The Australian Economic Indicators Glossary has been re-formatted so that it is easier to find terms. You can now click on the first letter of the term you wish to search rather than scrolling through the whole A-Z of the glossary to find a term.
| ABN (Australian Business Number) | ABN (Australian Business Number) is an 11 digit number that identifies a business, registered under the A New Tax System (Australian Business Number) Act 1999 in its dealings with the Australian Taxation Office and other government departments and agencies.
Reference: International Merchandise Trade, Australia, Concepts, Sources and Methods. cat. no. 5489.0.
|
| ABS Business Register | The ABS maintained register of businesses and other organisations (government departments, non-profit organisations etc.) operating in Australia. This is used to determine the population for many ABS surveys.
Reference: Labour Price Index: Concepts, Sources and Methods. cat. no. 6351.0.55.001.
|
| ABS Data Warehouse | ABS database containing datasets and definitional and procedural metadata, together with facilities for loading, storing, accessing, manipulating, and disseminating these data.
Reference: International Merchandise Trade, Australia, Concepts, Sources and Methods. cat. no. 5489.0.
|
| Aboriginal and Torres Strait Islander origin | The Census form asks the following question of each person "Is the person of Aboriginal or Torres Strait Islander origin?" Demographic statistics are based on this definition.
Reference: Demographic Estimates and Projections: Concepts, Sources and Methods. cat. no. 3228.0.
|
| Accrual accounting | Revenues and expenses are recorded as they are earned or incurred, regardless of whether cash has been received or disbursed. For example, sales on credit would be recognised as revenue, even though the debt may not be settled for some time.
Reference: Australian National Accounts: Financial Accounts. cat. no. 5232.0.
|
| Accrual basis of recording | A recording method in which revenues, expenses, lending and borrowing are recorded as they are earned, accrued or incurred regardless of when payment is made or received.
Reference: Government Finance Statistics, Australia. cat. no. 5512.0.
|
| Actively looking for work | Includes writing, telephoning or applying in person to an employer for work; answering an advertisement for a job; checking factory noticeboards or the touchscreens at the Centrelink offices; being registered with Centrelink as a jobseeker; checking or registering with any other employment agency; advertising or tendering for work; and contacting friends or relatives.
Reference: Labour Force, Australia. cat. no. 6202.0.
|
| Actual hours worked | The hours actually worked during the reference week, not necessarily hours paid for.
Reference: Australian Labour Market Statistics. cat. no. 6105.0.
|
| Adult employees | Adult employees are those employees 21 years of age or over and those employees who, although under 21 years of age, are paid at the full adult rate for their occupation.
Reference: Average Weekly Earnings, Australia. cat. no. 6302.0.
|
| Ad valorem | A rate of import duty calculated as a percentage of the Customs value of the goods. e.g. 2 per cent.
Reference: International Merchandise Trade, Australia, Concepts, Sources and Methods. cat. no. 5489.0.
|
| AFIs | All Financial Intermediaries
Reference: Reserve Bank of Australia (RBA).
|
| Age-specific birth rates | See Age-specific fertility rates.
|
| Age-specific death rates | Age-specific death rates are the number of deaths (occurred or registered) during the calendar year at a specified age per 1,000 of the estimated resident population of the same age at mid-point of the year (30 June). Pro rata adjustment is made in respect of deaths for which the age of the deceased is not given.
Reference: Deaths, Australia. cat. no. 3302.0.
|
| Age-specific divorce rates | Two different populations may be used in the calculation of age-specific divorce rates:
- Per 1,000 population - this relates the number of divorces recorded in the calendar year, by age at decree made absolute, to the estimated resident population of the same age at 30 June. Males under 18 years and females under 16 years are excluded from the population.
- Per 1,000 married population - this relates the number of divorces recorded in a calendar year, by age at decree made absolute, to the married population of the same age at 30 June. Those classified as permanently separated are included in the married population. Males and females under 15 years are excluded from the population.
Calculation of this rate requires a disaggregation of the population by marital status. Estimates of the population by marital status were last calculated as at 30 June 2001.
Wherever used, the definition adopted is indicated.
Reference: Divorces, Australia. cat. no. 3307.0.55.001.
|
| Age-specific fertility rates | Age-specific fertility rates are the number of live births (occurred or registered) during the calendar year, according to the age of the mother, per 1,000 of the female estimated resident population of the same age at 30 June. For calculating these rates, births to mothers under 15 years are included in the 15-19 years age group, and births to mothers aged 50 years and over are included in the 45-49 years age group. Pro rata adjustment is made for births for which the age of the mother is not given.
