Feature Article - Job search experience: methods and barriers in finding jobs
This article was published in the April 2004 issue of Australian Labour Market Statistics (cat. no. 6105.0).
Introduction
In July 2002, the Job Search Experience survey replaced the separate supplementary surveys Successful and Unsuccessful Job Search Experience (conducted irregularly or biennially from 1986 to 2000) and Job Search Experience of Unemployed Persons (collected annually from 1984 to 2001).
The Job Search Experience survey is conducted annually in July as a supplement to the monthly Labour Force Survey (LFS), collecting data for two main population groups:
- employed persons who started their current job in the previous 12 months, and
- unemployed persons.
Within these groups, the Job Search Experience survey provides information about the way people look for jobs, with particular focus on two key aspects - steps taken to find work, and barriers encountered in finding work. The usual socio-demographic characteristics are also included. Data from the survey are used in analysing labour market behaviour and in formulating labour market assistance policies.
This article briefly illustrates the range of job search information available by focussing on a number of the characteristics collected, using data from the recently released July 2003 survey. Further results may be found in Job Search Experience, Australia (cat. no. 6220.0).
Employed - started job in previous year
In July 2003 there were 1,602,800 employed people who had started their current job since July the year before. These job starters represented about 1 in 6 of the total employed population. Just over half (51%) were males.
Nearly two thirds of job starters (65%) were working full-time. About 1 in 8 (12% or 199,600) had started work in their own business (with males in the majority at 62%), while 88% (1,403,200) had started work for an employer other than their own business.
Prior experience
Job starters have been classified into three broad groups based on previous experience in the labour market, as follows: their current job was the first they had ever held (first job, in this article); they had worked before but were out of work before starting their current job (out of work); they had been working and had either changed employers or started their own business (working). Those job starters classified as 'first job' or 'out of work' were not necessarily unemployed prior to starting their current job. They may have been outside the labour force - for example, having already found a job, but not being available to start work earlier.
Job starters, Prior experience

While about 10% of all job starters had started their first job, 38% had been out of work before starting their current job, but had worked before. The remainder (829,100 or 52% of job starters) had already been working (e.g. they changed employer or left a job to start their own business).
Age of job starters
About a quarter (23%) of job starters aged 15 to 24 years were in their first job. Overall, this age group made up 84% of job starters in their first job.
Job starters, Prior experience by age

The proportion of job starters who were out of work prior to starting their current job increased with age, from 35% of persons aged 15 to 24 years to 47% of persons aged 55 and over, while the proportion who changed jobs (while continuing to work) declined after age group 25 to 34 years.
Job starters not in own business
Of the 1.4 million job starters who had started working for an employer, 76% had taken steps to obtain their job - referred to in this article as job starters who approached employers.
The remaining 24% had not taken steps to look for work but had been approached by their current employer. Job starters already working were most likely to have been approached by their current employer (28% of job starters who changed employers), compared to those not working (19% of those who worked before, and 21% of those starting their first job, were approached by their employer).
Job starters who approached employers
Job search steps
Job starters who approached employers were asked about the steps they may have taken that resulted in getting their current job. As responses were recorded for all steps taken, persons may be counted in more than one category. In this summary, passive searching (only looked in newspapers, for example) has been excluded.
Job starters who approached employers, All job search steps

Over two-thirds (70%) of the job starters who approached employers had contacted employers directly, in writing, by phone, or in person. More than a third (35%) had contacted friends or relatives in attaining their job. While 44% had answered newspaper advertisements for jobs, only 22% had answered Internet advertisements.
Those job starters who had been out of work but had worked before tended to use more methods to find work, reflected in their generally higher proportions for each method. Compared to job starters in their first job or who had already been working, they were more likely to have contacted employers, to have answered newspaper advertisements, and to have used Job Network or another employment agency.
Time spent looking for work
Job starters who had approached employers were also asked about how long they had spent looking for work (including time spent while working). While having reported taking steps resulting in a job offer, almost a quarter (23%) reported that they did not consider that they had spent time looking for work. Of these 250,100 persons, 75% had been working and had changed employer.
Of the remaining 818,700 job starters, the time spent looking for work varied according to the level of their prior labour market experience, with those seeking their first job most likely to have spent six months or more looking for work. Around one in four (25%) starters in their first job spent six months or more looking for work, and most (85%) were young people aged 15 to 24 years.
Job starters who approached employers, Time spent looking for work

Of those who had been working and changed employer to start their current job, 40% had spent less than 4 weeks looking for work, compared with 29% of those who had been out of work but had worked before, and 22% of those who had taken their first job.
Unemployed
The Job Search Experience survey also obtains a range of information about unemployed persons, including their job search steps, and difficulties in finding work.
Of the 564,500 unemployed persons in July 2003, 55% had been unemployed for 13 weeks or more. Just over one half of the unemployed (55%) were male.
Prior experience
For the unemployed, a measure of prior labour market experience may be defined as follows: whether the person had not previously held a job lasting two weeks or more (has never worked, in this article); whether they had previously held a job in the last two years (last job less than 2 years ago); or whether they had previously held a job but not in the last two years (last job 2 years or more ago).
Unemployed persons, Prior experience

