4704.0 - The Health and Welfare of Australia's Aboriginal and Torres Strait Islander Peoples, Oct 2010  
ARCHIVED ISSUE Released at 11:30 AM (CANBERRA TIME) 17/02/2011  Final
   Page tools: Print Print Page Print all pages in this productPrint All  
Contents >> Housing circumstances >> Housing and health: housing conditions


HOUSING CIRCUMSTANCES: HOUSING CONDITIONS
This article is part of a comprehensive series released as The Health and Welfare of Australia's Aboriginal and Torres Strait Islander Peoples

KEY MESSAGES
  • In 2008, 28% of Aboriginal and Torres Strait Islander people aged 15 years and over (adults) lived in dwellings with major structural problems, with those living in remote areas most likely to be living in dwellings with structural problems (39% of adults).
  • There has been a decline in Aboriginal and Torres Strait Islander households living in dwellings with major structural problems, from 34% to 26% of households between 2002 and 2008. The largest decline was in remote areas, from 50% to 34% of households.
  • The most common structural problem experienced were major cracks in walls or floors, affecting 13% of adults.
  • Aboriginal and Torres Strait Islander adults living in dwellings with structural problems were more likely to report high or very high levels of psychological distress compared with those who did not (37% compared with 28%).

Good housing condition is important for maintaining health. Control over indoor temperature, and the elimination of dampness and mould, is thought to be particularly important for improving human health (Endnote 1). Situations that impair the ability of household occupants to control these factors, such as major cracks in walls, may therefore have a negative impact on the health of people living in such housing (Endnote 1).

This topic presents results from the 2008 National Aboriginal and Torres Strait Islander Social Survey (NATSISS) which provides the most recent data for housing conditions. This topic covers:
STRUCTURAL PROBLEMS

In 2008, there were around 50,000 Aboriginal and Torres Strait Islander households (26% of households) living in dwellings with major structural problems, such as shifting foundations or major electrical problems, and 92,000 Aboriginal and Torres Strait Islander people aged 15 years and over (28% of adults) living in these dwellings. People in remote areas were more likely to be in housing with major structural problems (39% of adults) than those living in major cities (24%).

Major structural problems were more common in rented housing compared with owned housing. In 2008, 17% of Aboriginal and Torres Strait Islander adults in owned housing lived in dwellings with major structural problems, compared with 27% of those living in privately rented housing, 36% in rented housing from a state/territory housing authority, and 40% in rented housing from an Indigenous or Community Housing Organisation.

The most common types of problems were major cracks in walls or floors, affecting 13% of all Aboriginal and Torres Strait Islander adults, followed by walls or windows not being straight (affecting 8% of adults), major electrical problems (6%), and plumbing problems (7%). While there was some variation in prevalence of particular structural problems by remoteness area, for most problems there were more people affected in remote areas than in major cities (graph 3.1).

3.1 TYPE OF STRUCTURAL PROBLEMS BY REMOTENESS, Aboriginal and Torres Strait Islander people aged 15 years and over—2008
chart: types of structural problems in dwelling by remoteness, Aboriginal and Torres Strait Islander people 15 years and over, 2008
Source: 2008 National Aboriginal and Torres Strait Islander Social Survey.
These estimates are also available for download in the Housing Circumstances datacube.


Nationally, there has been a decline in Aboriginal and Torres Strait Islander households reporting major structural problems with their dwelling, from 34% to 26% between 2002 and 2008. The largest decline in structural problems was in remote areas of Australia, with 50% of households affected in 2002 compared with 34% in 2008 (graph 3.2).

3.2 ABORIGINAL AND TORRES STRAIT ISLANDER HOUSEHOLDS REPORTING STRUCTURAL PROBLEMS WITH DWELLING, by remoteness—2002 and 2008

chart: Aboriginal and Torres Strait Islander households reporting structural problems with dwelling by remoteness, 2002 and 2008
Sources: 2002 and 2008 National Aboriginal and Torres Strait Islander Social Surveys.
These estimates are also available for download in the Housing Circumstances datacube.


Structural problems and health

The standard of housing that people live in can be an important predictor of their health status, with poor quality housing infrastructure associated with poor health outcomes (Endnote 1). In 2008, Aboriginal and Torres Strait Islander adults living in dwellings with structural problems were more likely to experience high or very high levels of psychological distress compared with those who did not (37% compared with 28%). Those living in dwellings with structural problems were also more likely to report that their health was fair or poor (25%) than people who were not (21%).


HOUSEHOLD FACILITIES

Having access to basic household facilities such as washing and laundry facilities, those that enable the safe storage and preparation of food, and safe waste removal are important for ensuring a healthy living environment. The 2008 NATSISS collected information on whether key household facilities were available and working properly including bathroom, laundry and kitchen facilities (see graph 3.3).

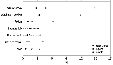
In 2008, 13% of all Aboriginal and Torres Strait Islander adults lived in dwellings with at least one faulty household facility. The likelihood of experiencing problems was highest in remote areas, where 28% of adults lived in dwellings with at least one faulty household facility, compared with 9% of those in regional areas and 8% in major cities.

The most common problem experienced was faulty cooking facilities, with 7% of adults experiencing problems with their oven or stove (15% in remote), and 3% experiencing problems with their fridge (6% in remote) (graph 3.3). Problems with washing machines affected 5% of adults nationally (12% in remote) (graph 3.3).

Overcrowding can negatively impact on household infrastructure. In 2008, nearly half (45%) of adults experiencing problems with faulty household facilities were also living in overcrowded dwellings.

3.3 FAULTY HOUSEHOLD FACILITIES BY REMOTENESS, Aboriginal and Torres Strait Islander people aged 15 years and over—2008
chart: Faulty household facilities by remoteness areas, Aboriginal and Torres Strait Islander people 15 years and over, 2008

Source: 2008 National Aboriginal and Torres Strait Islander Social Survey.
These estimates are also available for download in the Housing Circumstances datacube.


ENDNOTES

1. Garner, G. 2006. ‘The ecology and inter-relationship between housing and health outcomes’, paper delivered to the International Conference on Infrastructure Development and the Environment, 2006.






Previous PageNext Page