3302.0 - Deaths, Australia, 2008 Quality Declaration 
ARCHIVED ISSUE Released at 11:30 AM (CANBERRA TIME) 25/11/2009   
   Page tools: Print Print Page Print all pages in this productPrint All  
Contents >> Summary of Findings >> INTRODUCTION

INTRODUCTION

In 2008 there were 143,900 deaths (73,500 males and 70,400 females) registered in Australia, an increase of 6,100 deaths (or 4.4%) compared with the number of deaths registered in 2007 (137,900). Since the early 1980s the number of deaths registered has increased by around 0.6% per year on average for males and 1.3% per year for females, with year to year fluctuations.

2.1 DEATHS REGISTERED, 1908-2008
Graph: 2.1 DEATHS REGISTERED, 1908–2008


The steady increase in the number of deaths over time reflects the increasing size of the population and, in particular, the increasing number of older people. With the continued ageing of the population the number of deaths is projected to continue to increase throughout the remainder of the century (see graph 2.15).


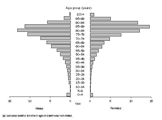
Male and female deaths

There were more male deaths (73,500) registered in 2008 than female deaths (70,400), resulting in a sex ratio of 104.5 male deaths for every 100 female deaths. This ratio is decreasing over time, with 118.8 male deaths for every 100 female deaths in 1988.

Graph 2.2 shows the distribution of deaths registered in 2008 by age group and sex.

2.2 Deaths, Australia, Age(a) and sex-2008
Diagram: 2.2 Deaths, Australia, Age(a) and sex—2008








Previous PageNext Page