3238.0 - Experimental Estimates and Projections, Aboriginal and Torres Strait Islander Australians, 1991 to 2021 Quality Declaration 
ARCHIVED ISSUE Released at 11:30 AM (CANBERRA TIME) 08/09/2009   
   Page tools: Print Print Page Print all pages in this productPrint All  
Contents >> Summary of findings >> States and Territories

STATES AND TERRITORIES

Both Series A and Series B project continuing population growth for all states and territories between 2006 and 2021.

The Indigenous population of Queensland is projected to be the fastest growing of the states and territories, with an average growth rate of between 2.6% and 2.7% per year, followed by Victoria (between 2.4% and 2.5%), the Australian Capital Territory (2.4%) and Tasmania (between 2.3% and 2.4%). These high rates of population growth are in part due to the age structure of the Indigenous population in these states and territories, with relatively large cohorts of Indigenous people moving into peak child-bearing ages throughout the projection period. The assumption of increasing paternity rates also contributes to population growth, as does assumed net interstate migration for Queensland (+382 people per year) and Victoria (+109 people per year).

The Indigenous population of New South Wales is projected to grow at a lower rate, of around 2.1% to 2.2% per year on average. While high levels of natural increase are projected due to the age structure of the Indigenous population, the net migration assumption of -485 people per year for New South Wales has the effect of reducing the rate of population growth.

The Northern Territory is projected to have the lowest average growth rate over the fifteen year period, of between 1.6% and 1.7% per year. This is in part due to the age structure of the Northern Territory population which, unlike many of the other states and territories, is relatively smooth. The absolute size of the Indigenous population in child-bearing age groups (15-49 years) therefore increases relatively consistently throughout the projection period. As a result, projected numbers of births in the Northern Territory do not increase as rapidly as in the other states and territories, and therefore population growth is slower. In addition, the projected Indigenous population in the Northern Territory is largely unaffected by an increasing paternity assumption, as less than 10% of births of Indigenous children in the Northern Territory are born to Indigenous fathers and non-Indigenous mothers.

Similar to the Northern Territory, average annual growth rates for Western Australia (between 1.8% and 1.9%) and South Australia (between 2.0% and 2.1%) are lower than the other states and territories, due in part to the relatively smooth age structures of their Indigenous populations. Assumed net interstate migration for Western Australia (-25 people per year) has a small negative effect on the rate of population growth over the projection period, while net interstate migration for South Australia (+41 people per year) has a small positive effect.

Components of population change for Australia and each state and territory are presented in detail in data cubes attached to this publication on the ABS web site.

Estimated and Projected Indigenous Population, States and territories - 1991-2021

1991
2006
2021 (Series A)
2021 (Series B)
no.
no.
no.
Growth rate (%)(a)
no.
Growth rate (%)(a)

NSW
101 493
152 685
208 341
2.1
210 582
2.2
Vic.
22 625
33 517
47 721
2.4
48 233
2.5
Qld
95 671
144 885
212 908
2.6
215 082
2.7
SA
19 775
28 055
37 987
2.0
38 413
2.1
WA
49 632
70 966
92 587
1.8
93 612
1.9
Tas.
12 462
18 415
26 063
2.3
26 353
2.4
NT
46 431
64 005
81 298
1.6
82 339
1.7
ACT
2 727
4 282
6 101
2.4
6 148
2.4
Aust.(b)
350 985
517 043
713 306
2.2
721 064
2.2

(a) Average annual growth rate for the period 2006 to 2021.
(b) Includes Other Territories.



Changing state/territory share

In both Series A and B, Queensland is projected to overtake New South Wales in 2016 as the state or territory with the largest Indigenous population. Queensland's share of Australia's Indigenous population is projected to increase from 28.0% in 2006 to 29.8% in 2021, while New South Wales is projected to decrease marginally, from 29.5% to 29.2%.

Western Australia's share is projected to decline from 13.7% in 2006 to 13.0% in 2021, while the Northern Territory's share also declines, from 12.4% to 11.4%. The distribution amongst the remaining states and territories is projected to remain largely unchanged.

Projected Distribution of Indigenous Population, States and territories, At 30 June

2006
2021(a)
%
%

NSW
29.5
29.2
Vic.
6.5
6.7
Qld
28.0
29.8
SA
5.4
5.3
WA
13.7
13.0
Tas.
3.6
3.7
NT
12.4
11.4
ACT
0.8
0.9

(a) State/territory distribution is the same in Series A and B.