Reference: Australian Demographic Statistics. cat. no. 3101.0.
|
| Age-specific first marriage rates | Two different populations may be used in the calculation of age-specific first marriage rates:
- Per 1,000 population - this relates the number of first time marriages of males or females registered in the calendar year, by age at marriage, to the estimated resident population in the same age at 30 June. Males and females aged under 15 years are excluded from the population.
- Per 1,000 never married population - this relates the number of first time marriages of males or females registered in a calendar year, by age at marriage, to the never married population of males or females of the same age at 30 June. Males and females aged under 15 years are excluded from the population. Calculation of this rate requires a disaggregation of the population by marital status. Estimates of the population by marital status were last calculated as at 30 June 2001.
Wherever used, the definition adopted is indicated.
Reference: Marriages, Australia. cat. no. 3306.0.55.001.
|
| Age-specific marriage rates | Two different populations may be used in the calculation of age-specific marriage rates:
- Per 1,000 population - this relates the number of marriages of males or females registered in a calendar year, by age at marriage, to the estimated resident population in the same age. Males and females aged under 15 years are excluded from the population.
- Per 1,000 not registered married population - this relates the number of marriages of males or females registered in a calendar year, by age at marriage, to the not registered married population of males or females of the same age at 30 June. Males and females aged under 15 years are excluded from the population.
Calculation of this rate requires a disaggregation of the population by marital status. Estimates of the population by marital status were last calculated as at 30 June 2001.
Wherever used, the definition adopted is indicated.
Reference: Marriages, Australia. cat. no. 3306.0.55.001.
|
| Age-specific remarriage rates | Age-specific remarriage rates are the number of remarrying males or females registered in the calendar year, by age at marriage, per 1,000 widowed and divorced estimated resident population of the same sex and age at 30 June. Males and females aged under 15 years are excluded from the population.
Calculation of this rate requires a disaggregation of the population by marital status. Estimates of the population by marital status were last calculated as at 30 June 2001.
Reference: Marriages, Australia. cat. no. 3306.0.55.001.
|
| Aggregate (actual) hours worked | The total number of hours a group of employed persons has actually worked during the reference week, not necessarily hours paid for.
Reference: Australian Labour Market Statistics. cat. no. 6105.0.
|
| Aggregation | The process of combining lower level price indexes to produce higher level indexes.
Reference: Australian Consumer Price Index: Concepts, Sources and Methods. cat. no. 6461.0.
|
| Agricultural income | The income accruing from agricultural production during the year. It is equal to gross agricultural product at factor cost less consumption of fixed capital, compensation of employees, and net rent and interest payments.
Reference: Australian National Accounts: National Income, Expenditure and Product. cat. no. 5206.0.
|
| Agricultural production costs (other than compensation of employees and consumption of fixed capital) | Agricultural production costs (other than compensation of employees and consumption of fixed capital) include all costs incurred in current production, but exclude net rent and interest payable which are treated as appropriations out of operating surplus. In general, marketing costs are as shown in the statistical publication Agriculture, Australia (cat. no. 7113.0), and represent the difference between the value at the farm or other place of production and at the wholesale markets. Other costs include taxes on production and imports, fertilisers, fuel, costs associated with inter-farm transfers of livestock and fodder, maintenance and other miscellaneous items.
Reference: Australian National Accounts: Concepts, Sources and Methods. cat. no. 5216.0.
|
| All groups | Highest level of the CPI, containing all the groups, subgroups and expenditure classes.
Reference: Australian Consumer Price Index: Concepts, Sources and Methods. cat. no. 6461.0.
|
| All Ordinaries Index | The All Ordinaries index is Australia's market indicator. The index represents the 500 largest companies listed on the Australian Stock Exchange. Market capitalisation is the only eligibility requirement of constituents, as liquidity is not considered, with the exception of foreign domiciled companies. For more detail see the ASX web site.
Reference: Australian Stock Exchange (ASX).
|
| Alterations and additions to residential buildings | Alterations and additions carried out on existing residential buildings, which may result in the creation of new dwelling units
Reference: Housing Finance, Australia. cat. no. 5609.0, Building Approvals, Australia. cat. no. 8731.0.
|
| APR (Arithmetic mean of price relatives) | Arithmetic mean of price relatives. Refer to Chapter 3 of Australian Consumer Price Index: Concepts, Sources and Methods, 2005. cat. no. 6461.0) for more details.
