Australian CPI, Concepts, Sources and Methods

   Page tools: Print Print Page Print all pages in this productPrint All  
Contents >> 10. Using the CPI

Warning - this online document is now out of date. For the updated online version of this document see: Australian Consumer Price Index: Concepts, Sources and Methods - 2005 . For an acrobat version see Australian Consumer Price Index: Concepts, Sources and Methods (cat. no. 6461.0).


INTRODUCTION

10.1 Three broad uses for the CPI were discussed in Chapter 4. In Chapter 5 it was explained that the Australian CPI, from the 13th series onwards, is intended as a measure of price inflation for the household sector. A measure of price inflation is most appropriate in economic policy analysis, forecasting and budgeting. A price inflation measure may also be appropriate in various indexation type roles.

10.2 This Chapter concentrates on the numerical ‘how to’ type matters. For example it explains the differences between index points and percentage changes, how to determine the major movers in the CPI and how to construct index series from components of the CPI. It provides some practical information on the use of the CPI in contracts and outlines other price indexes produced by the ABS. The final section of the Chapter discusses circumstances in which it may or may not be appropriate to use the CPI or its components.


INTERPRETING INDEX NUMBERS

Index points and percentage changes

10.3 Movements in indexes from one period to any other period can be expressed either as changes in index points or as percentage changes. The following example illustrates these calculations for the All groups CPI (weighted average of the eight capital cities) between the September quarter 1998 and the September quarter 2000. The same procedure is applicable for any two periods.

Index numbers:

September quarter 2000 130.9

less September quarter 1998 121.3

equals change in index points 9.6

Percentage change = 9.6 / 121.3 x 100 = 7.9%

10.4 For most applications, movements in price indexes are best calculated and presented in terms of percentage change. Percentage change allows comparisons in movements that are independent of the level of the index. For example, a change of 2 index points when the index number is 120 is equivalent to a change of 1.7 per cent, but if the index number were 80 a change of 2 index points would be equivalent to a change of 2.5 per cent - a significantly different rate of price change. Only when evaluating change from the base period of the index will the points change be numerically identical to the percentage change.

10.5 The percentage change between any two periods must be calculated, as in the example above, by direct reference to the index numbers for the two periods. Adding the individual quarterly percentage changes will not result in the correct measure of longer-term percentage change. That is, the percentage change between, say, the June quarter one year and the June quarter of the following year will not necessarily equal the sum of the four quarterly percentage changes. The error becomes more noticeable the longer the period covered and the greater the rate of change in the index. This can readily be verified by starting with an index of 100 and increasing it by 10 per cent (multiplying by 1.1) each period. After four periods, the index will equal 146.4 delivering an annual percentage change of 46.4 per cent, not the 40 per cent obtained by adding the four quarterly changes of 10 per cent.

10.6 Although the CPI is compiled and published as a series of quarterly index numbers, its use is not restricted to the measurement of price change between particular quarters. A quarterly index number can be interpreted as representing the average price during the quarter (relative to the base period), index numbers for periods spanning more than one quarter can be calculated as the simple (arithmetic) average of the relevant quarterly indexes. For example, an index number for the year 1998 would be calculated as the arithmetic average of the index numbers for the March, June, September and December quarters of 1998.

10.7 This characteristic of index numbers is particularly useful. It allows for comparison of average prices in one year (calendar or financial) with those in any other year. It also enables prices in, say, the current quarter to be compared with the average prevailing in some prior year.

10.8 The quarterly change in the All groups CPI represents the weighted average price change of all the items included in the CPI. Publication of index numbers and percentage changes for components of the CPI are useful in their own right. However, these data are often not sufficient to enable important contributors to overall price change to be reliably identified. What is required is some measure that encapsulates both an item’s price change and its relative importance in the index.

10.9 If the All groups index number is thought of as being derived as the weighted average of the indexes for all its component items, then the index number for a component multiplied by its weight to the All groups index results in what is called its ‘points contribution’. It follows that the change in a component item’s points contribution from one period to the next provides a direct measure of the contribution to the change in the All groups index resulting from the change in that component’s price.

