3412.0 - Migration, Australia, 2009-10 Quality Declaration 
ARCHIVED ISSUE Released at 11:30 AM (CANBERRA TIME) 16/06/2011   
   Page tools: Print Print Page Print all pages in this productPrint All  
Contents >> Net Overseas Migration >> The Travellers' Characteristics Database

THE TRAVELLERS' CHARACTERISTICS DATABASE

With the introduction of '12/16 month rule' methodology for estimating NOM, the ABS also developed an analytical data set called the Travellers' Characteristics Database. These improvements allow the derivation of an individual's actual true travel behaviour (using final NOM data) and record certain characteristics for any traveller who has contributed to NOM whether they are a NOM arrival or a NOM departure. The database provides for additional analysis on final NOM data that was not previously available. The following analysis on visas, temporary migration and main reason for journey has used data extracted from the Travellers' Characteristics Database. All data from the Travellers' Characteristics Database is based on the '12/16 month rule' methodology. For additional information and the list of variables available, see paragraph 65 of the Explanatory Notes.

Factors that should be taken into account when analysing data from the Travellers' Characteristics Database include the impact of global and regional events, legislative changes in Australia and abroad, and economic activity, all of which can change traveller behaviour.


NOM by Major groupings and Visa

The Australian Department of Immigration and Citizenship (DIAC) manages and grants visas each year in accordance with relevant legislation, government planning and policy. In recent years, the number of temporary visas being granted by DIAC has increased substantially. For example, from 2002-03 to 2008-09 the number of student visas being granted increased by 108%. The number of working holiday visas granted increased by 111% over the same period. However, the number of business long-stay (subclass 457) visas granted increased 175% from 2002-03 to 2008-09 (figure 3.12)(footnote 1) .

3.12 Temporary visas granted in recent years
Graph: 3.12 Temporary visas granted in recent years


It is important to note that there is a difference between when and how many visas are granted by DIAC; and when and how they may impact on NOM and therefore Australia's estimated resident population (ERP). For example, for many visas there can be a lag between a visa being granted and the actual use of that visa by the applicant on entering Australia. Also, some travellers who have been granted permanent or long-term temporary visas may end up staying in Australia for a short period of stay or not at all and therefore will not have contributed to NOM as they do not meet the '12/16 month rule' (see Glossary). In addition, travellers may also apply for, and be granted, a different visa whilst in Australia or overseas. However, without an additional border crossing within the reference quarter to capture a traveller's change of visa, the NOM system is unable to incorporate these occurrences. For example, a traveller who has already arrived in Australia on one type of visa (and recorded in the NOM system) may subsequently apply for, and be granted, a different visa by DIAC whilst onshore, which is not recorded in the NOM system until they leave Australia's shores for 12 months or more over a 16 month reference period (i.e. become a NOM departure).

Figures 3.13 to 3.15 show NOM arrivals, NOM departures and NOM by major visa and non-visa groupings based on the '12/16 month rule' methodology. The four major groupings (temporary visa holders; permanent visa holders; New Zealand citizens; and Australian citizens) are all major overseas flows into, and out of, Australia and impact strongly on Australia's NOM estimates and therefore the official population estimates. Australian citizens do not require a visa to enter or exit Australia. Likewise, New Zealand citizens are not required to apply for a visa before arrival in Australia but are issued with a specific New Zealand citizen visa at the Australian border. Other visas that have a smaller impact on NOM estimates not identified in the following graphs include residents returning (i.e. non Australian citizens who are permanent residents), onshore visas and visa unknown.

The impact of the major groups on NOM estimates can be better explained by first comparing NOM arrivals to NOM departures (figures 3.13-3.14). For the five years from 2004-05 to 2008-09 (i.e. all final NOM data currently available from the Travellers' Characteristics Database), temporary visa holders arriving in Australia increased 97% from 141,500 to 279,200 persons respectively. In comparison, temporary visa holders departing only increased by 51% or 59,500 to 90,000 persons respectively. This resulted in an increase of the net number of temporary visa holders contributing to NOM of 130%, from a net of 82,000 persons in 2004-05 to a net of 189,200 persons in 2008-09.

