4530.0 - Crime Victimisation, Australia, 2010-11 Quality Declaration 
ARCHIVED ISSUE Released at 11:30 AM (CANBERRA TIME) 21/02/2012   
   Page tools: Print Print Page Print all pages in this productPrint All

HOUSEHOLD CRIME

SUMMARY

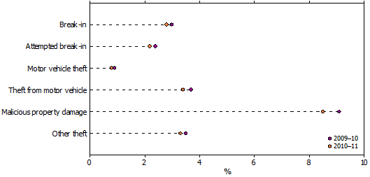
It is estimated that in the 12 months prior to interview in 2010–11:

  • 242,400 (2.8%) households were victims of at least one break-in to their home, garage or shed
  • 186,700 (2.2%) households were victims of at least one attempted break-in to their home, garage or shed
  • 70,200 (0.8%) households had at least one motor vehicle stolen
  • 291,100 (3.4%) households were victims of at least one theft from a motor vehicle
  • 722,800 (8.5%) households were victims of at least one incident of malicious property damage
  • 284,800 (3.3%) households were victims of at least one incident of other theft. (Table 1)
The national victimisation rate for malicious property damage decreased significantly in 2010–11 (8.5%) compared with 2009–10 (9.1%), while the rates for other household crimes remained stable. (Table 1)

HOUSEHOLD CRIME VICTIMISATION RATES
Household crime victimisation rates

The percentage of victims who had the most recent incident of household crime they experienced reported to police varied depending on the type of crime:
  • 80% for break-in
  • 46% for attempted break-in
  • 95% for motor vehicle theft
  • 53% for theft from a motor vehicle
  • 49% for malicious property damage
  • 36% for other theft. (Table 1)

BREAK-IN
Australia had an estimated 343,400 break-in incidents in the 12 months prior to interview in 2010–11 (Table 1). The Northern Territory had the highest victimisation rate of all the states and territories (6.9%) (NT data was collected in mainly urban areas). Western Australia experienced a significant decrease in the victimisation rate of break-ins from 5.2% in 2009–10 to 3.7% in 2010–11. The reporting rate for New South Wales was significantly higher in 2010–11 (81%) than 2009–10 (70%). The victimisation rates and reporting rates across the remaining jurisdictions remained stable over this period. (Table 3)

BREAK-IN VICTIMISATION RATES, by state and territory
Break-in victimisation rates, by state and territory

ATTEMPTED BREAK-IN
In the 12 months prior to interview in 2010–11, Australian households experienced an estimated 257,400 incidents of attempted break-in (Table 1). The Northern Territory had the highest victimisation rate of all the states and territories (5.9%). Victoria was the only state or territory to experience a significant decrease in the victimisation rate, from 2.3% in 2009–10 to 1.8% in 2010–11. (Table 3)

MOTOR VEHICLE THEFT
Australian households experienced an estimated 79,800 incidents of motor vehicle theft in the 12 months prior to interview (Table 1). Queensland was the only state or territory to experience a significant decrease in the victimisation rate from 0.8% in 2009–10 to 0.5% in 2010–11 (Table 3).

THEFT FROM A MOTOR VEHICLE
During the 12 months prior to interview, Australia had an estimated 361,700 incidents of theft from a motor vehicle (Table 1). Of all the states and territories, the victimisation rate was the highest in the Northern Territory (8.5%). The Northern Territory was also the only state or territory to experience a significant increase in the victimisation rate from 5.6% in 2009–10 to 8.5% in 2010–11. (Table 3)

MALICIOUS PROPERTY DAMAGE
Australian households experienced an estimated 1.1 million incidents of malicious property damage in the 12 months prior to interview (Table 1). Queensland (7.0%) had the lowest victimisation rate of all the states and territories. Victoria experienced a significant decrease in the victimisation rate for malicious property damage from 9.4% in 2009–10 to 8.2% in 2010–11. (Table 3)

OTHER THEFT
In the 12 months prior to interview, an estimated 403,400 incidents of other theft were experienced by Australian households (Table 1). The victimisation rate in the Northern Territory decreased significantly in 2010–11 (5.4%) from 2009–10 (8.1%) (Table 3).