3301.0 - Births, Australia, 2010 Quality Declaration 
ARCHIVED ISSUE Released at 11:30 AM (CANBERRA TIME) 25/10/2011   
   Page tools: Print Print Page Print all pages in this productPrint All  
Contents >> Summary of findings >> States and territories

STATES AND TERRITORIES

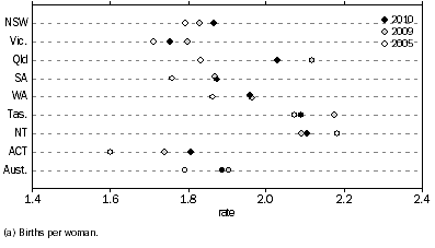
Total fertility rate

Total fertility rates varied substantially between the states and territories in 2010, ranging from 1.75 babies per woman in Victoria to 2.11 babies per woman in the Northern Territory. In 2010, New South Wales, South Australia, the Northern Territory and the Australian Capital Territory recorded an increase in TFR from 2009, with Victoria, Queensland, Western Australia and Tasmania recording decreases in TFR. All states and territories except the Northern Territory have recorded an overall increase in the TFR since 2005.

2.10 Total fertility rate(a), States and territories
Graph: 2.10 Total fertility rate(a), States and territories


Queensland's TFR increased from 1.83 babies per woman in 2005 to 2.12 babies per woman in 2009 before decreasing to 2.03 babies per woman in 2010. Since 2007, Queensland's TFRs based on year of registration (as published in this publication) were higher than those based on year of occurrence of the birth, as shown in table 2.11 and graph 2.12. This indicates a possible overestimation of fertility rates in recent years due to registration of births that occurred in earlier years. Therefore, caution should be exercised when interpreting recent changes in Queensland's TFR (see paragraphs 29 and 30 of the Explanatory Notes and Chapter 4: Effect of delayed birth registrations in Australia in the 2009 issue of Births, Australia (cat. no. 3301.0) for more information).

2.11 Total fertility rate(a), Year of registration and year of occurrence, Queensland - 2000 to 2010

Year of registration
Year of occurrence(b)
rate
rate

2000
1.791
1.837
2001
1.795
1.836
2002
1.782
1.787
2003
1.770
1.799
2004
1.801
1.793
2005
1.832
1.917
2006
1.833
1.906
2007
2.079
1.982
2008
2.084
1.985
2009
2.118
1.937
2010
2.029
na

na not available
(a) Births per woman.
(b) Registered in 2010 or earlier.

2.12 Total fertility rate(a), Year of registration and year of occurrence, Queensland - 2000 to 2010
Graph: 2.12 Total fertility rate(a), Year of registration and year of occurrence, Queensland—2000 to 2010



Age-specific fertility rates

In 2010, fertility rates were highest for women aged 30-34 years in all states and territories with the exception of Tasmania and the Northern Territory, where women aged 25-29 years recorded the highest fertility rate. Between 2009 and 2010, most states recorded decreases in fertility rates for women aged 30-34 years, while New South Wales, South Australia and the Australian Capital Territory all recorded small increases. Of all the age-specific fertility rates for the states and territories, the Northern Territory recorded the largest increase with women aged 25-29 years having 105 babies per 1,000 women (up from 96 babies per 1,000 women in 2009), while Queensland recorded the largest decrease with women aged 25-29 years having 111 babies per 1,000 women (down from 119 babies per 1,000 women in 2009).


Teenage fertility rates

At the national level, the teenage fertility rate in 2010 was 16 babies per 1,000 women aged 15-19 years, however, the rate differs amongst the states and territories. In 2010, Victoria and the Australian Capital Territory recorded the lowest teenage fertility rates in Australia (both 9 babies per 1,000 women), while the Northern Territory recorded the highest (48 babies per 1,000 women).

2.13 Teenage fertility rates(a), States and territories
Graph: 2.13 Teenage fertility rates(a), States and territories


The majority of births to teenage mothers in Australia in 2010 were to women aged 18 and 19 years (28% and 44% respectively), which is reflected in the fertility rates for women at these ages. In 2010, the fertility rates for women aged 18 and 19 years were 21 babies per 1,000 women and 33 babies per 1,000 women respectively. In comparison, only 4% of births to teenage mothers were to women aged 15 years or younger, resulting in a fertility rate of 3 babies per 1,000 women aged 15 years.


Births

The three most populous states accounted for over three-quarters (78%) of births registered in Australia in 2010: 95,900 in New South Wales (32%), 70,600 in Victoria (24%) and 64,500 in Queensland (22%). These proportions reflect the proportions of the Australian female population in reproductive ages living in these states.

Between 2009 and 2010, most states and territories recorded increases in registered births (table 2.14), except for Victoria, Queensland and Tasmania.

Caution should be exercised when comparing year-to-year changes in state and territory data as changes in Registry processing systems may impact on these data (see paragraphs 10 to 12 and 26 to 30 of the Explanatory Notes for more information).

2.14 Births Registered, States and territories - 2009 and 2010

Change
2009
2010
2009-2010
2009-2010
no.
no.
no.
%

New South Wales
92 783
95 918
3 135
3.4
Victoria
70 920
70 568
-352
-0.5
Queensland
66 097
64 467
-1 630
-2.5
South Australia
19 734
20 076
342
1.7
Western Australia
30 878
31 424
546
1.8
Tasmania
6 626
6 385
-241
-3.6
Northern Territory
3 819
3 899
80
2.1
Australian Capital Territory
4 858
5 149
291
6.0
Australia(a)
295 738
297 903
2 165
0.7

(a) Includes Other Territories.



Median age of parents at confinement

Of the states and territories, Victoria and the Australian Capital Territory recorded the oldest median ages of mother (31.6 years and 31.5 years respectively). The Northern Territory had the youngest mothers, with a median age of 28.5 years, followed by Tasmania (29.2 years). The median age of all mothers who registered a birth in Australia in 2010 was 30.7 years.

The Northern Territory and Tasmania also had the youngest fathers in 2010, with median ages of 31.5 and 31.7 years respectively. Victoria and the Australian Capital Territory had the oldest fathers, both with a median age of 33.7 years. For Australia, the median age of all fathers in 2010 (where age is known) was 33.1 years.


Nuptiality

In 2010, Victoria and the Australian Capital Territory both recorded the highest proportion of births to parents in a registered marriage (both 73%), followed by New South Wales (71%).

The highest proportions of ex-nuptial births were recorded in the Northern Territory (60%) and Tasmania (49%), however, the number of ex-nuptial births in Tasmania may be understated (see paragraphs 31 to 33 of the Explanatory Notes for more information). The Northern Territory also recorded the highest proportion of births where paternity was not acknowledged (16%), followed by Queensland (5%).







Previous PageNext Page