6429.0 - Producer and International Trade Price Indexes: Concepts, Sources and Methods, 2014  
ARCHIVED ISSUE Released at 11:30 AM (CANBERRA TIME) 20/08/2014   
   Page tools: Print Print Page Print all pages in this productPrint All

CHAPTER 4 PRICE INDEX THEORY


OVERVIEW

4.1 This chapter provides an overview of price index theory (footnote 1) . It describes how a price index is a single measure that summarises information from a number of transactions.

4.2 Various mathematical formulae are discussed. The problem for prices statisticians is to select the most appropriate formula. The advantages and disadvantages of the various formulae are discussed, along with criteria to guide decisions on their use.


THE CONCEPT OF A PRICE INDEX

The basic concept of price indexes

4.3 Price indexes allow the comparison of two sets of prices, either over time (temporal index) or regions (spatial index) for a common product or group of products. In order to compare the sets of prices it is necessary to designate one set to be the ‘reference’ set and the other the ‘comparison’ set. The reference price set is generally given an index value of 100(footnote 2) .


REFINING THE CONCEPT

4.4 The value of an individual product is the product of price and quantity, that is:

Formula


where v is value, p is price, q is quantity and the superscript t refers to the periods at which the observations are made. For an output index, the value of concern is revenue. For an input index, the value of concern is expenditure.

4.5 Decomposition of a change in a value can be illustrated using equation (4.1), as in the following example:

      Suppose the price of tinned apples from a particular producer is $2.00 per 440g tin at a particular time. Suppose further that the price rises to $2.50 per 440g tin at a later time. The movement in the price of apples from the first to the later period is obtained from the ratio of the price in the second period to the price in the first period, that is $2.50/$2.00 = 1.25 or an increase of 25% in the price.

If the producer sold exactly the same quantity of tinned apples in the two periods, the revenue from the sale (the value of the sale) would rise by 25%.

However, if the amount sold in the first period was 1,000 tins, and the amount sold in the second period was 1,200 tins, the quantity would also have risen, by 1,200/1,000 = 1.20 or 20%. In these circumstances, the total revenue from sale of tinned apples increases from $2,000 in the first period (1,000 tins at $2.00 per tin), to $3,000 in the second period (1,200 tins at $2.50 per tin), an overall increase in revenue (value) of $1,000, or 50%. The overall increase in value is the product of the ratios of the change in price and the change in quantity (1.25 x 1.20 = 1.50).

4.6 For an individual product, the ratio of the price in one period and the price in an earlier period is called a price relative. A price relative shows the change in price for one product only (e.g. the price of a tin of apples from one particular producer).

In terms of the formula in equation 4.1:

The ratio of the prices in the two periods, p2 and p1

($2.50/$2.00 = 1.25) is the price relative (Formula)

4.7 Now consider the case of price and quantity (and value) observations on many products. The quantity measurements can have many dimensions, such as number of units (e.g. tins), kilograms, metres, litres or even time (for services). Further, the quantities and prices of products are likely to show different movements between periods. Determining the respective movements in price and quantity between periods is the task of index numbers; to summarise the information on sets of prices and quantities into single measures to assist in understanding and analysing changes.

4.8 In essence, an index number is an average of either prices or quantities. The problem is how the average should be calculated.

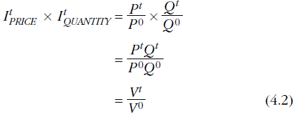
4.9 More formally, the price index problem is how to derive numbers ItPRICE (an index of price) and ItQUANTITY (an index of quantity) such that the product of the two is the change in the total value of the products between the reference period (0) and any other period (t), that is

Formula, and

Formula, then

Formula

where Pt, Qt and Vt are respectively, price, quantity and value of all products in period t and P0, Q0 and V0 are respectively, their prices, quantities and values in period 0 (the reference period). Based on equation (4.1), Vt can be represented as:

Formula

that is, the sum of the product of prices and quantities of each product denoted by subscript i.
Major index formulae