3.13 NOM ARRIVALS(a), Major groupings(b) - Australia
Graph: 3.13 NOM ARRIVALS(a), Major groupings(b)—Australia


For the same years (2004-05 to 2008-09), arrivals for those holding a permanent visa increased 22% from 75,600 to 92,400 persons. Interestingly, there was a small proportion (6%) of permanent visa holders in 2008-09 who became NOM departures as they had left Australia. In 2004-05, 4,400 persons with a permanent visa had left Australia which had increased to 5,300 persons in 2008-09. In total, this resulted in an increase of the net number of permanent visa holders contributing to NOM of 22%, from a net of 71,100 persons in 2004-05 to a net of 87,100 persons in 2008-09.

Over the same five year period, New Zealand citizen arrivals contributing to NOM increased 25% from 38,000 persons in 2004-05 to 47,600 in 2008-09, whereas New Zealand citizen departures remained stable, with only a slight decline from 17,400 to 17,300 persons respectively. This resulted in an increase of the net number of New Zealanders contributing to NOM of 46%, from a net of 20,600 persons in 2004-05 to a net of 30,200 persons in 2008-09.

3.14 NOM DEPARTURES(a), Major groupings(b) - Australia
Graph: 3.14 NOM DEPARTURES(a), Major groupings(b)—Australia


Australian citizen arrivals contributing to NOM increased by 16% from 69,300 persons to 80,600 persons respectively, whereas Australian citizen departures decreased by 8% from 90,800 departures in 2004-05 to 83,100 Australian citizens leaving in 2008-09. This resulted in Australian citizens contributing negatively to NOM, from a net of -21,400 persons in 2004-05 to a net of -2,500 persons in 2008-09. Generally, Australian citizens have a net negative contribution to NOM figures as more Australians depart from the country each year than return.

Up until 2008-09, Australian citizen arrivals and departures contributing to NOM had changed little. From 2007-08 to 2008-09, Australian citizens who returned to Australia and contributed to NOM arrivals increased by 4,600 persons (6%). Also in the same period, the number of Australian citizens who left the country, thus contributing to NOM departures dropped by 13,100 persons (14%). The combined effect of an increase in arrivals and decrease in departures for Australian citizens during 2008-09 showed the net loss to the population drop from -20,300 persons in 2007-08 to -2,500 persons in 2008-09.

Over the five years from 2004-05 to 2008-09, the majority of growth in NOM has been the result of temporary visa holders increasing by 130%. During this same period, the net number of permanent visa holders contributing to NOM increased by 22% whereas the net number of New Zealand citizens increased by 46%. On the other hand, the net number of Australian citizens who contribute negatively to NOM showed a decrease of 88% with most of the decrease occurring in 2008-09.

3.15 NOM(a), Major groupings(b) - Australia
Graph: 3.15 NOM(a), Major groupings(b)—Australia


Proportionately in 2008-09, temporary visa holders contributed by far the most to NOM with 63% of the total NOM figure for the year. At a distant second were permanent arrivals at 29%. New Zealand citizens contributed 10% to NOM whereas Australian citizens, with a negative input to NOM figures, contributed close to -1% to NOM in 2008-09.


NOM by Major groupings and Visa - 2008-09

Table 3.16 shows a further breakdown of the types of visas groups which have contributed to NOM in 2008-09. It provides an insight into the main groups which contributed to the recent changes experienced in Australia's NOM figures.

3.16 NOM, by major groupings and visa(a) - Australia - 2008-09

NOM arrival
NOM departure
NOM
Major groupings and visa
no.
%
no.
%
no.
%

Temporary visas
279 166
53.7
89 950
40.9
189 216
63.1
Vocational education and training sector
53 568
10.3
5 555
2.5
48 013
16.0
Higher education sector
72 081
13.9
18 120
8.2
53 961
18.0
Student other
27 937
5.4
7 548
3.4
20 389
6.8
Business long-stay (subclass 457)
44 018
8.5
13 559
6.2
30 459
10.2
Visitor(b)
42 399
8.2
20 844
9.5
21 555
7.2
Working holiday
34 296
6.6
10 477
4.8
23 819
7.9
Other temporary visas
4 867
0.9
13 847
6.3
-8 980
-3.0
Permanent visas
92 390
17.8
5 284
2.4
87 106
29.0
Family
34 139
6.6
2 207
1.0
31 932
10.6
Skill
46 654
9.0
3 036
1.4
43 618
14.5
Special eligibility and humanitarian
11 597
2.2
41
-
11 556
3.9
New Zealand citizen
47 554
9.1
17 338
7.9
30 216
10.1
Australian citizen
80 596
15.5
83 132
37.8
-2 536
-0.8
Other(c)
20 079
3.9
24 217
11.0
-4 138
-1.4
Total
519 785
100.0
219 921
100.0
299 864
100.0

- nil or rounded to zero (including null cells)
(a) The visa category information in this table represents the number of visas based on the visa type at the time of a traveller's specific movement. It is this specific movement that has been used to calculate NOM. Therefore, the number of visas in this table should not be confused with information on the number of visas granted by DIAC.
(b) Visitor visas include tourists, business visitors, medical treatment and other.
(c) Includes residents returning (i.e. non Australian citizens who are permanent residents), onshore visas and visa unknown.


