4123.3 - Queensland's Young People, 1996  
ARCHIVED ISSUE Released at 11:30 AM (CANBERRA TIME) 10/12/1998   
   Page tools: Print Print Page Print all pages in this productPrint All

INTRODUCTION

This publication provides a comprehensive range of statistics on young people aged 12-25 years in Queensland, using data from the 1996 Census of Population and Housing. The report is one of a series produced for each Australian State and Territory, jointly published by the National Youth Affairs Research Scheme (NYARS) and the Australian Bureau of Statistics (ABS). NYARS was established in 1985 as a cooperative funding arrangement between the Commonwealth and State and Territory Governments to facilitate nationally based research into current social, political and economic factors affecting young people. NYARS is administered under the auspices of Youth Ministers through a working group of the Ministerial Council on Education, Employment, Training and Youth Affairs. Research undertaken assists in the formulation, implementation and assessment of policy by Commonwealth, State and Territory Ministers for Youth.

A similar series, using 1991 Census data, was jointly published by the ABS and NYARS during 1992 and 1993.

The publication features summary tables of selected characteristics of young people at national and local government area levels. More detailed information is presented in five subject-based chapters: population, cultural diversity, living arrangements, education and working life.

Within these broad subject headings, the publication also considers young people in the context of age, sex, and cultural diversity. Comparative data from the 1986 and 1991 Censuses are also included in some tables to provide a time dimension.

CHAPTER 1 SELECTED CHARACTERISTICS

NATIONAL SUMMARY- Main findings

On census night 1996, 3,636,900 12-25 year-olds were counted in Australia, representing over one-fifth (21%) of Australians of all ages.

In New South Wales, the most populous State, they numbered 1,201,800, representing one-third of Australia's young people. The Australian Capital Territory had the highest proportion of young people (24%).

Young males outnumbered young females in all States and Territories. Nationally, there were 48,800 more 12-25 year-old males than females.

Cultural diversity

Almost 3% (99,500) of Australia's young people were of Indigenous origin. In the Northern Territory, people who reported that they were of Indigenous origin comprised almost one-third (32%) of all 12-25 year-olds, but in Victoria, they made up fewer than 1% of young people.

Just over 14% of young people in Australia had been born overseas. For 5%, their country of birth had been one of the main English-speaking countries (Canada, Ireland, New Zealand, South Africa, the United Kingdom and the United States of America). The other 9% had been born in other countries.

A high proportion of young people (15%) spoke languages other than English. More than 28% of the Northern Territory's 12-25 year-olds, and 20% of young people in Victoria, reported speaking a language other than English at home.

Living arrangements

Over 42% of young people in Australia were living with their parents as dependent children-either children aged 15 years or under, or dependent students aged 15-24 years. Another 20% lived with their parents as non-dependent children.

Almost one-quarter (24%) of young people had formed families or partnerships, or were living independently, alone or in group households.

Education

Over 87% of Australian 12-17 year-olds, and almost 30% of 18-25 year-olds, were attending schools or other educational institutions. The highest levels of educational participation were reported in the Australian Capital Territory (92% of 12-17 year-olds, and 43% of 18-25 year-olds), and the lowest, in the Northern Territory - 75% and 14% respectively.

New South Wales had the highest proportion (32%) of any State or Territory of young people (18-25 years) with post-school qualifications. Nationally, the proportion was 29%.

Working life

Almost one-half (48%) of 15-19 year-olds, and 78% of 20-25 year-olds, were in the labour force, that is, they were employed, or looking for work.

Among young people aged 15-19 years, the highest proportion (23%) were working part-time, compared with 14% in full-time work. For 20-25 year-olds, these positions were reversed - 47% were working full-time, and 19% part-time.

Unemployment

Unemployment rates among young people were at 19% for 15-19 year-olds, and 13% for 20-25 year-olds.

An alternative measure of unemployment levels is the percentage of unemployed in the whole age group. In 1996, this proportion was 9% for 15-19 year-olds, and 10% for 20-25 year-olds. This measure is particularly useful for young people, as it takes into account the number of people not participating in the labour force because of their education commitments.