4.10 As stated earlier, one way to measure the price component of the change in value is by holding the quantities constant. In order to calculate the price index, the quantities need to be held fixed at some point in time. The initial question is what period should be used to determine the basket (or quantities). The options are to use:
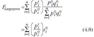
      (i) The quantities of the first or earlier period. Estimating the cost of the basket in the second period’s prices simply requires multiplying the quantities of products purchased in the first period by the prices that prevailed in the second period. A price index is obtained from the ratio of the revalued basket to the total price of the basket in the first period. This approach was proposed by Laspeyres in 1871 and is referred to as a Laspeyres price index. It may be represented, with a base of 100.0, as
      Formula
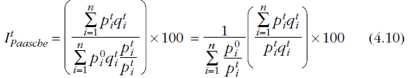
      (ii) The quantities of the second (or more recent) period. Estimating the cost of purchasing the second period’s basket in the first period simply requires multiplying the quantities of products purchased in the second period by the prices prevailing in the first period. A price index is obtained from the ratio of the total price of the basket in the second period to the total price of the same basket valued at the first period’s prices. This approach was proposed by Paasche in 1874 and is referred to as a Paasche price index. It may be represented, with a base of 100.0, as:
      Formula
      (iii) A combination (or average) of quantities in both periods(footnote 3) . In the absence of any firm indication that either period is the better to use as the reference, then a combination of the two is a sensible compromise. In practice this approach is most frequent in:

a) the Fisher Ideal price index(footnote 4) , which is the geometric mean of the Laspeyres and Paasche indexes:

Formula

and

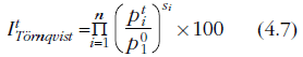
b) the Törnqvist price index, which is a weighted geometric mean of the price relatives where the weights are the average shares of total values in the two periods, that is

Formula

where

Formulais the average of the value shares for the ith product in the two periods.

4.11 The Fisher Ideal and Törnqvist indexes are often described as symmetrically weighted indexes in that they treat the weights from the two periods equally(footnote 5) .

4.12 The Laspeyres and Paasche formulae are expressed above in terms of quantities and prices. In practice quantities might not be observable or meaningful (for example, how would the quantities of legal services, public transport and education be measured?). Thus in practice the Laspeyres formula is typically estimated using value shares to weight together price relatives; this is numerically equivalent to the formula (4.4) above.

4.13 To derive the price relatives form of the Laspeyres index, multiply the numerator of equation (4.4) by Formula and rearrange to obtain:

Formula

where S0i represents the value share of product i in the reference period.

Formula

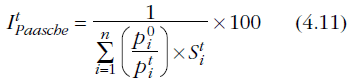
4.14 To derive the price relatives form of the Paasche index, multiply the denominator (4.5) by Formula and rearrange to obtain:

Formula

Which may be expressed as:

Formula

4.15 The important point to note here is that if price relatives are used then weights derived from value shares must also be used. On the other hand, if prices are used directly rather than in their relative form, then the weights must be derived from quantities.

4.16 An example of creating index numbers using the above formulae is presented in Table 4.1.

TABLE 4.1 COMPILING PRICE INDEXES OVER TWO PERIODS

Item
Price ($)
Quantity
Expenditure ($)
Expenditure shares
Price relatives

White Fresh Bread (loaves)
2.90
2 000
5 800
0.3932
1.0000
Apples (kg)
5.50
500
2 750
0.1864
1.0000
Beer (litres)
8.00
200
1 600
0.1085
1.0000
LCD TV (units)
1 200.00
2
2 400
0.1627
1.0000
Jeans (units)
55.00
40
2 200
0.1492
1.0000
Total
14 750
1.0000
White Fresh Bread (loaves)
3.00
2 000
6 000
0.4220
1.0345
Apples (kg)
4.50
450
2 025
0.1424
0.8182
Beer (litres)
8.40
130
1 092
0.0768
1.0500
LCD TV (units)
1 100.00
3
3 300
0.2321
0.9167
Jeans (units)
60.00
30
1 800
0.1266
1.0909
Total
14 217
1.0000
Index formula
Period 0
Period t
Laspeyres (no.)
100.0
98.5
Paasche (no.)
100.0
97.6
Fisher (no.)
100.0
98.1
Törnqvist (no.)
100.0
98.0

4.17 The following illustrate the index number calculations:

Laspeyres

= (0.3932 x 1.0345) + (0.1864 x 0.8182) + (0.1085 x 1.0500) + (0.1627 x 0.9167) + (0.1492 x 1.0909) x 100
= 98.51

Paasche

= 1/((0.4220 x 1.0345) + (0.1424 x 0.8182) + (0.0768 x 1.0500) + (0.2321 x 0.9167) + (0.1266 / 1.0909)) x 100
= 97.61