In July 2003, 16% of the unemployed had never worked in a job lasting two weeks or more (and hence were looking for their first job). For one in four (25%) of the unemployed their last job was 2 years or more ago, while 59% had prior employment experience within the last two years.
Age of the unemployed
The proportion of unemployed persons aged 15 to 24 who had never worked was 36%. Persons in this age group made up 85% of the unemployed who had never worked, a similar proportion to that for job starters in their first job (84%).
Unemployed persons, Prior experience by age

The proportion of the unemployed who had last worked two years or more ago increased steadily with age, from 26% of persons aged 25 to 34 years, to 51% of those aged 55 years and over. The proportion of those with more recent experience (whose last job was less than two years ago) declined with increasing age, after age 25 to 34 years.
Job search steps
Unemployed persons were asked about all the steps they had taken in looking for work. As responses were recorded for all steps taken, persons may be counted in more than one category. In this summary, passive searching (only looked in newspapers, for example) has been excluded.
Unemployed persons, All active job search steps

The unemployed generally reported all job search steps at higher rates than job starters. Persons with the most recent experience (with their last job less than 2 years ago) reported higher usage of most job search methods. In contrast, those who had never worked reported lower proportions using most steps (particularly the Job Network and answering job advertisements), as was observed among job starters.
Main difficulty finding work
The Job Search Experience survey records the main difficulty encountered in finding work for those unemployed at the time of the survey, in respect of their current period of unemployment. Information on all difficulties is also collected.
Unemployed Persons, Main difficulty in finding work

Overall, 13% of the unemployed in July 2003 reported their main difficulty in finding work was having been considered too old or too young by employers. Other common main difficulties reported were 'insufficient work experience' (12%) and 'too many applicants for available jobs' (12%).
The main difficulty most commonly reported for the unemployed who had never worked was insufficient work experience (23%), while nearly 10% reported no difficulties at all. For persons whose last job was two or more years ago, the main difficulty most commonly reported was being considered too young or too old (22%).
Time spent looking for work
The Job Search Experience survey includes a measure of time spent looking for work, defined as the number of weeks a person has been both out of work and looking for work at the same time during the preceding 12 months. This may differ from the Labour Force Survey measure of duration of unemployment (defined as the shorter of the periods since a person began looking for work, or the person had last worked for two weeks or more) if the person had experienced multiple spells of looking for work during the last year, or had been unemployed for over 12 months.
Unemployed persons, Time spent looking for work

The unemployed who had never worked before were most likely to report looking for less than four weeks (25%). Of the unemployed whose last job was 2 years or more ago, the majority (55%) reported that they spent all of the last year looking for work. The remainder (those spending shorter periods looking) include people seeking to re-enter the labour force after a period of inactivity.
Hours of work
Information about preferred hours of work is obtained for both job starters and the unemployed. The Job Search Experience survey collects information for job starters about usual hours worked in all jobs and whether they would prefer to work more hours. For the unemployed a related measure was collected, by asking what weekly hours they would have liked to work (preferred weekly hours).
Usual hours worked
Job starters employed in their own business tended to work longer hours (48% working 45 hours or more). For those job starters not in their own business who had prior experience (out of work or working), usual hours equivalent to full-time work (35 hours or more per week) were most likely (65%).
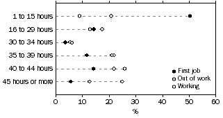
Job starters not in own business, Usual hours worked

As noted earlier, those in their first job were predominantly young (aged 15 to 24 years). Correspondingly, half of the job starters who had gained their first job usually worked 1 to 15 hours per week, partly reflecting the prevalence of part-time work among 15 to 24 year olds balancing work with study.
Preferred more work
Job starters not in their own business and usually working less than 35 hours per week were also asked whether they would prefer to work more hours.
Job starters not in own business, Proportion preferred more hours by usual hours worked

Just under one-third (31%) of job starters in their first job who usually worked from 1 to 15 hours would have preferred to work more hours, the lowest proportion among those usually working less than 35 hours. Compared with other job starters, those who had gained a job after being out of work generally displayed greater preference for working more hours.
Preferred weekly hours
There were marked variations in the weekly hours that the unemployed would have liked to work, depending on prior employment experience.
Unemployed persons, Preferred weekly hours of work

Of those who had never worked, 41% showed a preference for working 1 to 15 hours per week but most wanted longer hours. As already noted, those who had never worked were predominantly young (aged 15 to 24 years) and the proportion preferring low hours is likely to reflect the need to balance study with work. In comparison, the unemployed with more recent labour market experience were more likely to be wanting to work 35 hours or more per week.
Further information
For further information about the data analysis in this article, contact Linda Fardell, Labour Supply and Conditions Section on Canberra 02 6252 6562. For further information about the Job Search Experience survey, contact Labour Force and Supplementary Surveys Section on Canberra 02 6252 7206.