New South Wales

Population size

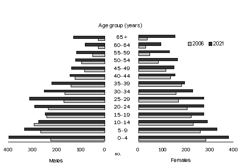
The Indigenous population of New South Wales is estimated to have increased from 101,500 people in 1991 to 152,700 people in 2006, and is projected to increase to between 208,300 and 210,600 people by 2021. This equates to an average growth rate of 2.1% to 2.2% per year between 2006 and 2021.

Age/sex structure

The median age of the Indigenous population of New South Wales was 20.6 years in 2006, and is projected to increase to between 23.4 and 23.6 years by 2021.

Estimated and projected Indigenous population, New South Wales, Series B - at 30 June
Diagram: 6.7 Estimated and projected Indigenous population, New South Wales, Series B—at 30 June


Components of population change

The number of births of Indigenous children in New South Wales is projected to increase from 4,100 in 2007 to between 5,900 and 6,000 in 2021, while the number of deaths of Indigenous people increases from between 650 and 660 in 2007 to between 770 and 1,100 in 2021. By 2021, natural increase reaches between 4,800 and 5,200, up from 3,500 in 2007.

Net interstate migration of Indigenous people is assumed to be -485 persons per year for all years of the projection period.


Victoria

Population size

The Indigenous population of Victoria is estimated to have increased from 22,600 people in 1991 to 33,500 people in 2006, and is projected to increase to between 47,700 and 48,200 people by 2021. This equates to an average growth rate of 2.4% to 2.5% per year between 2006 and 2021.

Age/sex structure

The median age of the Indigenous population of Victoria was 21.2 years in 2006, and is projected to increase to between 24.1 and 24.3 years by 2021.

Estimated and projected Indigenous population, Victoria, Series B - at 30 June
Diagram: 6.8 Estimated and projected Indigenous population, Victoria, Series B—at 30 June


Components of population change

The number of births of Indigenous children in Victoria is projected to increase from 830 in 2007 to 1,300 in 2021, while the number of deaths of Indigenous people increases from 170 in 2007 to between 180 and 260 in 2021. By 2021, natural increase reaches between 1,000 and 1,100, up from 660 in 2007.

Net interstate migration of Indigenous people is assumed to be +109 persons per year for all years of the projection period.


Queensland

Population size

The Indigenous population of Queensland is estimated to have increased from 95,700 people in 1991 to 144,900 people in 2006, and is projected to increase to between 212,900 and 215,100 people by 2021. This equates to an average growth rate of 2.6% to 2.7% per year between 2006 and 2021. The Indigenous population of Queensland is projected to exceed the Indigenous population of New South Wales in 2016.

Age/sex structure

The median age of the Indigenous population of Queensland was 20.4 years in 2006, and is projected to increase to between 23.0 and 23.2 years by 2021.

Estimated and projected Indigenous population, Queensland, Series B - at 30 June
Diagram: 6.9 Estimated and projected Indigenous population, Queensland, Series B—at 30 June


Components of population change

The number of births of Indigenous children in Queensland is projected to increase from 4,000 in 2007 to 6,000 in 2021, while the number of deaths of Indigenous people increases from 650 in 2007 to between 790 and 1,100 in 2021. By 2021, natural increase reaches between 4,900 and 5,200, up from 3,400 in 2007.

Net interstate migration of Indigenous people is assumed to be +382 persons per year for all years of the projection period.


South Australia

Population size

The Indigenous population of South Australia is estimated to have increased from 19,800 people in 1991 to 28,100 people in 2006, and is projected to increase to between 38,000 and 38,400 people by 2021. This equates to an average growth rate of 2.0% to 2.1% per year between 2006 and 2021.

Age/sex structure

The median age of the Indigenous population of South Australia was 21.2 years in 2006, and is projected to increase to between 23.8 and 24.0 years by 2021.

Estimated and projected Indigenous population, South Australia, Series B - at 30 June
Diagram: 6.10 Estimated and projected Indigenous population, South Australia, Series B—at 30 June


Components of population change

The number of births of Indigenous children in South Australia is projected to increase from 690 in 2007 to between 960 and 970 in 2021, while the number of deaths of Indigenous people increases from 180 in 2007 to between 200 and 250 in 2021. By 2021, natural increase reaches between 710 and 770, up from 520 in 2007.