10.10 Information on points contribution and points contribution change, is of immense value when analysing sources of price change and for answering ‘ what if’ type questions. Consider the following data extracted from the September quarter 2000 CPI publication:

TABLE 10.1: SELECTED VALUES FROM CPI PUBLICATION, SEPTEMBER QUARTER 2000
Index numbers
Percent
change
Points contribution
Points
change
Item
June qtr
Sept. qtr
June qtr
Sept. qtr

All groups
126.2
130.9
3.7
126.2
130.9
4.7
Beer
141.4
148.2
4.8
3.04
3.18
0.14



10.11 Using only the index numbers themselves, the most that can be said is that between the June and September quarters 2000, the price of beer increased by more than the overall CPI (by 4.8 per cent compared with an increase in the All groups of 3.7 per cent). The additional information on points contribution and points change can be used to:
  • Calculate the effective weight for beer in the June and September quarters (given by the points contribution for beer divided by the All groups index). For June, the weight is calculated as 3.04/126.2 x 100 = 2.41 per cent and for September as 3.18/130.9 x 100 = 2.43 per cent. Although the underlying quantities are held fixed, the effective weight in expenditure terms has increased due to the prices of beer increasing by more than the prices of all other items in the CPI basket (on average).
  • Calculate the percentage increase that would have been observed in the CPI if all prices other than those for beer had remained unchanged (given by the points change for beer divided by the All groups index number in the previous period). For September quarter 2000 this is calculated as 0.14/126.2 x 100 = 0.1 per cent. In other words, a 4.8 per cent increase in beer prices in September quarter 2000 would have resulted in an increase in the overall CPI of 0.1 per cent.
  • Calculate the average percentage change in all other items excluding beer (given by subtracting the points contribution for beer from the All groups index in both quarters and then calculating the percentage change between the resulting numbers - which represents the points contribution of the ‘ other’ items). For the above example, the numbers for All groups excluding beer are:
  • June, 126.2 - 3.04 = 123.2; September, 130.9 - 3.18 = 127.7; and the percentage change, (127.7 - 123.2)/123.2 x 100 = 3.7 per cent. In other words, prices of all items other than beer increased by 3.7 per cent on average between the June and September quarters 2000.
  • Estimate the effect on the All groups CPI of a forecast change in the prices of one of the items (given by applying the forecast percentage change to the items points contribution and expressing the result as a percentage of the All groups index number). For example, if prices of beer were forecast to increase by 25 per cent in December quarter 2000, then the points change for beer would be 3.18 x 0.25 = 0.8, which would deliver an increase in the All groups index of 0.8/130.9 x 100 = 0.6 per cent. In other words, a 25 per cent increase in beer prices in December quarter 2000 would have the effect of increasing the CPI by 0.6 per cent. Another way commonly used to express this impact is ‘beer would contribute 0.6 percentage points to the change in the All groups CPI’.

10.12 To ensure consistency in the application of data produced from the CPI, it is necessary for the ABS to adopt a set of consistent rounding conventions or rules for the calculation and presentation of data. The conventions strike a balance between maximising the usefulness of the data for analytical purposes and retaining a sense of the underlying precision of the estimates. These conventions need to be taken into account when using CPI data for analytical or other special purposes.

10.13 Index numbers are always published to a base of 100.0. Index numbers and percentage changes are always published to one decimal place, with the percentage changes being calculated from the rounded index numbers. Points contributions are published to two decimal places, with points contributions change being calculated from the rounded points contributions. Index numbers for periods longer than a single quarter (e.g. for financial years) are calculated as the simple arithmetic average of the relevant rounded quarterly index numbers.

10.14 The following questions and answers illustrate the uses that can be made of the CPI.

10.15 Question: What would $200 in 1990 be worth in September quarter 2000?

10.16 Response: This question is best interpreted as asking ‘How much would need to be spent in September quarter 2000 to purchase what could be purchased in 1990 for $200?’ As no specific commodity is mentioned, what is required is a measure comparing the general level of prices in September quarter 2000 with the general level of prices in the 1990 calendar year. The All groups CPI would be an appropriate choice.

