907; 2003 data - Causes of death, 2003

Birthplace

Distribution of the population according to birthplace is a strong indicator of the changes in cultural diversity over the last 100 years. Table 3 (below) shows the changes in birthplace in the Australian population over the last 100 years.

Since 1911, there has been an increase in the proportion of overseas born residents across all age groups. Over the same time period, there has been a large decrease in the proportion of older overseas born residents. In 1911, only 17.2% of older persons were Australian born with nearly three quarters (71.9%) of older persons born in the United Kingdom and Ireland. In 2001, the majority (62%) of older persons were born in Australia, with United Kingdom and Ireland the next major birthplace (11%).

There has also been a shift in the composition of overseas born Australians. The proportion of Australians born in the UK has dropped and, in the case of all ages, is now a similar proportion to Asian born Australians. Both age groups have experienced strong growth in the proportion of European birthplaces other than the UK and Ireland and in the proportion of Asian birthplaces. The older age group experienced a larger growth in the proportion of European birthplaces other than the UK and Ireland, whilst all ages experienced a larger growth in the proportion of Asian born Australians.

The composition of Australia's present population of older persons born overseas reflects immigration policy over the last fifty years. There was a significant immigration intake of young adults from Europe immediately after World War II and following the abolition of the White Australia Policy in the mid-1970s, immigrants were attracted to Australia from non-European origins, especially Asia.
                  Table 3 Country of birth as a percentage of the total population (a) (b), 1911 and 2001
                  1911
                  2001
                  Country of birth
                  65 and over
                  All ages
                  65 and over
                  All ages
                  per cent
                  Australia
                  17.2
                  82.3
                  62.2
                  71.8
                  Born Overseas
                      New Zealand
                  0.2
                  0.7
                  0.9
                  1.9
                      Polynesia
                  0.0
                  0.1
                  0.2
                  0.5
                      United Kingdom and Ireland
                  71.9
                  13.3
                  10.8
                  5.7
                      Italy
                  0.2
                  0.2
                  3.9
                  1.2
                      Greece
                  0.0
                  0.0
                  1.5
                  0.6
                      Germany
                  4.2
                  0.7
                  1.2
                  0.6
                      Other European countries
                  1.8
                  0.6
                  6.6
                  3.2
                      Asia
                  1.2
                  0.8
                  3.2
                  5.2
                      Americas
                  0.8
                  0.3
                  0.5
                  0.8
                      Africa
                  0.1
                  0.1
                  1.4
                  1.9
                      Other (c)
                  2.2
                  0.8
                  6.7
                  5.6
                      Sub Total
                  82.8
                  17.5
                  36.8
                  26.7
                  Total
                  100.0
                  100.0
                  100.0
                  100.0
                  (a) 2001 Census data are aggregated to coincide with the 1911 Census data.
                  (b) does not include overseas residents
                  (c) includes at sea and not stated
                  Source: 1911 data - Census of the Commonwealth of Australia, 1911; 2001 data - 2001 Census Expanded Community Profile

Marital status

Changes in social, cultural and religious attitudes of Australians since 1901 can be gauged by changes that have occurred with respect to marital status.

The ABS uses the concept of 'social marital status' in its collections and defines a person as either 'married' or 'not married'. The 'married' category includes both those who are 'registered married' and the 'defacto married'.

The census which captures data on 'social marital status' also collects a person's 'registered' marital status which includes those in formally registered marriages and those legally divorced. Accordingly, people are classified as either 'never married', 'separated', 'widowed' 'divorced' and 'married'. Those definitions have remained consistent over the last one hundred years and enable some intergenerational comparisons.

Table 4 (below) shows the registered marital status of older persons in 1911 and 2001. In 1911, just over half (54%) the number of males aged 65 years and over were 'married' compared with 74 per cent in 2001 and nearly 20 per cent of older males were 'never married' in 1911 compared with only 6 per cent in 2001. These changes can be attributed to the reversal in the sex ratios described previously.

