Feature Article - Labour force participation: international comparison
Introduction
Most people in Australia participate in the labour force at some stage in their lives, with paid employment of importance financially and personally. Labour force participation changes as people join or leave the labour force, and may be affected by other decisions such as combining work with study or family responsibilities.
There is considerable interest in labour force participation from both a social and economic perspective. One particular issue is the ageing Australian population and the implications this may have for the size of the labour force. In the July 2003 issue of Australian Labour Market Statistics (cat. no. 6105.0), the article Population, Participation and Productivity: contributions to Australia's economic growth analysed the contribution of population demographics, labour force participation and productivity to the generation of economic growth (as measured by GDP).
The labour force participation rate is defined as the labour force (persons employed or unemployed) expressed as a percentage of the population.
Changes in Australia
Over the last two decades, Australia's labour force participation rate has increased slowly, rising from 60.8% in 1979 to 63.7% in 2002. The main factor behind the long-term rise in the labour force participation rate has been an increase in female participation, which has risen from 43.6% in 1979 to 55.5% in 2002. In contrast, male participation fell from 78.4% to 72.2% over the same period. Graph 1 shows male and female participation rates from 1979 to 2002.
Graph 1, Labour Force participation rate—annual average: Australia

International comparison
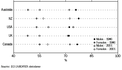
To determine how trends in labour force participation in Australia compare with those elsewhere, a comparison was made with other countries that are similar to Australia in many ways (that is, with developed economies, and with similar cultures). The countries selected for this study were New Zealand, United Kingdom, United States of America and Canada. Data collated by the International Labour Organisation (ILO) and Organisation for Economic Co-operation and Development (OECD) were used.
In all these countries, as well as Australia, the participation rate for women increased over the period of the study (1986 to 2001), while the participation rate for men decreased (except for USA, where it increased). However, there were differences in the magnitude of the changes, and in the levels of participation, as shown in graph 2.
Graph 2, Labour force participation rates—selected countries

The USA had the highest participation rate overall in 2001 at 66.9%, with the participation rate for women considerably higher than most of the other countries shown, except for Canada. The participation rate of the UK was below that of the other countries. In part, this could reflect the older population in the UK - 19% of the population was aged 65 or over, compared to between 15 and 16% in the other countries; while 14% of the UK population was aged between 15 and 24, compared to between 16% and 19% for the other countries (data are for 2002).
Comparison by age
Comparison of the countries by age shows that the patterns of participation were quite similar between countries for males across all age groups, while there were some differences through the life cycle for females. Graph 3 below shows participation rates for males in 2002, and graph 4 shows participation rates for females in 2002.
Graph 3, Labour force participation rates - selected countries: Males - 2002

Participation in the labour force is relatively high for men between age groups 20-24 and 50-54 in all countries. A slightly higher proportion of teenage males participate in the labour force in the UK than in other countries, while the proportion of men aged 50 and over participating in the labour force is highest in New Zealand.
Graph 4, Labour force participation rates - selected countries: Females - 2002

For women in Australia, there is a notable decrease in labour force participation in age groups 25-29 to 35-39. This is not apparent to the same extent in the USA, UK or Canada. In New Zealand, the participation rate for women is relatively low for the age groups up to 30-34; it then rises, and is relatively high for the age groups 45-49 and older.
In USA and Canada, the higher participation rates for women of child bearing ages lead to a higher labour force participation rate for women overall. However, in the UK, despite relatively high participation rates for women of child-bearing ages, the female participation rate is still lower overall than other countries, reflecting the older population in the UK.
The differences in participation rates between countries for women in child-bearing ages do not just reflect differences in the proportion of women who return to work soon after having children, but also differences in fertility rates, in availability of paid maternity leave, and in the treatment of maternity leave in labour force surveys. Generally, a woman on paid maternity leave would be treated in labour force surveys as being attached to a job, and hence employed, while a woman on unpaid maternity leave would be treated as not being attached to a job, and so not in the labour force. In some countries, women may be entitled to longer periods of paid maternity leave than in Australia, and so would be considered to be employed for a longer period, leading to higher participation rates in child-bearing years.
Participation in part-time employment
The nature of participation in the labour market, as assessed through the proportion of employees working part-time, differs considerably among the selected countries. The definition of 'part-time' varies between countries, but an OECD study has attempted to provide results on a comparable basis (based on a definition of part-time being less than 30 hours worked per week, while the standard definition used in Australia is based on a 35-hour cutoff). This analysis showed that Australia had a relatively high proportion of employees working part-time (27% in 2002), with the next highest rate being 23% in UK and New Zealand. The proportion of part-time employment had increased in all countries shown since 1986.
It was noted above that the overall rate of participation in the labour force is higher in the USA than the other four countries. The OECD data show that the nature of participation is also very different, with the proportion of employees working part-time in the USA in 2002 (13%) less than half that in Australia (27%). The difference is greatest for women, with only 19% of female employees working part-time in the USA, compared to 40% in Australia and 39% in the UK.
PART-TIME EMPLOYEES TO TOTAL EMPLOYEES RATIO, Selected countries - 2002 |
|  |
 | Males
| Females
| Persons
|  |
 | 1986 | 2002 | 1986 | 2002 | 1986 | 2002 |  |
 | % | % | % | % | % | % |  |
|  |
| Australia | 9.7 | 15.9 | 35.4 | 40.3 | 20.2 | 27.1 |  |
| USA | 4.5 | 8.3 | 11.8 | 18.8 | 7.9 | 13.4 |  |
| UK | 4.3 | 8.2 | 41.3 | 39.2 | 20.8 | 22.9 |  |
| New Zealand | 5.7 | 11.8 | 31.0 | 35.2 | 16.8 | 23.2 |  |
| Canada | 8.5 | 10.4 | 26.3 | 26.4 | 16.5 | 18.2 |  |
|  |
| OECD Labour Market Statistics; note that the OECD defines part-time work as "usual weekly working hours of 30 or less". |
Further Information
For further information relating to data from the Labour Force Survey, please contact Peter Bradbury on Canberra 02 6252 6565 or email peter.bradbury@abs.gov.au. For further information relating to the analysis in this article, please contact Mark Webb on 02 6252 7323 or email mark.webb@abs.gov.au.
The labour force data used for the international comparisons in this article were sourced from the OECD's web site data service Labour Market Statistics at http://www.oecd.org and ILO's web site data service Laborsta at http://laborsta.ilo.org/.