10.17 Because CPI index numbers are not published for calendar years, two steps are required to answer this question. The first is to derive an index for 1990. The second is to multiply the initial dollar amount by the ratio of the index for September quarter 2000 to the index for 1990.

10.18 The index for 1990 is obtained as the simple arithmetic average of the quarterly indexes for March (100.9), June (102.5), September (103.3) and December (106.0) 1990 - giving 103.2 rounded to one decimal place. The index for September quarter 2000 is 130.9.

10.19 The answer is then given by:

10.20 $200 x 130.9/103.2 = $253.68.

10.21 Question: Household Expenditure Survey data shows that average weekly expenditure per household on the purchase of motor vehicles increased from $26.61 in 1993-94 to $42.64 in 1998-99 (i.e. an increase of 60.2 per cent). Does this mean that households, on average, purchased 60.2 per cent more motor vehicles in 1998-99 than they did in 1993-94?

10.22 Response: This is an example of one of the most valuable uses that can be made of price indexes. Often the only viable method of collecting and presenting information about economic activity is in the form of expenditure or income in monetary units (e.g. dollars). While monetary aggregates are useful in their own right, economists and other analysts are frequently concerned with questions related to volumes, for example, whether more goods and services have been produced in one period compared to another period. Comparison of monetary aggregates alone is not sufficient for this purpose as dollar values can change from one period to another due to either changes in quantities or changes in prices (most often a combination).

10.23 To illustrate this, consider a simple example of expenditure on oranges in two periods. The product of the quantity and the price gives the expenditure in any period. Suppose that in the first period 10 oranges were purchased at a price of $1.00 each and in the second period 15 oranges were purchased at a price of $1.50 each. Expenditure in period one would be $10.00 and in period two $22.50. Expenditure has increased by 125 per cent, yet the volume (number of oranges) has only increased by 50 per cent with the difference being accounted for by a price increase of 50 per cent. In this example all the price and quantity data are known, so volumes can be compared directly. Similarly, if prices and expenditures are known, quantities can be derived.

10.24 But what if the actual prices and quantities are not known? If expenditures are known and a price index for oranges is available, the index numbers for the two periods can be used as if they were prices to adjust the expenditure for one period to remove the effect of the price change. If the price index for oranges were equal to 100.0 in the first period, the index for the second period would equal 150.0. Dividing expenditure in the second period by the index number for the second period and multiplying this result by the index number for the first period provides an estimate of the expenditure that would have been observed in the second period had the prices remained as they were in the first period. This can easily be demonstrated by reference to the oranges example:
$22.50/150.0 x 100.0 = $15.00 = 15 x $1.00

10.24 So, without ever knowing the actual volumes (quantities) in the two periods, the adjusted second period expenditure ($15.00), can be compared with the expenditure in the first period ($10.00) to derive a measure of the proportional change in volumes - $15/$10 = 1.50, which equals the ratio obtained directly from the comparison of the known volumes.

10.25 We now return to the question on expenditure on motor vehicles recorded in the HES in 1993-94 and 1998-99. As the HES data relates to the average expenditure of Australian households, the ideal price index would be one that covers the retail prices of motor vehicles for Australia as a whole. The price index that comes closest to meeting this ideal is the index for the Motor vehicles expenditure class of the CPI for the weighted average of the eight capital cities. The Motor vehicles index number for 1993-94 is 113.6 and for 1998-99 it is 105.9. Using these index numbers, recorded expenditure in 1998-99 ($42.64) can be adjusted to 1993-94 prices as follows: $42.64/105.9 x 113.6 =$45.74

10.26 The adjusted 1998-99 expenditure of $45.74 can then be compared to the expenditure recorded in 1993-94 ($26.61) to deliver an estimate of the change in volumes. This indicates a volume increase of 71.9 per cent.