Fisher

= (98.51 x 97.62)1/2
= 98.06

(b) Törnqvist best calculated by first taking the logs of the index formula
= 1/2 x (0.3932 + 0.4220) x ln(1.0345)
+ 1/2 x (0.1864 + 0.1424) x ln(0.8182)
+ 1/2 x (0.1085 + 0.0768) x ln(1.0500)
+ 1/2 x (0.1627 + 0.2321) x ln(0.9167)
+ 1/2 x (0.1492 + 0.1266) x ln(1.0909)
= -0.0199

and then taking the exponent multiplied by 100
= e-0.0199 *100
= 98.03

4.18 In Table 4.1 the different index formulae produce different index numbers and thus different estimates of the price movements. Typically the Laspeyres formula will produce a higher index number than the Paasche formula, with the Fisher Ideal and the Törnqvist of similar magnitude falling between the index numbers produced by the other two formulae. In other words the Laspeyres index will generally show a higher (lower) price rise (fall) than the other formulae and the Paasche index a lower (higher price rise (fall)).(footnote 6)


Generating index series over more than two time periods

4.19 Most users of price indexes require a continuous series of index numbers at specific time intervals. There are two options for applying the above formulae when compiling a price index series:

(i) select one period as the reference and separately calculate the movement between that period and each other period, which is called a direct index, or

(ii) calculate the period to period movements and chain link these (i.e. calculate the movement from the first period to the second, the second to the third with the movement from the first period to the third obtained as the product of these two movements).

4.20 The calculation of direct and chain linked indexes over three periods (0, 1, and 2) using observations on three products, is shown in Table 4.2. The procedures can be extended to cover many periods.

Table 4.2 CONSTRUCTING PRICE INDEX SERIES

Item
Period 0
Period 1
Period 2

1
10
12
15
2
12
13
14
3
15
17
18
1
20
17
12
2
15
15
16
3
10
12
8
Index formula
Laspeyres
Period 0 to 1
100.0
114.2
Period 1 to 2
100.0
112.9
chain
100.0
114.2
128.9
direct
100.0
114.2
130.2
Paasche
Period 0 to 1
100.0
113.8
Period 1 to 2
100.0
112.3
chain
100.0
113.8
127.8
direct
100.0
113.8
126.9
Fisher
Period 0 to 1
100.0
114.0
Period 1 to 2
100.0
112.6
chain
100.0
114.0
128.3
direct
100.0
114.0
128.5



4.21 In this example, the Laspeyres Chain Index for period 2 is calculated as follows:

(114.2/100) * (112.9/100) * 100
= 128.9

The Paasche Chain Index for period 2 is calculated as follows:

(113.8/100) * (112.3/100) * 100
= 127.8

The Fisher Chain Index for period 2 is calculated as follows:

(114/100) * (112.6/100) * 100
= 128.3

OR

(128.9 * 127.8)1/2
= 128.3

4.22 The direct Laspeyres formula has the advantage that the index can be extended to include another period’s price observations when available, as the weights (quantities or value shares) are held fixed at some earlier period. On the other hand, the direct Paasche formula requires both current period price observations and current period weights before the index can be extended.
Unweighted or equal-weight indexes

4.23 In some situations it is not possible or meaningful to derive weights for each price observation. This is typically so for a narrowly defined product grouping in which there might be many sellers (or producers). Information might not be available on the overall volume of sales of the product or for the individual sellers or producers from whom the sample of price observations is taken. In these cases it seems appropriate not to weight, or more correctly to assign an equal weight, to each price observation. It is a common practice that the price indexes at the lowest level (where prices enter the index) are calculated using an equal-weights formula, based on arithmetic means or a geometric mean.

4.24 Suppose there are price observations for n products in period 0 and t. Then three approaches(footnote 7) (footnote 8) for constructing an equal weights index are:

1. calculate the arithmetic mean of prices in both periods and obtain the relative of the second period’s average with respect to the first period’s average (i.e. divide the second period’s average by the first period’s average). This is the Dutot formula also referred to as the relative of the arithmetic mean of prices (RAP) approach:

Formula

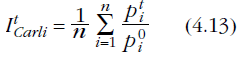
2. for each product, calculate its price relative (i.e. divide price in the second period by the price in the first period) and then take the arithmetic average of these relatives. This is the Carli formula, also referred to as the arithmetic mean of price relatives (APR) approach:

Formula

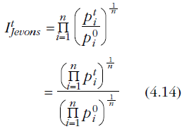
3 for each product calculate its price relative and then take the geometric mean(footnote 9) ( of the relatives. This is the Jevons formula, also referred to as the geometric mean (GM) approach:

Formula

4.25 The following are calculations of the equal weight indexes using the data in Table 4.2. Setting period 0 as the reference with a value of 100.0, the following index numbers are obtained in period t:

Dutot (RAP) formula: Formula

Carli (APR) formula: Formula

Jevons (GM) formula: Formula

4.26 Theory suggests that the APR formula will generally show the largest estimate of price change, the GM(footnote 10) the least and the RAP a little larger but close to the GM11. Real life examples generally support this proposition(footnote 11) , although with a small sample, as in the above example, different rankings for the RAP formula are possible depending on the prices.

4.27 The behaviour of these formulae under chain linking and direct estimation is shown in Table 4.3 using the price data from Table 4.2. It is noted that the RAP and GM formulae are transitive (the index number derived by the direct method is identical to that derived by the chain link method), but not the APR.

TABLE 4.3 LINKING PROPERTIES OF EQUAL WEIGHT INDEX

Formula
Period 0
Period 1
Period 2

Relative of average prices (RAP)
period 0 to 1
100.0
113.5
period 1 to 2
100.0
111.9
chain
100.0
113.5
127.0
direct
100.0
113.5
127.0
Average of price relatives (APR)
period 0 to 1
100.0
113.9
period 1 to 2
100.0
112.9
chain
100.0
113.9
128.6
direct
100.0
113.9
128.9
Geometric mean (GM)
period 0 to 1
100.0
113.8
period 1 to 2
100.0
112.5
chain
100.0
113.8
128.0
direct
100.0
113.8
128.1

Note: Uses the same price data as in Table 4.2



Unit values as prices

4.28 A common problem confronted by index compilers is how to measure the price of products in the index whose price may change several times during an index compilation period. For example, in Australia petrol prices change almost daily at the terminal gate while the Producer Price Index (PPI) is quarterly. Taking more frequent price readings and calculating an average is one approach to deriving an average quarterly price. A more desirable approach, data permitting, would be to calculate unit values and use these as price measures(footnote 12).

4.29 The unit value for a product for a specified period is the value divided by quantity transacted in the period. The use of unit values is problematic and is not generally recommended, since any change in product quality, product mix, or timing can seriously distort the average unit price. However, for a highly volatile but narrowly defined product like petroleum, this method may be suitable.
SOME PRACTICAL ISSUES IN PRICE INDEX CONSTRUCTION

Where reference period prices and quantities are not the same period

4.30 One practical issue with price index construction when using the Laspeyres approach is that it may not always be possible to obtain values at the desired reference period. For example, the values may only be available from an earlier period. In this situation, a value is price updated so that it is composed of quantities in period b (some period prior to period 0) valued at the price level of period 0. The Laspeyres index in this form is referred to as a Lowe Index. The Lowe index is used by most National Statistical Offices (NSOs) to compile official price indexes. The Lowe index is expressed as follows:

Formula


To chain or not to chain

4.31 The use of fixed weights (as in a Laspeyres type formula) over an extended period of time is not a sound index construction practise. For example, weights in a PPI should be changed to reflect changes in production patterns or structural changes to the economy over time. Production patterns change in response to longer-term movements in relative prices, changes in preferences and the introduction of new products (and the displacement of other products).

4.32 When adopting a Fixed Weighted Index formulae two approaches are generally used. One is to hold the weights constant over as long a period as seems reasonable, starting a new index each time the weights are changed. This means that a longer-term series is not available. The second is to update the weights more frequently and to chain, as discussed above, to produce a long-term series. The latter is the more common practice.

4.33 The behaviour of the various formulae when chaining is explored below in table 4.4 by adding two more periods. In period 3, prices and quantities are returned to their reference period values and in period 4 the reference period prices and quantities are ‘shuffled’ between products. The period 3 situation is sometimes described as ‘time reversal’ and the period 4 situation as ‘price bouncing’(footnote 13) .