Net interstate migration of Indigenous people is assumed to be +41 persons per year for all years of the projection period.


Western Australia

Population size

The Indigenous population of Western Australia is estimated to have increased from 49,600 people in 1991 to 71,000 people in 2006, and is projected to increase to between 92,600 and 93,600 people by 2021. This equates to an average growth rate of 1.8% to 1.9% per year between 2006 and 2021.

Age/sex structure

The median age of the Indigenous population of Western Australia was 21.6 years in 2006, and is projected to increase to between 25.2 and 25.5 years by 2021.

Estimated and projected Indigenous population, Western Australia, Series B - at 30 June
Diagram: 6.11 Estimated and projected Indigenous population, Western Australia, Series B—at 30 June


Components of population change

The number of births of Indigenous children in Western Australia is projected to increase from 1,700 in 2007 to 2,200 in 2021, while the number of deaths of Indigenous people increases from 430 in 2007 to between 500 and 650 in 2021. By 2021, natural increase reaches between 1,600 and 1,700, up from 1,300 in 2007.

Net interstate migration of Indigenous people is assumed to be -25 persons per year for all years of the projection period.


Tasmania

Population size

The Indigenous population of Tasmania is estimated to have increased from 12,500 people in 1991 to 18,400 people in 2006, and is projected to increase to between 26,100 and 26,400 people by 2021. This equates to an average growth rate of 2.3% to 2.4% per year between 2006 and 2021.

Age/sex structure

The median age of the Indigenous population of Tasmania was 20.6 years in 2006, and is projected to increase to between 24.4 and 24.6 years by 2021.

Estimated and projected Indigenous population, Tasmania, Series B - at 30 June
Diagram: 6.12 Estimated and projected Indigenous population, Tasmania, Series B—at 30 June


Components of population change

The number of births of Indigenous children in Tasmania is projected to increase from 490 in 2007 to 750 in 2021, while the number of deaths of Indigenous people increases from 80 in 2007 to between 100 and 140 in 2021. By 2021, natural increase reaches between 610 and 660, up from 410 in 2007.

Net interstate migration of Indigenous people is assumed to be -14 persons per year for all years of the projection period.


Northern Territory

Population size

The Indigenous population of the Northern Territory is estimated to have increased from 46,400 people in 1991 to 64,000 people in 2006, and is projected to increase to between 81,300 and 82,300 people by 2021. This equates to an average growth rate of 1.6% to 1.7% per year between 2006 and 2021.

Age/sex structure

The median age of the Indigenous population of the Northern Territory was 22.3 years in 2006, and is projected to increase to between 25.5 and 25.8 years by 2021.

Estimated and projected Indigenous population, Northern Territory, Series B - at 30 June
Diagram: 6.13 Estimated and projected Indigenous population, Northern Territory, Series B—at 30 June


Components of population change

The number of births of Indigenous children in the Northern Territory is projected to increase from 1,600 in 2007 to 1,800 in 2021, while the number of deaths of Indigenous people increases from 440 in 2007 to between 500 and 650 in 2021. By 2021, natural increase reaches between 1,100 and 1,300, compared with 1,200 in 2007.

Net interstate migration of Indigenous people is assumed to be -13 persons per year for all years of the projection period.


Australian Capital Territory

Population size

The Indigenous population of the Australian Capital Territory is estimated to have increased from 2,700 people in 1991 to 4,300 people in 2006, and is projected to increase to 6,100 people by 2021. This equates to an average growth rate of 2.4% per year between 2006 and 2021.

Age/sex structure

The median age of the Indigenous population of the Australian Capital Territory was 21.1 years in 2006, and is projected to increase to between 24.6 and 24.8 years by 2021.

Estimated and projected Indigenous population, Australian Capital Territory, Series B - at 30 June
Diagram: 6.14 Estimated and projected Indigenous population, Australian Capital Territory, Series B—at 30 June


Components of population change

The number of births of Indigenous children in the Australian Capital Territory is projected to increase from 110 in 2007 to 160 in 2021, while the number of deaths of Indigenous people remains small (between 10 and 20 deaths). By 2021, natural increase reaches between 130 and 140, up from 100 in 2007.

Net interstate migration of Indigenous people is assumed to be +5 persons per year for all years of the projection period.




Previous Page