10.27 Question : What would be the impact of a 10 per cent increase in petrol prices on the All groups CPI in the December quarter 2000?

10.28 Response: Two pieces of information are required to answer this question; the All groups index number for September quarter 2000 (130.9), and the September quarter 2000 points contribution for Automotive fuel (5.93).

10.29 An increase in petrol prices of 10 per cent would increase Automotive fuel points contribution by 5.93 x 0.1 = 0.59 index points which would result in an All groups index number of 131.5, an increase of 0.5 per cent.

Constructing special index series

10.30 Although the ABS produces a wide range of indexes from the CPI, there may be occasions when none of those series particularly suit a user’s requirement. In this case the user may wish to construct their own index series based on component indexes of the CPI. For example, suppose a researcher was interested in how petrol prices had moved relative to the price of all other consumer goods and services since 1987. As the All groups CPI includes Automotive fuel, it is not quite the ideal measure for comparison purposes, so the researcher wishes to compile an All groups CPI excluding the automotive fuel index.

10.31 The index can be compiled directly by using index points contributions (see examples above) and then indexing the points contributions to 1989-90=100.0. However, index points contributions are not typically published or available as a historical series, so it is necessary to work with the published index numbers. Also, for CPI components that have a small weight, the use of index numbers can be more precise.

10.32 In constructing a series of this type allowance should be made for the change in weights with each CPI series. Relevant data and weights from the CPI series are shown in table 10.2.

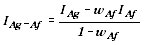
10.33 Now since the CPI is a ‘fixed weight index’,

Equation - price index
where I is index, w is weight (expressed as a proportion) and in the subscripts Ag is All groups, Af is Automotive fuel. Noting the desired index number can be estimated as:

Equation - price index

10.34 When the 11th series CPI was introduced in respect of the December quarter 1986, Automotive fuel had a weight of 4.79 per cent and the All groups CPI was 79.8. Thus the index for All groups excluding Automotive fuel is calculated as 79.3 for that quarter. The fuel weight is held at 4.79 per cent until the June quarter 1992 when the 12th series CPI was introduced. The All groups excluding automotive fuel index is calculated for the June quarter 1992 using both 11th series and 12th series CPI weights. This allows calculation of a link factor given by

Link factor = Index calculated using 11th series weight

Index calculated using 12th series weight

10.35 The link factor is then applied to the index numbers calculated using the 12th series weights. In this case the link factor is 1.0. However, depending on the series being constructed, this may not always be the case.


TABLE 10.2: INDEX VALUES AND WEIGHTS FOR LINKING EXAMPLE
CPI Published Indexes
8 capital cities
Weight
(link quarter)
11th
series
12th
series
13th
series
Link
factor
Composite
index