TABLE 4.4 A Closer Look At Chaining

Item
Period 0
Period 1
Period 2
Period 3
Period 4

1 Boys' sport socks
10
12
15
10
15
2 Girls' sport Socks
12
13
14
12
10
3 Men's socks
15
17
18
15
12
1 Boys' sport socks
20
17
12
20
10
2 Girls' sport socks
15
15
16
15
20
3 Men's socks
10
12
8
10
15
period 0 to 1
100.0
114.2
period 1 to 2
100.0
112.9
period 2 to 3
100.0
78.8
period 3 to 4
100.0
107.5
chain
100.0
114.2
128.9
101.6
109.2
direct
100.0
114.2
130.2
100.0
107.5
period 0 to 1
100.0
113.8
period 1 to 2
100.0
112.3
period 2 to 3
100.0
76.8
period 3 to 4
100.0
93.8
chain
100.0
113.8
127.8
98.2
92.1
direct
100.0
113.8
126.9
100.0
93.8
period 0 to 1
100.0
114.0
period 1 to 2
100.0
112.6
period 2 to 3
100.0
77.8
period 3 to 4
100.0
100.4
chain
100.0
114.0
128.3
99.9
100.3
direct
100.0
114.0
128.5
100.0
100.4



4.34 Under the three formulae, the index number under direct estimation returns to 100.0 when prices and quantities of each product return to their reference period levels. However, the chained index numbers do not (although the chained Fisher Ideal index might generally be expected to perform better than the chained Laspeyres or Paasche).

4.35 There are obvious attractions in frequent chaining. However, chaining in a fixed-weight index can lead to biased estimates. This can occur if there is seasonality or cycles in the price and chaining coincides with the top and bottom of each cycle. For this reason it is generally accepted that chaining should not be done at intervals of less than one year l. The conceptual underpinning of chaining is that the traditionally expected inverse relationship between prices and quantities actually applies in practise (i.e. growth in quantities is higher for those products whose prices increase less in relative terms).


Handling changes in price samples

4.36 All the index formulae discussed above require observations on the same products in each period. In some situations it may be necessary to change the products or outlets included in the price sample or, if weights are used, to re-weight the price observations. Examples of changes in a price sample include: a data provider goes out of business; or the sample needs to be updated to reflect changes in the market shares of providers; to introduce a new provider; or to include a new product.

4.37 It is important that changes in price samples are introduced without distorting the level of the index for the price sample. This is usually done by a process commonly called 'splicing'. Splicing is similar to chain linking except that it is carried out at the price sample level. An example of handling a sample change is shown in table 4.5, for equal weighted indexes assuming a new provider is introduced in period t. A price is also observed for the new provider in period t-1 . The inclusion of the new provider causes the geometric mean to fall from $5.94 to $5.83. We do not want this price change to be reflected in the index but we do want to capture the effect of provider 4’s price movement between period t-1 and t.

TABLE 4.5 CHANGE IN SAMPLE - INTRODUCING A NEW RESPONDENT

Respondent
Period 0
Period t-2  
Period t-1  
Period 0
Period t-2  
Period t-1  

1
4.00
5.50
6.00
1.000
1.375
1.500
2
4.50
4.50
5.00
1.000
1.000
1.111
3
5.00
5.50
7.00
1.000
1.100
1.400
Geometric mean (GM)
4.48
5.14
5.94
1.000
1.148
1.326
1
4.00
6.00
6.50
1.000
1.500
1.625
2
4.50
5.00
5.50
1.000
1.111
1.222
3
5.00
7.00
7.00
1.000
1.400
1.400
4
0.00
5.50
6.00
1.000
1.326
1.447
GM (all items)
5.83
6.22
1.000
1.326
1.416
GM (matched sample)
5.94
6.30



4.38 In the case of the APR and GM formulae, this is done by:
  • setting the previous period price relative for period t for the new provider (4) equal to the average of the price relatives of the three providers included in period t-1 (1.326)
  • applying the movement in provider 4’s price between period t-1 and t to derive a price relative for period t (6.00/5.50x1.326=1.447).

4.39 For these two formulae, the average of the price relatives is effectively the index number, so the GM index for period t-1 is 132.6 and for period t is 141.6.

4.40 In the case of the RAP formula, the method is similar but prices are used instead of price relatives. The RAP formula uses the arithmetic mean of prices (not the arithmetic mean of the price relatives). The index for RAP can be calculated from the period to period price movements:
  • between the reference period and period t-1 , the movement in the average price was 1.333 (6.00/4.50) without the new provider
  • between period t-1 and t, the movement in the average price was 1.063 (6.25/5.88) including the new provider in both periods

thus the index for period t is 141.7 (1.333 1.063 100).
CHOOSING AN INDEX NUMBER FORMULA

4.41 As different index number formulae will produce different results, there is a need for some investigation to determine which formulae are more appropriate. Two main approaches have been used:
  • the evaluation of the performance of the formulae against a set of predetermined desirable mathematical properties or tests, the so-called 'axiomatic' approach
  • the economic approach.