Temporary Visas - 2008-09

In 2008-09, the number of temporary visa holders arriving in Australia was 279,200 persons, representing 54% of all NOM arrivals. The number of temporary visa holders departing was 90,000 persons, representing 41% of all NOM departures for the year. This resulted in a net of 189,200 temporary visa holders contributing to NOM, or 63% of NOM in 2008-09. Four years earlier in 2004-05 (also based on the '12/16 month rule' methodology), temporary visa holders accounted for 58% of the total NOM figure for that year.

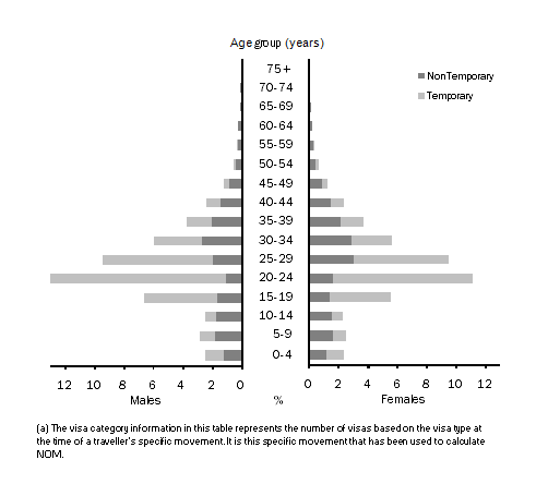
When examining the population structure of NOM by age and sex in 2008-09 (figure 3.17), temporary visa holders in the early working age group (15-34 years) contributed by far the most to NOM. With temporary visa holders contributing 63% of the total NOM figure for the year, those temporary visa holders aged 15-34 years contributed 51% of the total NOM figure. The remaining 15-34 year olds (non temporary visa holders) only contributed 17%. Temporary visa holders aged 35 years and over comprised 6% of NOM whereas non temporary visa holders for the same age group comprised 11%. Similarly for those aged 0-14 years, temporary visa holders and non temporary visa holders comprised 6% and 9% respectively of the total NOM figure for 2008-09.

3.17 NOM Population Structures by temporary and non temporary visas(a), Age and Sex - 2008-09
Diagram: 3.17 NOM Population Structures by temporary and non temporary visas(a), Age and Sex—2008–09


International Student visas - 2008-09

In 2008-09, international students made up the largest group of temporary visa holders arriving, with 153,600 student arrivals representing 30% of all NOM arrivals. The number of international students departing was 31,200 persons representing 14% of all NOM departures. This resulted in a net of 122,400 students contributing to NOM, or 41% of NOM in 2008-09. Within this group of students, those travelling on higher education visas were the largest group, contributing to NOM for the year with a net 54,000 students representing 18% of the total NOM figure. The vocational education and training sector represented 16% (a net 48,000 students) whereas all other student visas accounted for 7% (a net 20,400 students) of the total NOM figure for 2008-09. The number of student visas granted by DIAC has increased strongly over recent years from 171,600 in 2003-04(footnote 2) to 278,200 in 2007-08(footnote 3) .

The large difference between NOM arrivals and NOM departures for international students as seen in 2008-09 (table 3.16), is, in part, the result of the time lag effect of a student's course duration. For example, a student arriving today will not necessarily become a NOM departure until the end of their course in two, three or four years' time.

However, the difference can also be due to a change of a student's circumstances at the end of their study time. For example, after completing their studies a student may apply for an onshore permanent residence visa or another visa such as a bridging or a temporary business long-stay (subclass 457) visa. Therefore, some students may change their visa and residency status whilst onshore. In these instances, the original student visa recorded as a NOM arrival has now changed to a new visa or residency status and therefore will not be recorded as the corresponding student visa with a NOM departure for this particular traveller. A NOM departure will not be recorded until they have left Australia and have remained away for 12 months or more in the 16 month reference period. It is only at this stage that the NOM system will record the change of visa by a traveller either to an onshore or other type of visa.