ALL
GROUPS
Automotive
fuel
Automotive
fuel

Dec 1986
79.8
90.4
4.79
79.3
79.3
Mar 1987
81.4
92.3
80.9
80.9
Jun 1987
82.6
89.6
82.2
82.2
Sep 1987
84.0
89.1
83.7
83.7
Dec 1987
85.5
92.8
85.1
85.1
Mar 1988
87.0
93.3
86.7
86.7
Jun 1988
88.5
87.6
88.5
88.5
Sep 1988
90.2
87.1
90.4
90.4
Dec 1988
92.0
85.0
92.4
92.4
Mar 1989
92.9
85.0
93.3
93.3
Jun 1989
95.2
92.1
95.4
95.4
Sep 1989
97.4
93.5
97.6
97.6
Dec 1989
99.2
97.9
99.3
99.3
Mar 1990
100.9
104.2
100.7
100.7
Jun 1990
102.5
104.3
102.4
102.4
Sep 1990
103.3
109.8
103.0
103.0
Dec 1990
106.0
132.7
104.7
104.7
Mar 1991
105.8
112.2
105.5
105.5
Jun 1991
106.0
106.0
106.0
106.0
Sep 1991
106.6
111.9
106.3
106.3
Dec 1991
107.6
111.5
107.4
107.4
Mar 1992
107.6
110.1
107.5
107.5
Jun 1992
107.3
110.6
4.70
107.1
107.1
1.0000
107.1
Sep 1992
107.4
115.3
107.0
107.0
Dec 1992
107.9
114.7
107.6
107.6
Mar 1993
108.9
110.9
108.8
108.8
Jun 1993
109.3
112.0
109.2
109.2
Sep 1993
109.8
112.2
109.7
109.7
Dec 1993
110.0
113.1
109.8
109.8
Mar 1994
110.4
108.3
110.5
110.5
Jun 1994
111.2
113.5
111.1
111.1
Sep 1994
111.9
114.2
111.8
111.8
Dec 1994
112.8
111.5
112.9
112.9
Mar 1995
114.7
113.7
114.7
114.7
Jun 1995
116.2
115.7
116.2
116.2
Sep 1995
117.6
120.0
117.5
117.5
Dec 1995
118.5
118.3
118.5
118.5
Mar 1996
119.0
117.7
119.1
119.1
Jun 1996
119.8
121.3
119.7
119.7
Sep 1996
120.1
118.8
120.2
120.2
Dec 1996
120.3
122.0
120.2
120.2
Mar 1997
120.5
123.9
120.3
120.3
Jun 1997
120.2
121.9
120.1
120.1
Sep 1997
119.7
120.9
119.6
119.6
Dec 1997
120.0
122.3
119.9
119.9
Mar 1998
120.3
117.0
120.5
120.5
Jun 1998
121.0
118.0
4.04
121.1
121.1
1.0000
121.1
Sep 1998
121.3
115.4
121.5
121.5
Dec 1998
121.9
113.7
122.2
122.2

Note: Base period of all indexes 1989–90 = 100.0.

Handling changes in the reference base

10.36 The pricing reference base is the period of time in which all index numbers in the CPI have a value of 100.0 (with the possible exception of any items that have been newly introduced into the CPI since the pricing reference base period). The pricing reference base of the CPI is changed at infrequent intervals. Since the March quarter 1992 the CPI has used a pricing reference base of 1989-90=100.0. In the June quarter 1982 the reference base was changed from 1966-67=100.0 to 1980-81=100.0. The ABS has produced historical index numbers on the current base, so, normally, there is no need for users to do their own calculations.

10.37 The conversion of an index series from one pricing base to another involves calculating the ratio of the index numbers for the base period from the two series and applying this to the index numbers. For example, consider converting the Clothing group index for Perth from a base of 1980-81=100.0 to 1989-90=100.0 (refer to Table 10.3 for the data). The index number for the group for 1989-90 on a reference base of 1980-81 was 185.6 (rounded to one decimal place). Thus the conversion factor is 0.5388 (100.0/185.6) so that the March quarter 1989 index number on a base of 1989-90=100.0 is 95.4 (177.0×0.5388).

TABLE 10.3 : CONVERTING REFERENCE BASES, PERTH CLOTHING GROUP
Base 1980-81=100.0
Base 1989-90=100.0

Mar 1989
177.0
95.4
Jun 1989
182.7
98.4
Sep 1989
181.5
97.8
Dec 1989
186.4
100.4
Mar 1990
185.8
100.1
Jun 1990
188.6
101.6
1989-90
185.6
100.0
Sep 1990
189.2
101.9
Dec 1990
194.1
104.6
Mar 1991
195.3
105.2
Jun 1991
196.5
105.9
Sep 1991
197.1
106.2
Dec 1991
199.5
107.5
Conversion factor
1980-81 base to 1989-90 base = 100.0/185.6 = 0.5388



10.38 Similar procedures are applied to convert the current index base to a 1980-81 bases. For example, the September quarter 1998 index for the Clothing group for Perth was 105.5 which, when multiplied by the conversion factor of 1.856 (185.6/100.0), gives an index number of 195.8 on the reference base of 1980-81=100.0. It should be noted that a different conversion factor will apply for each index and city, that is, the factor for the Clothing group for Perth will differ from the factor for Automotive fuel for Perth and for the Clothing group for Hobart.