The proportional change in the marital status for women aged 65 years and over from 1908 to 2001 is, however, different to males. In 1901, almost 60% of females were widowed with only 37% 'married'. While in 2001, the proportions of females 'married' and 'widowed' was the same at 45%. This 8% increase in 'married' and 14% decrease in 'widowed' reflects the increased life expectancy of their husbands as noted previously. The proportion of women aged 65 and over who were 'never married' in 1901 and 2001 remained constant at 4 %.

Additionally, although divorce was legally available, it was socially unacceptable and, as a result, less than 0.1% of all males and females aged 65 years and over were divorced in 1901. However in 2001, 6% of those aged 65 years and over had a marital status of divorced.
                  Table 4 Marital status as a percentage of the 65 and over age group, 1901 and 2001
                  Males
                  Females
                  Total
                  Marital status
                  1901
                  2001
                  1901
                  2001
                  1901
                  2001
                  per cent
                  Married(a)
                  54.1
                  74.2
                  36.6
                  44.8
                  46.5
                  57.8
                  Divorced
                  0.1
                  6.2
                  0.0
                  5.9
                  0.0
                  6.0
                  Widowed
                  26.2
                  13.6
                  59.2
                  44.9
                  40.5
                  31.1
                  Never married
                  19.6
                  6.0
                  4.2
                  4.4
                  12.9
                  5.1
                  Total
                  100.0
                  100.0
                  100.0
                  100.0
                  100.0
                  100.0
                  (a) For 2001 Data Married includes the 'Separated' category
                  Source: 1901 data - Census of the commonwealth of Australia, 1921; 2001 data - Census of Population and Housing, selected Social and Housing Characteristics, 2001 (cat. no. 2015.0)

Labour force

Table 5 (below) shows the labour force participation rates in 1911 and 2005. All male age groups have experienced a decrease in labour force participation rates. The largest decreases have occurred in the younger age groups and older age groups. These decreases reflect changes in attendance at education institutions in the younger age groups and the trend towards the choice for earlier retirement in the older age group, possibly associated with older persons leaving the work force rather than being unemployed. Conversely, all female age groups, apart from 65 years and over, experienced an increase in labour force participation rates. This increase may reflect general acceptance of women in the work force, greater opportunities emerging for women to participate in paid work while raising children and employers offering more flexible working arrangements (notably flexible hours and part-time work).

For both males and females aged 65 years and over, the labour force participation is lower in 2005, reflecting social and policy changes such as availability of invalidity and other pensions.
                        Table 5 - Labour force participation rates, 1911 and 2005
                        Age group
                        (years)
                        Males
                        Females
                        April 1911
                        March 2005
                        April 1911
                        March 2005
                        per cent
                        15-19
                        90.0
                        60.6
                        43.5
                        62.8
                        20-24
                        97.7
                        85.2
                        40.2
                        77.9
                        25-34
                        98.0
                        91.7
                        22.9
                        73.2
                        35-44
                        97.3
                        91.5
                        16.7
                        74.1
                        45-54
                        95.8
                        88.4
                        15.5
                        75.3
                        55-59
                        92.7
                        73.8
                        14.6
                        54.2
                        60-64
                        85.8
                        55.2
                        13.1
                        31.6
                        65 and over
                        55.3
                        11.4
                        7.9
                        4.5
                        Source: 1911 data - ABS Year Book Australia 2002; 2005 data Labour Force, Australia,
                        Detailed Electronic Delivery, 6291.0.55.001
    Age pensions

    In 1901, the Constitution of the Commonwealth gave power to the Commonwealth Government to legislate for invalid and old-age pensions. This power was also held concurrently by the States. In 1901, New South Wales and Victoria introduced old-age pensions for eligible residents aged 65 years and over.

    In 1905, a Commonwealth Royal Commission on old-age pension was appointed. The Royal Commission recommendation that family members contribute towards the age pension and that monies be repaid from the deceased pensioners' estates was not adopted. However, there were requirements about residency and good character that had to be met (Daniels 1999).

