6342.0.80.002 - Flexible Working Arrangements in Queensland, Oct 2010 Quality Declaration 
ARCHIVED ISSUE Released at 11:30 AM (CANBERRA TIME) 06/07/2011   
   Page tools: Print Print Page Print all pages in this productPrint All

WORK PREFERENCES


INTRODUCTION

Why the information was collected

Data on work preferences was collected in the survey to help inform government policy on workplace practices that may increase employee participation and productivity and help decrease skill shortages.


What information was collected?

The survey collected data on whether people would have preferred to work more hours than they usually worked and, if not, whether they would have preferred to work fewer hours than they usually worked.

Where respondents wanted to change their hours of work, information was collected on the main reason, and all reasons, for wanting to work more or fewer hours. Information was also collected about why those who wanted to did not work more or fewer hours.


Who was asked?

The survey asked questions on work preferences of respondents in the employed population excluding owner managers as shown in Diagram 1: The Distribution of the Survey Population by Labour Force Status: Queensland, 2010, in the main features section.


Where to find the information

Information is presented below on work preferences by age, sex, part-time/full-time employment type, marital status, household/family type, sector of employment, industry and occupation. For those people who reported preferring more or fewer hours of work, a brief analysis is provided as to the reasons why they had this preference and the reasons why they had not changed their hours of work.

The underlying data, percentages and RSEs for the information presented in this publication can be found in the accompanying data cubes.


KEY FINDINGS

Work preferences and age

People aged 15-24 years were the group which had the highest proportion who would have preferred to work more hours than they usually did (23%). This was also the group with the lowest proportion of people who would have preferred to work fewer hours (9%). Those aged 55-64 years reported the highest proportion of people who would have preferred to work fewer hours (33%). Those aged 65 years and over had the highest proportion of people who would have preferred the same hours of work (78%).


Work preferences and sex

There were no differences in work preferences between the sexes. The proportions of people who would have preferred to have worked the same hours of work (57%), more hours of work (25%) and fewer hours of work (14%) were the same for both males and females.


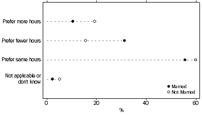
Work preferences and marital status

A higher proportion of people who were not married would have preferred to work more hours (19%) compared with people who were married (11%). Conversely, a higher proportion of people who were married indicated they would have preferred to work fewer hours (31%) compared with people who were not married (16%).

WORK PREFERENCES, By marital status - Queensland - 2010
Graph: WORK PREFERENCES, By marital status—Queensland—2010



Work preferences and household/family type

The household/family type with the highest proportion of people who would have preferred to work more hours was one parent families with dependent children and/or dependent students (26%).

The household/family types with the highest proportions of people who would have preferred to work fewer hours were couple families with no children (32%), couple families with dependent children and/or dependent students (26%) and people living in lone person households (26%).

Families with a single adult i.e. one parent families and lone person households, had consistently higher proportions of people who would have preferred to work more hours when compared to couple families with the same profile of children in the household.


Work preferences and full-time/part-time employment type

A higher proportion of part-time workers would have preferred to work more hours (26%) than full-time workers (9%).


Work preferences and sector of employment

A higher proportion of people in the government sector would have preferred to work fewer hours (31%) than the proportion of people in the private sector (23%). Conversely, a higher proportion of people in the private sector (16%) would have preferred more hours of work than people in the government sector (8%).

PROPORTION OF PEOPLE WHO WOULD PREFER MORE, FEWER OR SAME HOURS OF WORK, By sector - Queensland - 2010
Graph: PROPORTION OF PEOPLE WHO WOULD PREFER MORE, FEWER OR SAME HOURS OF WORK, By sector—Queensland—2010



Work preferences and industry

Analysis of work preferences by industry showed that the accommodation and food services industry had the highest proportion of workers who would have preferred more hours of work (26%).

The industry with the highest proportion of workers who would have preferred fewer hours of work was financial and insurance services (41%). The accommodation and food services industry, as well as having the highest proportion of people who would have preferred more hours of work, also had the lowest proportion of people who would have preferred fewer hours of work (11%).


Work preference and occupation

Comparison of work preferences by occupation shows that labourers had the highest proportion of people who would have preferred more hours of work (27%) followed by sales workers (21%). The occupations with the lowest proportion of people who would have preferred more hours of work were professionals (6%) and managers (4%).

The occupation with the highest proportion of people who would have preferred fewer hours of work was professionals (34%) while the occupation with the lowest proportion of people who would have preferred fewer hours of work was labourers (13%).


Work preferences and flexible working arrangements

The proportion of people who would have preferred more hours of work was higher among people who had not used flexible working arrangements in the last 12 months (19%) when compared with people who had used flexible working arrangements (11%). These differences, again, may in part be due to the employment status of people working full-time versus part-time. As already discussed, a higher proportion of part-time workers used no flexible working arrangements during the previous year.


Reasons for people to prefer more hours of work

Financial reasons were by far the most frequently reported reason for those who wanted to work more hours. Of all people who would have preferred more hours of work, 94% chose financial reasons as one of the reasons behind this preference, and 90% of people chose this as their main reason.

The next most popular reason for preferring more hours of work was to further their career, with 12% of people choosing this as one of the reasons for their preference and 5% choosing it as their main reason. Career reasons were slightly more important among women. 13% of women chose this as one of the reasons for their preference compared to 11% of males, and 5% of women chose it as the main reason, compared to 4% of males.


Reasons people did not work more hours

The main reasons that people who wanted to work more hours gave for not actually doing so were employment reasons (81%), personal reasons (12%) and family reasons (7%). A higher proportion of males chose employment reasons (85%) than females (75%) and a higher proportion of females chose family reasons (10%) than males (3%).

In this question, employment reasons included the absence of other job opportunities or vacancies, the conditions applicable to the current job and the employer reducing an employee's working hours. Personal reasons included undertaking study and the respondents own health. Family reasons included caring for children and/or an ill/disabled/elderly person, the inability to find suitable childcare, pregnancy and home duties.


Reasons for people to prefer fewer hours of work

Personal reasons were the most frequently reported explanation behind a preference for fewer hours of work. Of all people who would have preferred fewer hours of work, 70% chose personal reasons as one of the reasons behind this preference, and 61% chose this as the main reason for their preference. The next most frequently reported reason for a preference for fewer hours of work was family reasons. Of all people who preferred fewer hours of work, 33% chose this as one of the reasons for their preference and 26% chose it as the main reason.

In this question, employment reasons included the fact that the current job regularly involved long hours and a desire to work less unpaid overtime. Family reasons included caring for children and/or an ill/disabled/elderly person, the inability to find suitable childcare, pregnancy and home duties.


Reasons people did not work fewer hours

The most frequently reported reason cited for not working fewer hours among those who stated they would have preferred fewer hours was 'Can't afford reduction in pay'. Of all people who would have preferred fewer hours of work, 49% chose this as one of their reasons for not working fewer hours. The proportion of females who selected this as a reason (53%) was higher than the proportion of males (46%). The next most frequently reported reasons for not working fewer hours were 'Too much work' (32%) and 'Current employer doesn't allow it' (23%).