10.39 The process of ‘re-referencing’ (footnote 1) the reference base should not be confused with the practice of rebasing. Re-referencing is simply dividing the index series by the index number for any period that is desired to be the new base - it does not change the relative movements between periods. On the other hand, rebasing involves introducing new weights, putting every component index in the index structure on a base of 100.0 and recalculating the aggregate index for each period. This will affect the relative movements between periods.


PRACTICAL CONSIDERATIONS

Use of the CPI in contracts and formal arrangements

10.40 The CPI All groups index or lower level component indexes are extensively used in contracts. It is important that parties to a contract seeking to include indexation arrangements have a clear understanding of:
  • their objective in indexing the contract
  • the nature of the CPI, particularly as to whether it is the most appropriate index to use.

10.41 Briefly, there may be various objectives in indexing a contract. From the perspective of a service provider or producer (e.g. a landlord), these include the following:
  • to maintain the ‘real’ value of the net income (i.e. to compensate for changes in costs)
  • to maintain the ‘real’ value of the gross income
  • to adjust prices in line with movements in market prices of similar items.

10.42 Users should consider carefully whether the CPI is appropriate for their objective (see Chapter 5). In particular it should be noted that the CPI measures price change for purchases of goods and services by households. For example a freight company considering the use of the Transportation index from the CPI to adjust freight contracts for cost movements should consider how relevant changes in petrol, motor car purchase and public transport fares are likely to be as a measure of the change in their costs. It may be that other indexes produced by the ABS are more appropriate.

10.43 The CPI measures what has happened to prices as a result of the interaction of demand and supply forces where the prices are those paid by all households on average in the respective quarter. Current market conditions may be different to what existed over the previous year (assuming annual indexation). For example, the rent index measures rents paid by all households, not just new lettings. If the rental market has gone from an undersupply to an oversupply situation then the appropriateness of indexing to last year’s rent increase should be carefully considered. Similarly, the regional dimension may be important for some items. For example, if demand/supply balance in the local rental market is substantially different from that in other capital cities, then how appropriate would it be to index rent to the weighted average rent index for the eight capital cities?

Referencing the CPI in contracts

10.44 If it is determined that the 14th series CPI meets the necessary requirements for use in a contract or formal arrangement, then there are several points which should be considered when wording the arrangement:
  • the precise title of the index to be used should be clearly defined. For example, ‘the All groups CPI (weighted average of eight capital cities)’, or ‘the Food group of the CPI (Sydney)’. Ideally the title of the ABS publication from which the index is to be drawn should also be included, such as Consumer Price Index, Australia (cat. no. 6401.0)
  • the reference period from which changes in the CPI (or its components) are to be measured should be clearly specified. For example, for annual changes it might be the rate of change between ‘September quarter 1997 and September quarter 1998’
  • the type of change that will be examined should be spelt out, that is whether it is a change in index numbers, percentages, points contribution to total CPI, etc. Often changes in index points and percentages may coincide, or be very similar, so taking this step will help eliminate any confusion
  • the method for handling any changes in the series that may occur due to reviews of the index structure and coverage should be specified. For example, as a matter of course the ABS conducts CPI reviews approximately every five years. These reviews can result in major changes to the index purpose, structure, and basket composition among other things. Such changes must be taken into account when incorporating the CPI into any formal arrangement.

10.45 The final decision for determining the appropriateness or otherwise of the CPI, or any of its components, for any particular application lies with the end user. While the ABS can provide technical and statistical guidance, it does not provide advice on indexation practices, nor can it tell users which index would best suit any particular use.

The CPI as a series of indexes

10.46 Users of the CPI will note that, although the All groups index extends back to 1948, this is not the case with many of the component indexes. While this may at times create difficulties for users, it is not practical for the ABS to provide historical series for all items in the structure of the current CPI series. Where historical data are not available for a specific index component and there is need for such a series, users may be able to link to (or apply movements from) a higher level component or another component that is expected to have shown a similar price history.