4.42 There are several other practical aspects of price index construction that draw on the theory of price indexes. These are discussed in later chapters as follows:
  • dealing with quality change is discussed in Chapter 9
  • maintaining samples of products is discussed in Chapter 11
  • weighting of price indexes is discussed in Chapter 6 and Chapter 12
  • compilation of price indexes, including dealing with missing prices, is discussed in Chapter 10.

Footnote 1 The literature on price indexes is extensive. The intention of this chapter is to present a broad overview of the theory drawing heavily on documents that are in many cases overviews themselves as well as presenting an ABS perspective. For a detailed consolidation of producer price index theory and internationally recommended practices, see the Producer Price Index Manual, Theory and Practice (International Labour Organization (ILO), International Monetary Fund (IMF), Organisation for Economic Cooperation and Development (OECD), Statistical Office of the European Communities (Eurostat), United Nations Economic Commission for Europe (UNECE), and the World Bank, 2004). Available online: http://www.imf.org/external/np/sta/tegppi/. This chapter draws heavily on material from that manual. <back
Footnote 2 By convention, the initial value for an index series is made equal to 100.0 <back
Footnote 3 To quote Fisher (1922, p. 45) "… any index number implies two dates, and the values by which we are to weight the price ratios for those two dates will be different at the two dates. Constant weighting (the same weight for the same product in different years) is, therefore, a mere makeshift, never theoretically correct, and not even practically admissible when values change widely." <back
Footnote 4 The use of the geometric mean of the Laspeyres and Paasche indexes was first proposed by Pigou in 1920 and given the title 'ideal' by Fisher (1922). <back
Footnote 5 See Diewert (1993) for a discussion of symmetrical averages. <back
Footnote 6 The relationship between the Laspeyres and Paasche indexes holds while ever there is a 'normal' relationship (negative correlation) between prices and quantities, that is, quantity falls (rises if price rises (falls) between the two periods. <back
Footnote 7 Use of the RAP approach was first suggested by Dutot in 1738, the APR approach by Carli in 1764 and the geometric mean by Jevons in 1865 (see Diewert (1987)). Fisher (1922) described the RAP approach as the 'simple aggregative'. These are not the only possible formulae – another formula often mentioned in the literature is the harmonic mean. The harmonic mean of price relatives is given by the inverse of the arithmetic averages of the inverses of the relatives of the individual product prices, that is: Formula . The harmonic mean is equal to or lower than the geometric mean. Fisher (1922) also discusses use of the median and mode. <back
Footnote 8 The implicit weights applied by the three formulae are equal reference period quantities (RAP), equal reference period values (quantities inversely proportional to reference period prices) (APR) and equal value shares in both periods (GM). <back
Footnote 9 The geometric mean of n numbers is the nth root of the product of the numbers. For example, the geometric mean of 4 and 9 is 6 (Formula), while the arithmetic mean is 6.5 ( Formula). Although the geometric mean has been presented in terms of price relatives, the same result is obtained by taking the ratio of the geometric means of prices in each period, that is: Formula <back
Footnote 10 For a mathematical proof of this see Diewert (1995). The unweighted indexes will all produce the same result if all prices move in the same proportion (have the same relative). In addition, the RAP and APR will produce the same index number if all reference period prices are equal. In general, the RAP formula is expected to produce index numbers above but reasonably close to the GM. Diewert also refers to other studies that compare real world results for elementary aggregate formulae. <back
Footnote 11 For example, Woolford (1994) calculated these indexes for 23 fresh fruit and vegetable elementary aggregates of the Australian CPI over the period June 1993 to June 1994. He found that the GM produced the lowest increase in 16 of the 23 elementary aggregates and the APR produced the highest increase for 19 of the elementary aggregates. The RAP formula produced the middle estimate for 13 of the elementary aggregates. Combining the elementary aggregates to produce the fresh fruit and vegetables index, the index compiled using the APR estimates was 4.7% higher than the index based on GM estimates and the RAP was 1.7% higher than the index based on GM. <back
Footnote 12 See Diewert(1995) for further discussion of unit values. <back
Footnote 13 Szulc (1983) applied the term “price bouncing” to situation 3. <back