Page tools:
Print Page
Print All
| ||
|
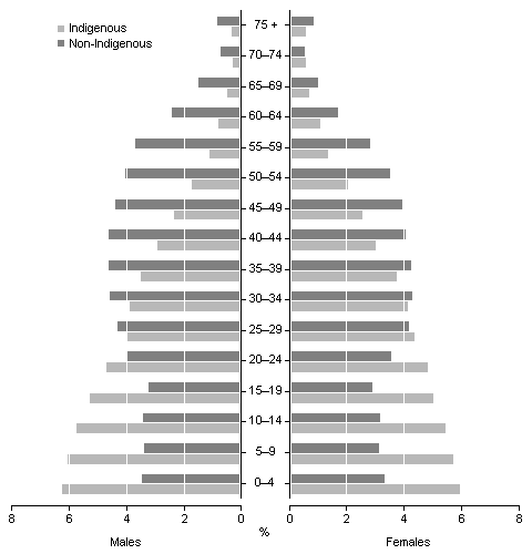
AVERAGE ANNUAL POPULATION GROWTH RATE BETWEEN 2004 AND 2009(a) Sex ratio At 31 December 2009, the population of the NT comprised about 118,200 males and 109,800 females. This represents a sex ratio (the number of males per 100 females) of 107.6, the highest of any state or territory. Western Australia was the only other state or territory where males outnumbered females, with a sex ratio of 102.8. Since 31 December 2004 the NT's sex ratio has decreased by 0.8 (from 108.4), due to the rate of the increase in the number of females being higher than the rate of the increase in the number of males. Nationally the ratio of males to females increased by 0.6 over the same period. SEX RATIO(a) Median age At 30 June 2009, the median age (the age at which half the population is older and half is younger) for the NT was 31.2 years. Although increasing from 30.5 years at 30 June 2004, the NT continues to have the lowest median age of all states and territories with the next lowest being the Australian Capital Territory (ACT) at 34.7 years. The median age for both males (31.4 years) and females (31.0 years) in the NT were also the lowest of all states and territories. The NT is also unique in being the only Australian state or territory with a median male age higher than the median female age. Aboriginal and Torres Strait Islander population The experimental estimated resident Aboriginal and Torres Strait Islander population of the NT at 30 June 2006 was 64,000 people, or 30% of the total NT population, the highest proportion of all the states and territories. Of the states and territories, the NT had the fourth largest population of Aboriginal and Torres Strait Islander Australians. NSW had the largest population of Aboriginal and Torres Strait Islander Australians (152,700 people), followed by Queensland (144,900 people) and Western Australia (71,000 people). In 2006 the Indigenous population of the NT had a younger age structure than the non-Indigenous population of the NT, with larger proportions of young people and smaller proportions of older people. POPULATION, NT, by age (years)–30 June 2006 Components of population changeSource: Experimental Estimates of Aboriginal and Torres Strait Islander Australians, Jun 2006 (cat. no. 3238.0.55.001) At the state and territory level, population growth has three components: natural increase; net overseas migration; and net interstate migration. During the year ended 31 December 2009 all of the states and territories experienced positive population growth, however the proportion that each of these components contributed to population growth varied. POPULATION COMPONENTS AS A PROPORTION OF TOTAL GROWTH(a)– Year ended 31 December 2009 The contribution made by each component to the NT's total growth has also varied during the five years to 31 December 2009. COMPONENTS OF POPULATION GROWTH, NT–Year ended 31 December Natural increase In 2009, the NT recorded a total fertility rate of 2.09 births per woman, compared with 2.16 in 2004, and was the only state or territory to record an overall decrease over this period. The NT's standardised death rate (deaths per 1,000 standard population – the standard population is the Australian population at 30 June 2001) in 2009 was 7.9, lower than the 8.7 in 2004. During the year ended 31 December 2009, natural increase accounted for 58% of the NT's total population growth (2,900 persons). Natural increase remained the largest component of population growth in the NT despite declining from 83% of total growth for the year ending 31 December 2004. Tasmania was the only other state or territory in which natural increase was the largest contributing factor to growth in 2009. Net overseas migration Net overseas migration is the net gain or loss of population through immigration to Australia and emigration from Australia. In the NT, net overseas migration was the second largest component of population growth, accounting for 38% of total population growth (1,900 persons) during the year ended 31 December 2009. Net overseas migration was the major component of population growth for all of the other states and territories, ranging between 50% and 81% of total population growth, except Tasmania (46% of total population growth). In 2004 the net overseas migration component of population growth in the NT was lower at 29%, and ranged between 24% and 39% during the five years to 2009.Net interstate migration During the year ended 31 December 2009 net interstate migration was the smallest component of population growth for all states and territories. Net interstate migration accounted for 4% of the NT's total growth (190 persons), while five years earlier net interstate migration accounted for a loss of 15% (480 persons). Queensland recorded the largest positive contribution from net interstate migration for the year ended 31 December 2009 at 13%, while South Australia recorded the largest proportionate net loss of 15%. During the five years to 31 December 2009, Queensland remained the most popular destination for people departing the NT as well as the most popular state of origin for people arriving into the NT. With the exceptions of New South Wales and Victoria, all other states and territories gained more people from the NT than they lost to the NT for the year ended 31 December 2009. INTERSTATE MIGRATION FLOWS, NT–Year ended 31 December 2009 Although net interstate migration was the smallest component of overall population growth in the NT, the NT had the highest population turnover of any state or territory. Population turnover measures the rate of arrivals and departures in relation to the size of population. For the year ended 31 December 2009, the NT recorded 15,700 departures, which was equivalent to a loss of 7% of the NT's total population of 227,900, while the same proportion (7%) also arrived in the NT during the year. The Australian Capital Territory recorded the second highest turnover rate at around 5% for both arrivals and departures, while the states recorded turnover rates between 1% and 3%. INTERSTATE MIGRATION FLOWS AS A PROPORTION OF POPULATION(a)– Year ended 31 December 2009(b) Further information Further information can be found in Australian Demographic Statistics, Mar 2010 (cat. no. 3101.0), Births, Australia, 2009 (cat. no. 3301.0), Deaths, Australia, 2009 (cat. no. 3302.0), Migration, Australia, 2008–09 (cat. no. 3412.0) and Experimental Estimates of Aboriginal and Torres Strait Islander Australians, June 2006 (cat. no. 3238.0.55.001). Document Selection These documents will be presented in a new window.
|
|
Print Page
Print All