4604.0 - Energy Account, Australia, 2009-10 Quality Declaration 
ARCHIVED ISSUE Released at 11:30 AM (CANBERRA TIME) 20/12/2011   
   Page tools: Print Print Page Print all pages in this productPrint All

USE OF ENERGY



MAIN FINDINGS

  • Australia's domestic energy consumption (i.e. industry and household energy use) was 3,962 PJ in 2009-10, an increase of 39 PJ (1%) from 2008-09. The main fuels consumed were natural gas (24%), electricity (22%), diesel (18%) and petrol (16%).
  • Household energy use increased by 2% to 1,015 PJ in 2009-10, with the main energy sources being petrol (457 PJ), electricity (217 PJ) and natural gas (144 PJ).
  • The manufacturing industry was the largest user of domestic energy (1,034 PJ) in 2009-10. Over one-third (35%) of manufacturing energy use occurred within Non-ferrous metals production.
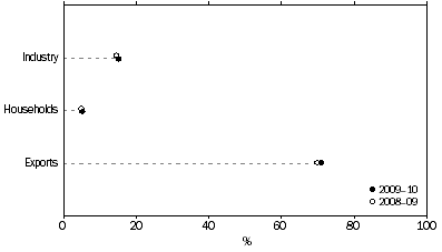
  • The export market is the single largest destination for Australian energy products, accounting for 13,702 PJ, or 71% of energy production.

The energy use tables record use of energy products for 2008-09 and 2009-10. Net use consists of intermediate consumption by industry, final consumption by households, exports, inventory changes, conversions and losses.

DOMESTIC CONSUMPTION

Australia's domestic energy consumption (i.e. industry and household energy use) was 3,962 PJ in 2009-10, an increase of 39 PJ (1%) from 2008-09. The main fuels consumed were natural gas (24%), electricity (22%), diesel (18%) and petrol (16%).

The Manufacturing industry was the largest consumer of domestic energy (1,034 PJ ) in 2009-10. Over one-third (35%) of manufacturing energy occurred within Non-ferrous metals production. This was followed by chemicals and petroleum production (21%) and other manufacturing products (16%). The remaining energy was used in the Iron and steel, Food, beverages, textiles, Wood, paper and printing industries.

Household energy use increased by 2% from 997 PJ in 2008-09 to 1,015 PJ in 2009-10. Households accounted for 26% of domestic energy use in 2009-10, with petrol (457 PJ), electricity (217 PJ) and natural gas (144 PJ) the principal fuels used.

The Mining and Transport industries each accounted for 14% of domestic energy use. The primary fuels consumed by the Mining industry were natural gas (314 PJ) and diesel (147 PJ).The main fuels used by Transport were other refined fuel products (279 PJ) and diesel (202 PJ).

Commercial and services industries accounted for 11% of domestic energy use, with the predominant fuels being electricity (206 PJ) and petrol (93 PJ).

Net losses and conversions accounted for 1,963 PJ in 2009-10. Losses and conversions occur in the transformation of fossil fuels and organic waste into electricity, crude oil into LPG and petroleum products, and coal by-products in steel making.

Domestic energy use, by product - 2008-09 and 2009-10
Graph: 3.1 Domestic energy use, by product—2008–09 and 2009–10


Domestic net energy use - 2008-09 and 2009-10
Graph: 3.2 Domestic net energy use—2008–2009 and 2009–10


EXPORTED ENERGY

The export market is the single largest user of Australian energy products, accounting for 71% of total energy use. Together, black coal (8,327 PJ) and uranium (3,551 PJ) contributed 87% to total energy exports in 2009-10. Uranium exports decreased by 25% between 2008-09 and 2009-10. Total exports also fell slightly due to this sharp drop in uranium exports, though exports of black coal (up 12%) and natural gas (up 16%) continued to rise. Exports of natural gas (as LNG), while still small compared to coal and uranium, now account for 7% (972 PJ) of total energy exports. Crude oil (668 PJ) made up the majority of remaining exports, with small quantities of LPG and refined petroleum products.

Net energy use - 2008-09 and 2009-10
Graph: 3.3 Net energy use—2008–09 and 2009–10


Net energy use, by product - 2008-09 and 2009-10
Graph: 3.4 Net energy use, by product—2008–09 and 2009–10