8112.0 - Research and Experimental Development, All Sector Summary, Australia, 2006-07  
ARCHIVED ISSUE Released at 11:30 AM (CANBERRA TIME) 21/10/2008   
   Page tools: Print Print Page Print all pages in this productPrint All

MAIN FEATURES


EXPENDITURE ON R&D

In 2006-07, Gross expenditure on R&D (GERD) was $21.0 billion. This represented an increase of 32% ($5.0 billion) over 2004-05.

GERD, by sector

1996-97
1998-99
2000-01
2002-03
2004-05(a)
2006-07
$m
$m
$m
$m
$m
$m

Business
4 235
4 095
4 983
6 940
r8 676
12 036
Government
Commonwealth
1 267
1 179
1 405
1 531
r1 544
1 893
State/territory
798
864
951
951
r942
1 061
Total
2 064
2 043
2 356
2 482
r2 486
2 954
Higher education
2 308
2 555
2 790
3 430
r4 327
5 404
Private non-profit
186
225
289
360
r479
606
Total
8 792
8 918
10 417
13 212
r15 969
21 000

r revised
(a) 2004-05 data have been revised. See the Revisions section of the Technical Note for details.


Over the ten years to 2006-07, GERD increased at a two-yearly rate of 28%.

Gross expenditure on R&D
Graph: Gross expenditure on R&D



Proportion of Gross Domestic Product (GDP)

GERD represented 2.01% of GDP in 2006-07, up from 1.78% in 2004-05. This was the first time that the ratio of GERD to GDP exceeded 2%.

GERD, as a proportion of GDP(a)
Graph: GERD, as a proportion of GDP(a)


The following table shows the GERD/GDP ratios for selected OECD countries. Australia's GERD/GDP ratio remained below the OECD average of 2.26% for 2006-07.

GERD/GDP RATIOS OF OECD COUNTRIES(a)

2002-03
2003-04
2004-05
2005-06
2006-07
%
%
%
%
%

Sweden
na
3.86
3.62
3.80
3.73
Finland
3.36
3.43
3.45
3.48
3.45
Japan
3.17
3.20
3.17
3.32
3.39
Korea
2.53
2.63
2.85
2.98
3.23
United States of America
2.66
2.66
2.59
2.62
2.62
Germany
2.49
2.52
2.49
2.48
2.53
Austria
2.12
2.23
2.22
2.41
2.45
Denmark
2.51
2.58
2.48
2.45
2.43
France
2.23
2.17
2.15
2.13
2.11
Australia
1.69
na
1.78
na
2.01
Canada
2.04
2.03
2.05
2.01
1.94
Belgium
1.94
1.88
1.87
1.84
1.83
United Kingdom
1.82
1.78
1.71
1.76
1.78
Netherlands
1.72
1.76
1.78
1.74
1.67
Czech Republic
1.20
1.25
1.25
1.41
1.54
Norway
1.66
1.71
1.59
1.52
1.52
Ireland
1.10
1.17
1.24
1.26
1.32
Spain
0.99
1.05
1.06
1.12
1.20
Hungary
1.00
0.93
0.88
0.94
1.00
Portugal
0.76
0.74
0.77
0.81
0.83
Turkey
0.66
0.61
0.67
0.79
0.76
Greece
na
0.57
0.55
0.58
0.57
Poland
0.56
0.54
0.56
0.57
0.56
Slovak Republic
0.57
0.58
0.51
0.51
0.49
New Zealand
na
1.19
na
1.16
na
Iceland
2.97
2.82
na
2.78
na
Mexico
0.44
0.43
0.47
0.50
na
Italy
1.13
1.11
1.10
1.09
na
Total OECD
2.24
2.24
2.21
2.25
2.26

na not available
(a) Ranked by 2006-07 GERD/GDP ratio.
Source: Main Science and Technology Indicators, 2008/1, OECD, Paris 2008



Sector

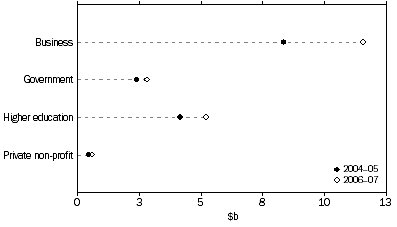
The Business sector expenditure accounted for the largest proportion of GERD in 2006-07 (57% or $12.0 billion) followed by the Higher education sector at 26% ($5.4 billion). These two sectors also recorded the strongest growth in absolute terms between 2004-05 and 2006-07 (up $3.4 billion and $1.1 billion respectively).

GERD, by sector
Graph: GERD, by sector


Percentage growth in GERD from 2004-05 was highest for the Business sector (up 39%) and lowest for the Government sector (up 19%).


Industry

In 2006-07, at the industry level, the largest values of GERD were reported for Education and training (over $5 billion), Professional, scientific and technical services ($4.0 billion) and Manufacturing ($3.8 billion).

Almost all GERD for Education and training and Manufacturing was spent by the Higher education and Business sectors, respectively. In contrast, three of the four sectors made significant contributions to GERD for Professional, scientific and technical services.


Type of expenditure

In 2006-07, Current expenditure accounted for 93% or $19.5 billion of GERD which, in turn, was comprised of $8.2 billion in Labour costs and $11.3 billion in Other current expenditure. Capital expenditure totalled $1.5 billion over the period.