Care should therefore be taken with student visas when analysing the net figure (i.e. NOM) on its own, as should all other temporary visas such as business long-stay (subclass 457), working holiday makers and other long-term visitors. Over the last 10 years, onshore permanent visas granted by DIAC have increased fourfold from close to 15,000 persons in 1998-99 to nearly 63,400 in 2008-09(footnote 4) .

Business long-stay (subclass 457) visas - 2008-09

In 2008-09, the number of temporary business long-stay (subclass 457) visa holders arriving in Australia ready for work was 44,000 persons representing 8% of all NOM arrivals. The number of business long-stay (subclass 457) visa holders departing was 13,600 persons representing 6% of all NOM departures for the year. This resulted in a net of 30,500 business 457 visa holders contributing to NOM, or 10% of NOM in 2008-09.

Whilst a business 457 visa holder can stay in Australia for up to four years, they too, like students, can apply for other visas during their stay. In 2007-08, just under 25,000 people who last held a business 457 visa were granted a permanent residence visa. The majority of these (88%) were granted a permanent residence visa under the Employer Nomination Scheme, the Regional Sponsored Migration Scheme, a Labour Agreement or under the Skilled Independent visa program(footnote 5) . The strong representation of 457 visas in NOM figures is likely to be the result of Australia's buoyant economy over recent years with low unemployment and recognition of skill shortages for specific occupations. Temporary business long-stay (subclass 457) visas granted by DIAC increased strongly from 2006-07 to 2007-08 with 87,300 grants and 110,600 grants respectively.

Visitor visas - 2008-09

In 2007-08, over 3.6 million visitor visas were granted by DIAC. The vast majority of these were short-term, for stays of less than 12 months. However, the number of long-term visitors (i.e. staying 12 months or more) arriving in Australia in 2008-09 was 42,400 persons, representing 8% of all NOM arrivals. The number of long-term visitors departing was 20,800 persons, representing 9% of all NOM departures for the year. This resulted in a net of 21,600 long-term visitors contributing to NOM, or 7% of NOM in 2008-09. Of this net 21,600 visitors, 74% were tourist, 16% were business visitors, 3% were sponsored family visitors, and the remaining 7% were other visitors.

Working holiday visas - 2008-09

Australia's strong economic standing during recent international financial events and low unemployment rates over the last few years have increased the appeal for international travellers to visit and work temporarily in Australia. Working holiday makers are permitted to stay for a period of up to 12 months from the date of initial entry to Australia. However, the fact that many working holiday makers stay more than 12 months and therefore contribute to NOM estimates can be, in part, the result of those working holiday visa holders who have undertaken seasonal work in regional Australia being eligible to apply for a second working holiday visa. For example, there were 11,800 second working holiday visas granted by DIAC in 2007-08(footnote 6) . It can also be that those who have arrived on a working holiday visa may have applied for, and been granted, a different visa whilst onshore.

In 2008-09, the number of working holiday visa holders arriving in Australia and staying 12 months or more was 34,300 persons, representing 7% of all NOM arrivals. The number of working holiday visa holders departing was 10,500 persons, representing 5% of all NOM departures for the year. This resulted in a net of 23,800 working holiday visa holders contributing to NOM, or 8% of NOM in 2008-09.

Permanent Visas - 2008-09

In 2008-09, the number of permanent visa holders arriving in Australia was 92,400 persons, representing 18% of all NOM arrivals. The number of permanent visa holders departing was 5,300 persons, representing 2% of all NOM departures for the year. This resulted in a net of 87,100 permanent visa holders contributing to NOM, or 29% of NOM in 2008-09. Just four years earlier in 2004-05 (also based on the '12/16 month rule' methodology), permanent visa holders accounted for 50% of the total NOM figure for that year.