10.47 As detailed in Chapters 3 and 5, the CPI item weights are updated periodically to ensure that they represent recent consumption patterns of the reference population. The ABS holds such reviews at roughly five-yearly intervals, with the timing generally linked to the availability of results from the household expenditure survey (HES).

10.48 In addition, the reviews may consider whether changes should be made to the structure of the CPI to reflect changes in expenditure patterns, the emergence of new goods and services and/or the decline of other goods and services. This may result in new expenditure classes being created in the regimen, the merging of previous expenditure classes or the abolition of some expenditure classes. There may also be changes in the subgroup and group structures of the CPI.

10.49 Whenever there are changes to the CPI structure, as far as practical the new structure is linked to the previous structure to form continuous index series (see Chapter 3).

10.50 However, on some occasions the changes to the structure may be so significant that it is not possible to create links for every regimen item. For example a new expenditure class may have no equivalent in the previous series in terms of the goods and services included in the item or it is not possible to disaggregate a previous series to enable a satisfactory link to be established. In such cases there is no alternative to discontinuing the old index item and introducing the new group index series without any link. Such a new series does not usually extend back very far, so it is necessary to publish figures for such indexes on a different (later) reference base.


OTHER PRICE INDEXES PRODUCED BY ABS

10.51 The CPI is only one type of price index that is available from the ABS. The following is a brief description of the other indexes.

National accounts price indexes

10.52 The Australian national accounts data includes implicit price deflators and chain price indexes. (footnote 2) These indexes are constructed from a wide range of price data, including indexes from the CPI.

10.53 Implicit price deflators are derived by dividing a value by its corresponding volume estimate. These only provide an estimate of ‘pure’ price change between a base year and a later period using the weights of the latter period. These weights will change each period, so a change in an implicit price deflator between any two periods, neither of which is the base period, will reflect changes in both prices and quantities.

10.54 The chain price indexes provide estimates of pure price change. They are annually reweighted chain Laspeyres price indexes. These indexes encompass the whole of the economy. The chain price index most akin to the CPI is the index for household final consumption expenditure (HFCE) The main differences between the chain index for HFCE and the CPI include:
  • The chain index is reweighted annually.
  • HFCE is broader in scope, encompassing all expenditure by all resident households and non-profit institutions serving households. For example HFCE includes estimates of expenditure on financial services and gambling, neither of which is included in the CPI.
  • The national accounts concept and measurement of HFCE differs from the CPI. For example, the HFCE imputes rental payments for owner occupiers.

Producer price indexes

10.55 The ABS publishes a range of producer price indexes for the supply of commodities to the Australian economy for industry sectors and in a ‘stage of production’ framework. (footnote 3) Producer price indexes conventionally relate to the output of domestic industries, at basic prices, (footnote 4) either inclusive or exclusive of exports. The indexes are available by commodity group (including major services) with splits for domestically produced and imported commodities, and consumer and capital goods.

10.56 Three stages of production are identified, ‘Preliminary’, ‘ Intermediate’ and ‘Final’. The Final (Stage 3) consumer index is closest to the CPI, but there are major differences:
  • the pricing basis for the Final (Stage 3) consumer index is basic prices which means it excludes taxes on products, such as the GST, and any transport and trade margins
  • currently the Final (Stage 3) consumer index mainly measures changes in the prices of goods with limited coverage of the service industries and the construction industry
  • the weights for the Final (Stage 3) consumer index are based on the 1996-97 Input-Output tables.


USING THE 14th SERIES CPI

10.57 In determining uses for the CPI, close examination of the principal purpose, conceptual approach, basket and population coverage is the starting point. Knowledge of its construction methodology is also valuable in providing insights into its relevance to the purpose at hand. This manual provides details of each of these aspects in Chapters 3, 4, 5 and 7.