Income

The median weekly income for 15-25 year-olds in 1996 was $181. The highest median incomes were reported in the Northern Territory ($193), Queensland and Western Australia (both $192).


CHAPTER 2 POPULATION

Main findings

On census night (6 August 1996) 695,754 young people aged 12-25 years were counted, constituting 21% of all people in Queensland.

1986 to 1996

Between 1986 and 1996, Queensland's census count increased by 746,508 (29%) to 3,319,186. The number of young people rose by 84,081, or almost 14% over the same period. However, young Queenslanders represent a declining proportion of the total, falling from 24% in 1986 to 22% in 1991, and then to 21% in 1996. This trend can be expected to continue, since the proportion aged 0-11 years has also declined, from 19% in 1986 to 17% in 1996.

YOUNG PEOPLE, Proportion of All Persons
Sex and age

There were slightly more males than females in the 12-25 years age group (353,453 compared with 342,301). Males slightly outnumbered females at all ages up to 26 years and over. In this age group the number of females exceeded the number of males. Among all people counted in Queensland, females outnumbered males by 18,822.

Geographic distribution

In 1996, the highest numbers of young people were in the Statistical Divisions of Brisbane (332,449) and Moreton (115,043). Brisbane and Northern Statistical Divisions had the highest concentrations of young people, with 23% each.

Movement

Young people reported being more mobile than older people. More than half (53%) of 12-25 year-olds reported living at a different address than five years previously, compared with 40% of older people. A similar pattern was evident for residential movement within the previous twelve months, with 30% of young people and only 15% of older people being at a different address.

Most of this movement had taken place within the State. Among people who had moved within the previous twelve months, 88% of 12-25 year-olds, and 86% of older people, had moved within Queensland.

Young females were more likely to have moved than young males. Almost 56% of young females reported living at a different address from five years ago, compared with 50% of young males. For the older population, 40% of females and 41% of males were living at a different address from five years ago.
People who had a Different Address Five Years previously


CHAPTER 3 CULTURAL DIVERSITY

Main findings

Indigenous people

In the 1996 Census, 4% (27,039) of young people (aged 12-25 years) in Queensland reported that they were of Indigenous origin. This proportion was higher than the national average among young people (3%). The proportion of Indigenous people in the older population (aged 26 years and over) was 2%.

Overseas-born

Almost 12% (82,520) of young people in Queensland were born overseas, compared with 22% of people aged 26 years and over.

Countries of birth

Just over half (41,404) of overseas-born people aged 12-25 years were born in the main English-speaking countries (Canada, Ireland, New Zealand, South Africa, the United Kingdom and the United States of America). The largest number of overseas-born young people originated from New Zealand (28%), the United Kingdom (15%) and Papua New Guinea (6%).

Among older people (aged 26 years and over), almost 58% (260,677 persons) had been born in the main English-speaking countries. Almost 37% had been born in the United Kingdom and 16% in New Zealand.
OVERSEAS-BORN, Leading Countries of Birth


Among overseas-born young people who arrived in Australia prior to 1986, the majority (57%) were born in a main English-speaking country, with 28% from New Zealand and 22% from the United Kingdom. Among those who arrived between 1986 and 1990, 37% were born in New Zealand and 13% in the United Kingdom.

Among young people who arrived more recently (1991-1996), most (63% or 16,187) were born in a non-main English-speaking country. However, for individual countries, the highest proportions were born in New Zealand (23%), Taiwan and the United Kingdom (9% each) and Japan (5%).


OVERSEAS-BORN YOUNG PEOPLE , Birthplace and Year of Arrival


Birthplace of parents

Of young people in Queensland who were born in Australia, 77% (450,551) had both an Australian-born mother and father. Almost 23% (133,504) had at least one parent who had been born overseas. Only 3% had both parents who had been born in a non-main English-speaking country.