Growth in GERD since 2004-05 was driven by a $4.5 billion increase in Current expenditure (90% of the overall growth), primarily due to the contribution of the Business sector (up $3.1 billion). Total Capital expenditure increased by $0.5 billion.

GERD, by type of expenditure
Graph: GERD, by type of expenditure



Source of funds

The major sources of funds for R&D in 2006-07 were Business ($11.7 billion) and Commonwealth government ($7.0 billion). These two sources also recorded the largest absolute increases from 2004-05 (up $3.3 billion and $1.4 billion respectively). While the Business sector was the primary recipient of Business funding across the sectors (at 96%), the Higher education sector received the most Commonwealth funding for R&D (at 66%).

GERD, by source of funds
Graph: GERD, by source of funds



Location

Locations in New South Wales and Victoria accounted for over half (57%) of GERD in 2006-07 (at $6.2 billion and $5.8 billion respectively). These locations also recorded the highest levels of absolute growth in GERD from 2004-05, with increases of $1.4 billion for Victoria and $1.1 billion for New South Wales. However, Western Australia recorded the largest proportional growth over the period, increasing by 57%.

GERD, by selected location(a)
Graph: GERD, by selected location(a)


In 2006-07, GERD as a proportion of Gross State Product (GSP) was highest for the Australian Capital Territory (over 4%), South Australia (2.38%) and Victoria (2.34%). South Australia reported the largest growth in GERD as a proportion of GSP, increasing from 1.98% in 2004-05 to 2.38% in 2006-07.

GERD, by location - proportion of GSP(a)

NSW
Vic.
Qld
SA
WA
Tas.
NT
ACT
%
%
%
%
%
%
%
%

2004-05
1.72
1.93
1.37
1.98
1.70
1.60
np
4.18
2006-07
1.86
2.34
1.53
2.38
1.94
np
np
np

np not available for publication but included in totals where applicable, unless otherwise indicated
(a) See Explanatory Note 4 for details.



Type of activity

In 2006-07, more than three quarters (78%) of GERD was directed into Applied research and Experimental development (approximately $8 billion each). These two types of activity also recorded the strongest absolute growth from 2004-05, each increasing by $2.0 billion. Pure basic research recorded the lowest absolute growth, increasing by $0.3 billion.

GERD, by type of activity
Graph: GERD, by type of activity



Research field

In 2006-07, Engineering and technology accounted for the largest share of GERD (38% or $8.0 billion), followed by Information, computing and communication sciences (17% or $3.6 billion) and Medical and health sciences (15% or $3.1 billion).

While the Business sector contributed almost 90% to GERD for Engineering and technology and Information, computing and communication sciences, its spending on Medical and health sciences was approximately half that of the Higher education sector.


Socio-economic objective (SEO)

In 2006-07, almost two thirds of GERD was directed into the Economic development SEO ($14.0 billion). The next most prevalent SEOs were Society (19% or $4.0 billion) and Environment (5% or $1.1 billion). Although the distribution of GERD across SEOs was largely unchanged from 2004-05, the proportion of GERD dedicated to Energy resources and Mineral resources SEOs increased by 2 percentage points each from 2004-05, while Manufacturing decreased by 3 percentage points.


HUMAN RESOURCES DEVOTED TO R&D

Human resources devoted to R&D in 2006-07 totalled 125,771 person years of effort (PYE), an increase of 8% (9,577 PYE) from 2004-05.

Human resources devoted to R&D, by sector

1996-97
1998-99
2000-01
2002-03
2004-05(a)
2006-07
PYE
PYE
PYE
PYE
PYE
PYE

Business
26 412
25 109
28 391
35 939
r40 458
46 027
Government
Commonwealth
10 377
9 353
9 565
10 185
r9 368
9 110
State/territory
8 813
9 069
8 587
8 357
r7 320
7 228
Total
19 190
18 422
18 152
18 541
r16 687
16 338
Higher education
42 739
45 502
46 287
49 612
r55 204
58 810
Private non-profit
2 351
2 551
2 791
3 117
r3 845
4 596
Total
90 692
91 583
95 621
107 209
r116 194
125 771

r revised
(a) 2004-05 data have been revised. See the Revisions section of the Technical Note for details.



Sector

The majority of Human resources devoted to R&D in 2006-07 came from the Higher education (47%) and Business (37%) sectors combined. Together these sectors accounted for 96% (or 9,175 PYE) of the total increase in total Human resources devoted to R&D, between 2004-05 and 2006-07. Growth over the period was partly offset by a decrease of 349 PYE for the Government sector.

Human resources devoted to R&D, by sector
Graph: Human resources devoted to R&D, by sector



Industry

Similarly to GERD, the largest amounts of Human resources devoted to R&D were reported for Education and training (over 58,000 PYE), Professional, scientific and technical services (24,153 PYE) and Manufacturing (17,768 PYE).


Type of resource

Researchers accounted for over two thirds (69%) of the total Human resources devoted to R&D in 2006-07, at 87,269 PYE. Technician effort devoted to R&D increased by the largest proportion from 2004-05 (up 16% or 2,879 PYE), followed by Researchers (up 7% or 6,078 PYE). The growth in Technicians was dominated by the Business sector (up 2,704 PYE). The majority of growth (58%) in Researcher effort was attributable to the Higher education sector (up 3,516 PYE), however the Business sector (up 2,076 PYE) also made a notable contribution at 34%.

Human resources devoted to R&D, by type of resource
Graph: Human resources devoted to R&D, by type of resource