JOB SEARCH EXPERIENCE OF UNEMPLOYED PEOPLE
INTRODUCTION
The ABS collects a range of information on people who are unemployed. This includes information about their demographic characteristics, duration of unemployment, educational qualifications and the difficulties they have experienced in trying to find work. This information is useful in identifying whether particular groups have difficulties finding work and for policy development to help unemployed people find a job.
This article examines the characteristics of unemployed people. It uses data from the Job Search Experience survey which is conducted annually in July as a supplement to the monthly Labour Force Survey.(end note 1) Further results can be found in Job Search Experience, Australia, July 2005 (cat. no. 6222.0).
CONCEPTUAL FRAMEWORK
Unemployed people are defined as people aged 15 years and over who were not employed during the reference week of the survey, and:
- had actively looked for full-time or part-time work at any time in the four weeks up to the end of the reference week and were available for work in the reference week; or
- were waiting to start a new job within four weeks from the end of the reference week and could have started in the reference week if the job had been available then.
In this article, unemployed people are classified into four distinct groups:
- People who had never worked and had been unemployed for less than one year at July 2005;
- People who had never worked and were long-term unemployed at July 2005 (i.e. unemployed for 12 months or more);
- People who had worked previously and had been unemployed for less than one year at July 2005; and
- People who had worked previously and were long-term unemployed at July 2005.
The following diagram outlines this framework in more detail:
OVERVIEW
In July 2005, there were 484,800 unemployed people. This compares with 709,600 unemployed people ten years earlier in July 1995 when the Australian economy was emerging from the recession of the early 1990s. In July 2005, just over half (52%) of unemployed people were men (250,800). Almost one-quarter (23%) of the unemployed population were aged 15-19 years and a further 22% were 25-34 years. Overall, almost two-thirds (62%) of unemployed people were aged between 15 and 34 years.
Of the total unemployed population, almost one-fifth (19% or 90,400) had never worked before and 81% (394,300) had worked previously. This pattern of previous employment was very similar for both unemployed men and women.
Unemployed people who had never worked tended to be much younger than those who had worked previously. Of the people who had never worked and had been unemployed for less than one year in July 2005, 71% were aged 15-19 years, reflecting the transition these people were likely to be making from study to work.
Of the people who had worked previously and were long-term unemployed, three-fifths (60%) were men. Just over half (51%) of this population group was over 45 years of age, while almost one-quarter (23%) were over 55 years.
2. Age Distribution of unemployed people, July 2005

In total, 29% of unemployed people in July 2005 were looking for part-time work only, up from 17% in July 1995. The pattern was very different for men and women. In July 2005, just under one-fifth (19%) of unemployed men were looking for part-time work, while almost two-fifths (39%) of unemployed women were seeking part-time work. A larger proportion of the unemployed who had never worked were looking for part-time work only (52%) than those who had worked previously (23%), possibly reflecting the fact that the former were younger and more likely to be wanting to combine education and work.
QUALIFICATIONS
Unemployed people without non-school qualifications
In July 2005, 61% (297,700) of unemployed people did not have any non-school qualifications. The proportion of unemployed people without non-school qualifications varied according to previous work experience and current duration of unemployment. Almost three-fifths (58%) of unemployed people who had worked previously did not have non-school qualifications, and this was similar for those unemployed for less than one year and those who were long-term unemployed. More than half (56%) of the long-term unemployed who had never worked had no non-school qualifications.
Of those unemployed for less than one year who have never worked, 78% (60,200) had no non-school qualifications. This can be explained by the fact that 80% of this group were aged 15-19. In this age group, 75% were dependent students who had no non-school qualifications and had never worked.
3. Unemployed People: non-school qualifications, July 2005

UNEMPLOYED PEOPLE WITH NON-SCHOOL QUALIFICATIONS
In July 2005, 39% of unemployed people had a non-school qualification. Of this population, over one-third (34%) of men and 15% of women who were long-term unemployed had a Bachelor degree or higher. The most common qualification among those who were long-term unemployed and had never worked before was a Bachelor degree or higher (33%), followed by Certificate I/II (29%).
DURATION OF UNEMPLOYMENT
In July 2005, 18% of unemployed people had been unemployed continuously for one year or more compared to 35% in July 1995. Overall, the median duration of the current period of unemployment was very similar for men (13 weeks) and women (12 weeks). However, there was a considerable difference in the median duration of the current period of unemployment between men and women for the older age groups. The median duration for women was 36 weeks less than men in the 55-59 age group (17 weeks compared to 53 weeks).
4. Median duration of unemployment by selected age groups, July 2005