Whilst a person may seek a permanent visa from DIAC (158,600 permanent visas were granted by DIAC in 2007-08)(footnote 7) , there can be a number of reasons as to why there is not a direct correlation with the number of permanent visas recorded by the NOM processing system (91,500 permanent visas holders were counted in NOM arrivals in 2007-08). First, a visa being granted may not necessarily result in a traveller actually arriving in Australia. Reasons for not arriving may include a change of mind or change of circumstances resulting in the traveller delaying or cancelling their planned permanent arrival. Second, a traveller with a permanent visa may initially stay for a short period (less than 12 months) in Australia before returning to their previous home to finalise their affairs overseas (with the intention of returning to Australia at later date). If they do not remain in Australia long enough to meet the requirements of the '12/16 month rule' (see Glossary) they are not included in the NOM counts for that period. Third, a person may already be in Australia using another visa (e.g. student or subclass 457) and be granted an onshore permanent visa. This change in visa to a permanent visa is not recorded in the NOM system until they leave Australia's shores for 12 months or more over a 16 month reference period (i.e. become a NOM departure).

Family visas - 2008-09

In

2008-09, the number of permanent family visa holders (granted offshore) arriving in Australia was 34,100 persons, representing 7% of all NOM arrivals. The number of permanent family visa holders departing was 2,200 persons, representing 1% of all NOM departures for the year. This resulted in a net of 31,900 family visa holders contributing to NOM, or 11% of NOM in 2008-09.

Skilled visas - 2008-09

The number of permanent skilled visa holders (granted offshore) arriving in Australia in 2008-09 was 46,700 persons, representing 9% of all NOM arrivals. The number of permanent skilled visa holders departing was 3,000 persons representing 1% of all NOM departures for the year. This resulted in a net of 43,600 skilled visa holders contributing to NOM, or 15% of NOM in 2008-09.

Special Eligibility and Humanitarian visas - 2008-09

Special Eligibility visas referred to in this section mainly relate to any former citizens and residents requiring special visas to enter the country. It produces very small numbers and has therefore been combined with Humanitarian visas.

The Humanitarian Program and visas are managed by the Australian Department of Immigration and Citizenship. The offshore resettlement component of the Humanitarian Program has two categories: refugees and a special humanitarian program(footnote 8) .

During 2008-09, the number of permanent special eligibility and humanitarian visa holders (granted offshore) arriving in Australia was 11,600 persons, representing 2% of all NOM arrivals. The number of special and humanitarian visa holders departing was 40 persons, representing 0.02% of all NOM departures for the year. This resulted in a net of 11,600 special and humanitarian visa holders contributing to NOM, or 4% of NOM in 2008-09.

New Zealand citizens - 2008-09

The number of New Zealand citizens arriving in Australia in 2008-09 was 47,600 persons, representing 9% of all NOM arrivals. The number of New Zealand citizens departing was 17,300 persons, representing 8% of all NOM departures for the year. This resulted in a net of 30,200 New Zealand citizens contributing to NOM, or 10% of NOM in 2008-09.

Australian citizens - 2008-09

In 2008-09, the number of Australian citizens arriving in Australia was 80,600 persons, representing 16% of all NOM arrivals. The number of Australian citizens departing was 83,100 persons, representing 38% of all NOM departures for the year. This resulted in a negative net of -2,500 Australian citizens contributing to NOM, or -0.8% of NOM in 2008-09.


Self Reported Temporary NOM Arrivals and Main Reason for Journey

The following analysis on temporary NOM arrivals is based on final data which have been self reported and collected from Australia's incoming passenger card (i.e. self identified by a traveller in box B of the incoming passenger card, see Appendix - Passenger Cards p 93). It uses the 'initial category of travel' (see Glossary) variable from the Travellers' Characteristics Database to extract those travellers who have ticked box B on the incoming passenger card. The data analysed below are not the same as the previous analysis on temporary visas although similar results can be found for most countries of birth listed in table 3.18. The main reason for using self reported temporary NOM arrivals here, was to also capture information on the temporary status of New Zealanders which cannot be collected from visa information for this nationality.

A self reported temporary NOM arrival is any traveller who has identified themselves as a visitor or temporary entrant on Australia's incoming passenger card; who are not currently counted within the population; and then contributed to net overseas migration and the population by staying in Australia for 12 months or more over a 16 month reference period.