Languages spoken at home

Almost 7% (48,200) of young people spoke a language other than English at home. This was well below the national average of 15%. Of these young people, 20% spoke a Chinese language, and another 7% spoke Vietnamese. Among people aged 26 years and over, the most common languages spoken at home other than English were Italian (15%), one of the Chinese languages (12%) and German (10%).



Proficiency in English

The majority (90%) of young people in Queensland reported speaking English only. Of those young people who spoke another language, 66% reported that they spoke English very well or well.


CHAPTER 4 LIVING ARRANGEMENTS

Main findings

Marital status

Almost 17% of 15-25 year-olds in Queensland were married - 8% in a registered marriage, and 9% in a de facto marriage. Young females were more likely than young males to be in a partnership (21% compared with 13%).

Living arrangements

Almost 39% of 12-25 year-olds were living with their parents as dependent children. Another 21% of young males, and 13% of young females, were living as non-dependent children with their parents. Young females were twice as likely than young males to have moved from the family home, forming partnerships and their own families (20% compared with 10% of young males).

A higher proportion (28%) of young people in Queensland were living independently than in any other State or Territory. This proportion includes people living as couples, lone parents, group household members and lone persons.
YOUNG PEOPLE, Living Arrangements



For young people born in non-main English-speaking countries, about 37% were living as dependent children with their parents. Another 11% lived in the family home as non-dependent children, while 12% were living in a group household.
Among Indigenous young people, higher proportions (26% of females and 11% of males) had formed partnerships, or their own families.

Type of dwelling

About 4% of 12-25 year-olds in Queensland reported spending census night in a non-private dwelling. Large numbers of these young people were in boarding schools or residential colleges (14,539), or staying at hotels and motels (7,011). Another 4,244 young people reported having no usual address.

Type of tenure

About 52% of young people were living in dwellings which were owned or being purchased, compared with 67% of people aged 26 years and over.

Almost 39% of young people were living in rented dwellings, compared with fewer than 23% of older people (aged 26 years and over). In comparison, almost 69% of Indigenous young people, and about 42% of those born overseas in non-main English-speaking countries, were in rented dwellings.


YOUNG PEOPLE, Type of Tenure


CHAPTER 5 EDUCATION

Main findings

Attendance at educational institutions

Almost 50% (346,819) of all 12-25 year-olds were attending an educational institution in 1996. This compares with 48% in 1991. The female participation rate was 51% compared with 48% for males.

The proportion of young people who reported attending school showed little change between 1991 and 1996, remaining at about 35%. Over the same period, there was a slight increase to 4% in the proportion of young people attending technical or further educational institutions.


ATTENDANCE AT EDUCATIONAL INSTITUTIONS, 12-25 Years

Education participation rates were highest for the younger age groups, reflecting the compulsory nature of schooling to the age of 15 years. In the 12-14 years age group 95% reported that they were still at school. Among 15-17 year-olds, this proportion was 69%, with another 6% attending technical or further education institutions, or university.

Education participation continued to decline with age, with 40% of 18-19 year-olds and 19% of 20-25 year-olds remaining in education.

Non-main English-speaking birthplace

Participation in education was very high for young people born overseas in a non-main English-speaking country. Among 12-25 year-olds, 67% reported that they were attending an educational institution. Much of this participation was among young people aged 20-25 years, with almost half (49%) remaining in education.

Indigenous people

Among Indigenous young people, 41% (11,106) reported that they were attending an educational institution in 1996. Most of the participation was in the younger age groups, with 90% of 12-14 year-olds and 55% of 15-17 year-olds in education. Just 9% of 20-25 year-olds remained in education.

Education and labour force status

Many young people attending educational institutions are also employed. Among 15-25 year-olds who were still at school or attending a tertiary or other institution full-time in 1996, 35% were working part-time or seeking part-time employment (30% of males and 40% of females). In 1991, 28% of 15-25 year-olds in full-time education were also working part-time or seeking part-time work.

Part-time tertiary students aged 15-25 years were more likely to be employed full-time, although this has declined since 1991, reflecting the trend toward part-time work. In 1996, 67% of these students were employed full-time or looking for full-time work, compared with 73% in 1991.