    In 1907, it was estimated that 40% of older people in New South Wales and 16% of older people in Victoria were receiving the old-age pension (CBCS 1908).

    The Deakin government introduced the Invalid and Old-age Pensions Act in 1908.The old-age pension was payable to people who were aged 65 years and over, and those who were aged 60 years and over and were permanently incapacitated for work. The old-age pension was non-contributory and means tested. After the introduction of the national old-age pension scheme in 1910, approximately 34% (65,392) older people were receiving the old-age pension.

    In 1935, an insurance-based old age pension scheme was introduced after some state old age assistance schemes had been established. By 1940 Australia was one of about thirty five countries with social security programs for the aged and the disabled. The pensions were non-contributory, non-discretionary and means tested. Men aged 65 years and over and women aged 60 years and over were entitled to the pension.

    In 2004, 1.9 million older persons (72%) received age pensions (Daniels 2004). The age requirement for men currently remains at 65 years, and for women is being progressively raised to 65 years by 2014. The qualifying age for women now depends on their date of birth, with the minimum age increasing by six months at two-year intervals until it reaches 65 years for those born on or after 1 January 1949 (ABS, 2005).

    The ageing of the Australian population will increase the financial commitment of the Australian economy to support the aged. It is expected Age Pension expenditure will be 4.6% of gross domestic product by 2050 (ABS, 2005).

    Conclusion

    A hundred years of change has resulted in a very different Australian profile in 2005 as compared with 1905. This is the result of changes in social values, attitudes and government policy in Australia and overseas. The profile of the older generation has changed in regards to sex distribution, percentage of the population and life expectancy. As Australia's population continues to age over the next several decades, the community faces the challenge of providing policy, programs and services to meet the changing values, behaviours and attitudes of an older population.

    References

    Australian Bureau of Statistics (ABS) 2002, Year Book Australia,2002,cat. no. 1301.0, ABS Canberra.

    Australian Bureau of Statistics (ABS) 2003, Causes of Death, Australia, 2003,cat. no. 3303.0, ABS Canberra.

    Australian Bureau of Statistics (ABS) 2003, Census of Population and Housing: Ageing in Australia, 2001,cat. no. 2048.0, ABS Canberra.

    Australian Bureau of Statistics (ABS) 2004, Measures of Australia's Progress, 2004,cat. no. 1370.0, ABS Canberra.

    Australian Bureau of Statistics (ABS) 2005, Year Book Australia, 2005,cat.no. 1301.0, ABS Canberra.

    Australian Bureau of Statistics (ABS) 2005, Labour Force, Australia, Detailed - Electronic Delivery,cat. no. 6291.0.55.001, ABS Canberra.

    Commonwealth Bureau of Census and Statistics (CBCS), Population and Vital Statistics, Bulletin No. 8,CBCS, Melbourne.

    Commonwealth Bureau of Census and Statistics (CBCS) 1908, Year Book of the Commonwealth No. 1, 1901–1907,CBCS, Melbourne.

    Commonwealth Bureau of Census and Statistics (CBCS) 1911, Census of the Commonwealth of Australia, 1911,CBCS, Melbourne.

    Commonwealth Bureau of Census and Statistics (CBCS) 1921, Census of the Commonwealth of Australia, 1921,CBCS, Melbourne.

    Daniels, D (1999), Social Security Payments for the Aged, those with Disabilities and Carers 1909 to 1998,Research Paper 11, 1998-99, Available online at http://www.aph.gov.au/. Viewed 11/3/05.

    Daniels, D (2004), Social Security Payments for the Aged, People with Disabilities and Carers 1909 to 1998,Research Paper 11, 1998-99, Available online at http://www.aph.gov.au/. Viewed 11/3/05.

    Jupp, J (ed) ( 2001), The Australian people: An encyclopedia of the nation, its people and their origins,Cambridge University Press, Cambridge.