The median duration of the current period of unemployment was generally longer for those who had never worked than for those who had worked previously. In July 2005, the median number of weeks unemployed for people who had never worked was 18 weeks, compared to 12 weeks for those who had worked previously. This difference was most pronounced in the younger age groups with median duration of current unemployment for those aged 20-24 years over three times longer for those who had never worked (20 weeks) than those who had worked previously (6 weeks). For those aged 25-34 years, the median duration of current unemployment was almost three times longer for those who had never worked (27 weeks) than those who had worked previously (11 weeks).
STEPS TAKEN TO FIND WORK
Overall, the most common step unemployed people took to find a job was 'wrote, phoned or applied in person to an employer for work'. Unemployed women said their most common step to find work was 'looked at advertisements for jobs in a newspaper', and men reported 'wrote, phoned or applied in person to an employer for work'.
Long-term unemployed people were more likely to be registered with Centrelink or a Job Network agency and to use Centrelink touchscreens than those who had been unemployed for a shorter time. Those who had been unemployed for less than one year were more likely than the long-term unemployed to look in newspapers and on the internet for jobs and to write, phone or apply for a job in person.
The most common steps taken by unemployed people who had previously worked were 'looked at advertisements for jobs in a newspaper' and 'wrote, phoned or applied in person to an employer for work'.
5. Selected steps taken to find job: previously worked (a), July 2005

The most common steps taken to find work by unemployed people who had never previously worked varied according to the duration of unemployment. Those who were unemployed for less than one year reported that their most common step to find work was 'wrote, phoned or applied in person to an employer for work' (16%) whereas those who were long-term unemployed reported that their most common step was 'looked at advertisements for jobs in a newspaper' (12%).
6. Selected steps taken to find a job: Never previously worked (a), July 2005

DIFFICULTIES IN FINDING WORK
Overall, insufficient work experience was the most common main difficulty unemployed people reported in finding work (10%). However, this differed according to whether people were looking for part-time or full-time work. For people looking for full-time work, the most common main difficulty reported was that they lacked necessary skills or education (12%), whereas people looking for part-time work said that jobs had unsuitable hours (14%).
The main difficulties experienced by unemployed men differed to those experienced by unemployed women. Men most commonly stated that they were considered too old for full-time positions (13%) and for any position (11%), whereas men looking for part-time jobs reported no difficulties at all (14%), even though they were still unemployed. For unemployed women looking for full-time work, the main difficulty most commonly stated was that they lacked necessary skills or education (12%) and the most common main difficulty for women looking for part-time work was unsuitable hours (17%). Apart from difficulties experienced in finding full-time and part-time work, the main difficulty most commonly reported by unemployed women overall was insufficient work experience (12%).
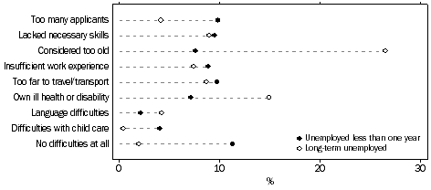
The main difficulty experienced in finding a job differed according to the duration of unemployment and whether the person had worked previously. Of those who had worked previously and had been unemployed continuously for more than 12 months, more than one quarter (26%) stated that they were considered too old by employers, and 15% identified their own ill health or disability as the main difficulty. This perhaps reflects the fact that just over half of those who had worked previously and were long-term unemployed were aged 45 years and over. About one in ten (11%) of those unemployed for less than one year also reported no difficulties at all, even though they were still unemployed.
7. Selected main difficulties finding a job: Previously worked, July 2005

For those people who had never worked and had been unemployed for less than one year the main difficulty most often reported was insufficient work experience (20%). This perhaps reflects the fact that many people in this category were young job seekers who had recently finished education or training or may have still been studying. For those people who had been unemployed continuously for more than 12 months and had not worked previously, the most commonly cited main difficulty was that they lacked the necessary skills or education (29%), perhaps reflecting the fact that their long-term absence from the workforce was hindering their ability to maintain relevant skills for employment.
8. Selected main difficulties finding a job: never previously worked, July 2005

FURTHER INFORMATION
For further information, please contact the Assistant Director, Labour Market, on Canberra 02 6252 7206.
END NOTES
1. In July 2002, the Job Search Experience survey replaced two supplementary surveys: Successful and Unsuccessful Job Search Experience; and Job Search Experience of Unemployed Persons. See Labour Statistics: Concepts, Sources and Methods (cat. no. 6102.0.55.001), available from the ABS web site <https://www.abs.gov.au> for further information about these surveys. < Back