Reference: Australian Consumer Price Index: Concepts, Sources and Methods. cat. no. 6461.0.
|
| Arm’s length | Balances and transactions between unrelated entities negotiated solely on normal commercial criteria. For example, loans to private non-financial corporations from banks are arm's length borrowings for the purpose of Tables 1 and 17; but loans from members of the same enterprise group are not.
Reference: Australian National Accounts: Financial Accounts. cat. no. 5232.0.
|
| Assets | Assets are entities functioning as stores of value and over which ownership rights are enforced by institutional units, individually or collectively, and from which economic benefits may be derived by their owners by holding them, or using them, over a period of time (the economic benefits consist of primary incomes derived from the use of the asset and the value, including possible holding gains/losses, that could be realised by disposing of the asset or terminating it). See also Financial assets; Non-financial assets.
Reference: Australian National Accounts: Concepts, Sources and Methods. cat. no. 5216.0.
|
| Asset-backed security | A debt security which is backed by specific assets (such as mortgages over real estate) rather than the general credit-worthiness of the issuing entity.
Reference: Australian National Accounts: Financial Accounts. cat. no. 5232.0.
|
| Australian Business Number (ABN) | Australian Business Number (ABN) is an 11 digit number that identifies a business, registered under the A New Tax System (Australian Business Number) Act 1999 in its dealings with the Australian Taxation Office and other government departments and agencies.
Reference: International Merchandise Trade, Australia, Concepts, Sources and Methods. cat. no. 5489.0.
|
| Australian Customs' value | The value for import duty purposes determined by Customs. The primary basis for its establishment is the price actually paid or payable, provided a number of conditions are met. The most important is that the buyer and seller must be independent. If these conditions are not met World Trade Organization (WTO) rules are used to determine the Customs value. It is the prime valuation method used by ABS for disseminating international merchandise import statistics.
Reference: International Merchandise Trade, Australia, Concepts, Sources and Methods. cat. no. 5489.0.
|
| Australian Investment Abroad | Australian Investment Abroad is the sum of: direct investment abroad; portfolio investment assets; financial derivatives assets; other investment assets; and reserve assets.
Reference: International Merchandise Trade, Australia, Concepts, Sources and Methods. cat. no. 5489.0.
|
| Australian resident | For migration statistics, Australian resident is self-defined as reported by travellers when completing an Incoming or Outgoing Passenger Card.
For ERP purposes, a person is regarded as a usual resident if they have been (or are expected to be) residing in Australia for a period of 12 months or more. The estimated resident population numbers therefore include all people, regardless of nationality or citizenship, who usually live in Australia, with the exception of foreign diplomatic personnel and their families. It includes usual residents who are overseas for less than 12 months and excludes overseas residents who are in Australia for less than 12 months.
Reference: Migration, Australia. cat. no. 3412.0.
|
| Auxiliary financial services | Services that are closely related to, and designed to facilitate, financial intermediation but are not financial intermediation.
Reference: Australian System of Government Finance Statistics: Concepts, Sources and Methods. cat. no. 5514.0.55.001.
|
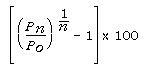
| Average annual growth rate | The average annual growth rate, r, is calculated as a percentage using the formula:

where P0 is the population at the start of the period, Pn is the population at the end of the period and n is the length of the period between P0 and Pn in years.
Reference: Australian Demographic Statistics. cat. no. 3101.0.
|
| Average compensation per employee | Calculated as total compensation of employees divided by the number of wage and salary earners from the monthly Labour Force Survey.
Reference: Australian National Accounts: National Income, Expenditure and Product. cat. no. 5206.0.
|
| Average hours worked | Aggregate hours worked by a group divided by the number of persons in that group.
Reference: Australian Labour Market Statistics. cat. no. 6105.0.
|
| Average weekly earnings | Average weekly earnings represent average gross (before tax) earnings of employees and do not relate to average award rates nor to the earnings of the 'average person'. Estimates of average weekly earnings are derived by dividing estimates of weekly total earnings by estimates of number of employees.
Reference: Average Weekly Earnings. cat. no. 6302.0. |
 |  |