3.18 Self reported temporary NOM Arrivals(a), Main reason for journey & top 10 countries of birth(b) - Australia - 2008-09(c)

NOM arrivals(d)
Temporary NOM arrivals(a)
Main reason for journey of temporary NOM arrivals
 
 
 
Convention or conference
Business
Visiting friends or relatives
Holiday
Employment
Education
Other & not stated
Country of Birth
no.
no.
%
%
%
%
%
%
%
%

India
67 773
53 931
80
2
19
4
2
4
60
9
China(e)
48 223
36 707
76
-
5
6
3
3
77
6
UK, CI & IOM(f)
47 881
26 830
56
1
8
13
31
26
5
16
NZ
44 869
21 465
48
2
5
28
19
19
3
23
Korea, South
16 907
15 080
89
-
2
9
34
5
37
12
Nepal
11 602
10 962
94
1
29
3
1
2
59
6
USA
13 050
10 898
84
3
15
13
30
11
9
19
Philippines
15 334
9 763
64
9
16
11
6
22
19
18
Malaysia
12 716
9 749
77
1
4
8
19
4
54
10
South Africa
14 461
9 477
66
3
20
7
14
28
11
17
Total
519 785
324 080
62
1
10
9
15
10
41
13

- nil or rounded to zero (including null cells)
(a) Includes any temporary visitor arrival who has contributed to NOM by staying in Australia for 12 months or more and is added to the population.
(b) The top ten countries have been calculated from final data on all temporary NOM arrivals for 2008-09.
(c) Estimates for 2008-09 are final - see paragraphs 9-10 of the Explanatory Notes.
(d) Includes permanent arrivals, residents returning and other.
(e) China (excludes SARs and Taiwan).
(f) United Kingdom, Channel Islands and Isle of Man.


For 2008-09, there were 324,100 self reported temporary NOM arrivals who contributed to NOM (see table 3.18). This was 62% of all NOM arrivals with the remainder being permanent arrivals, Australian residents returning and a few from other categories. Of the countries of birth contributing to temporary NOM arrivals, India added the most with 53,900 persons arriving, followed by China (36,700 persons), the United Kingdom (26,800 persons) and New Zealand (21,500 persons).

Travellers who contributed to NOM during 2008-09 were born in over 200 countries. The majority of the top ten countries of birth (of those who contributed to temporary NOM arrivals) recorded a higher proportion of temporary entrants than non-temporary entrants. For example, 94% of all NOM arrivals for Nepal were self reported temporary arrivals followed closely by South Korea (89%) and the United States of America (84%). New Zealand was the only country in the top ten to record under half at 48%.

The main reason for journey is self reported by a traveller on Australia's incoming or outgoing passenger card and is only asked for two specific groups of people. One group is 'visitor or temporary entrants' and the other is 'Australian residents departing temporarily'. The following information is based on answers from the 'visitor or temporary entrants' group collected on the incoming passenger card.

Using final NOM data, table 3.18 shows the main reason for journey of the top ten countries of birth for the self reported temporary NOM arrivals in 2008-09. When examining the main reason for journey of temporary NOM arrivals, 77% of China-born arrivals reported education as their main reason for journey, followed by India (60%), Nepal (59%), and Malaysia (54%). Education was also the most commonly reported reason of all temporary NOM arrivals with 41% indicating that it was their main reason for journey. This was followed at a distant second by holiday (15%).

Employment was reported as the main reason to travel to Australia by 28% of all self reported temporary NOM arrivals born in South Africa, 26% for the United Kingdom and 22% for the Philippines. Business was reported as the main reason by 29% of temporary NOM arrivals from Nepal followed by South Africa (20%) and India (19%).

The highest proportion of self reported temporary entrants who stayed more than 12 months in Australia and had initially selected holiday as their main reason for journey were born in South Korea (34%) and in the United Kingdom (31%). The largest proportion of travellers who stated they were visiting friends or relatives were born in New Zealand (28%).

1 DIAC 2010, Population Flows: Immigration aspects 2008–09 edition, Ch 3. <back
2 DIAC 2005, Population Flows: Immigration aspects 2003–04 edition, Ch 5 p 62. <back
3 DIAC 2009, Population Flows: Immigration aspects 2007–08 edition, Ch 3 p 55. <back
4 DIAC 2010, Population Flows: Immigration aspects 2008–09 edition, Ch 2 p 45. <back
5 DIAC 2009, Population Flows: Immigration aspects 2007–08 edition, Ch 3 p 59. <back
6 DIAC 2009, Population Flows: Immigration aspects 2007–08 edition, Ch 3 p 53. <back
7 DIAC 2009, Population Flows: Immigration aspects 2007–08 edition, Ch 2 p 24. <back
8 DIAC 2010, Population Flows: Immigration aspects 2008–09 edition, Ch 4 p 80. <back



Previous PageNext Page