10.58 To begin with, the principal purpose of the CPI forms the basis on which the index is developed. This purpose should broadly bear some similarity with the use being considered. In the Australian CPI, where measuring price inflation is the principal purpose, users who require cost of living or purchasing power type measures should be extremely careful in adopting the index. These purposes may best be met through the use of carefully selected components of the CPI, special series developed by the ABS from low level price data, or the use of other price indexes such as the producer price index (PPI) series.

10.59 The conceptual approach behind the index may be incompatible with the use being contemplated. To meet the principal purpose outlined earlier, the Australian CPI is constructed on an acquisitions basis, and as such, will only include those items that are acquired by the reference population in the base period. All other types of payments and purchases that do not involve the consumers’ acquisition of a good or service are excluded from the basket. This includes a portion of the interest charges incurred through any credit arrangements, any payments made on goods or services acquired in earlier periods, and the effects of certain subsidies and taxes.

10.60 The item and population coverage of the CPI, which is determined largely by the principal purpose and conceptual approach, are equally important to the use of the index in several respects. The population coverage defines a subset of the population to which the CPI directly relates. The consumption pattern of this population helps to provide the index with its item coverage (basket), and the relative importance (weights) of items within this basket. Should the use to which the CPI is being put entail a different population coverage, then the user must make the bold assumption that both groups have very similar consumption patterns and price experiences.

10.61 For example, using the All groups Australian CPI in applications relating to the age pensioner sub-population implicitly assumes that age pensioners make roughly the same types of purchases, and in the same proportions, as all Australian consumer households on average. Furthermore, there is the assumption that the price changes that age pensioners face are the same as those experienced by all other households, on average. Both these assumptions can be seen to be somewhat tenuous.

10.62 The ABS produces a set of annual price indexes, on an outlays basis, for four population subgroups to minimise the impact of these assumptions to the extent possible. These indexes are published annually in Australian Economic Indicators (cat. no. 1350.0). The four population subgroups for which the indexes are produced are:
  • employees
  • age pensioners
  • self-funded retirees
  • other government transfer payment recipients.

To whom does the CPI relate?

10.63 The Australian CPI is designed to measure changes in retail prices experienced by all metropolitan private households in aggregate. The CPI basket and its weights relate to this population as a whole. The index becomes much less representative at successively lower levels of aggregation of this population. Ultimately, the composition and weighting pattern of the basket will not coincide with that of any individual household in Australia. There are several reasons for this.

10.64 First, the basket represents the average expenditure of all households, rather than the expenditure of the average household. Individual households may have significantly higher or lower expenditure on particular items than the average would suggest.

10.65 Second, the CPI does not measure changes in living costs that may be experienced by individual households as a direct consequence of their progression through the life cycle. For example, younger households may incur a higher proportion of their expenditure on housing and child care, while those households in the older age groups may incur increasing expenditure on medical services. However, changes in the demographic make-up of households does affect the pattern of total household expenditure recorded in the HES and is thus incorporated in the CPI weights during reviews.

10.66 Third, the CPI basket includes items that are mutually exclusive for individual households. For example, both the rent payments of renter households, and the amounts paid by owner-occupier households for purchasing their principal residence are in the basket. No single household will incur both these expenses on their principal residence at the same time.

10.67 Last, although the Australian CPI coverage is extremely broad, it excludes certain households, such as hotels, university residences, and jails, due to the significant differences in their consumption patterns. Individuals in such households may find that the CPI is unrepresentative of their price experiences.

Footnotes

1. For an example see Allen (1974), p. 27–30. < Back

2. For further information, refer to Chapter 10 of Australian System of National Accounts: Concepts, Sources and Methods 2000 (cat. no. 5216.0) and Information Paper: Introduction of Chain Volume Measures in the Australian National Accounts (cat. no. 5248.0). < Back

3. Refer Producer Price Indexes, Australia (cat. no. 6427.0). < Back

4. The basic price is the amount received by the producer before the imposition of indirect taxes (less subsidies) on products and transport and trade margins; that is, the ex-plant price. < Back



Previous PageNext Page