Qualifications

In the five years from 1991 to 1996, the proportion of 15-25 year-olds with post-secondary qualifications increased from 15% to 19%. Among persons aged 26 years and over, the proportion increased from 28% to 31% over the same period.

Young Queenslanders were also more likely to have higher levels of qualifications in 1996 than five years earlier. Among those young people holding post-school qualifications, the proportion who had attained a bachelor degree or higher increased from 19% to 25%.

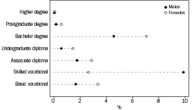
Among all 15-25 year-olds in 1996, the proportions of males and females holding post- school qualifications were similar at 19%. Young females most commonly held bachelor degrees (7%), followed by basic vocational qualifications (3%). For young males the most commonly held qualifications were skilled vocational qualifications (10%), followed by bachelor degrees (5%).


HIGHEST QUALIFICATION, 15-25 Years


CHAPTER 6 WORKING LIFE

Main Findings

Labour force status

In Queensland in 1996, 68% (369,160) of 15-25 year-olds were in the labour force, that is, they were either employed or looking for work. They made up 23% of Queensland's total labour force. The majority (84%) of these young people were employed.


Participation rates

The labour force participation rate for young people in 1996 was 68%. Among Indigenous young people, participation was lower, at 51%. However, among young people born overseas in a non-main English-speaking country, the participation rate was 44%. This reflected the much higher level of educational participation by this group. In 1996, fewer young females were in the labour force than young males (65% compared
with 70%).


Full-time work

The proportion of young people employed in full-time work fell between 1991 and 1996 from 37% to 34%. This decrease was experienced equally by both young females and males. Over the same period the proportion of people aged 26 years and over who were employed full-time increased slightly, to 38%. This movement was wholly attributable to an increase in full-time employment for older females (from 22% to 24%).

Part-time work

The proportions of both young and older people employed in part-time work have increased. Between 1991 and 1996, the proportion of young Queenslanders who were employed part-time increased from 16% to 21%. The percentage point increase for older people was slightly lower (2%). Of employed young females, 46% were employed part-time compared with 29% of young males.

Unemployment

In 1996, Queensland's unemployment rate for young people was 16%, that is, 16% of 15-25 year-olds in the labour force reported that they were looking for work. Among young males, the rate was 17%, compared with 14% for young females.

Another measure of unemployment among young people, which takes account of the varying labour force participation between age groups, is the proportion of the total population in the age group who were unemployed. In Queensland in 1996, 7% of 15-17 year-olds were looking for work. This proportion was almost 15% for those aged 18-19 years, 12% for 20-24 year-olds, and 9% for 25 year-olds. Among 15-25 year-olds overall, 11% were unemployed.

Industry

In 1996, 25% or 79,107 of employed young people worked in the Retail trade industry, followed by Manufacturing (10%), and Accommodation, cafes and restaurants (9%). For older people, the leading industries of employment were also Retail trade and Manufacturing (11% in each), followed by Property and business services and Health and community services (10% in each). Among young males, the most common industries of employment were Retail trade (employing 22%) and Manufacturing (15%). The leading employers for young females were Retail trade (30%) and Health and community services (12%).


EMPLOYED YOUNG PEOPLE, Leading Industries of Employment
Occupation

In 1996, 20% (61,106) of Queensland's employed 15-25 year-olds were employed as Intermediate clerical, sales and service workers. The largest proportion (17%) of older people were employed as Professionals. For young males, the most common occupations were Tradespersons and related workers (28%) and Labourers and related workers (18%). Young females were most commonly employed as Intermediate clerical, sales and service workers (31%) and Elementary clerical, sales and service workers (27%).

Income

The highest proportion (13%) of young people reported receiving no individual weekly income, followed by 11% with incomes in the range of $200-$299, and 11% with incomes of $300-$399. More than 74% of young females reported weekly incomes of less than $400, compared with fewer than 66% of young males.