3301.0 - Births, Australia, 2008 Quality Declaration 
ARCHIVED ISSUE Released at 11:30 AM (CANBERRA TIME) 11/11/2009   
   Page tools: Print Print Page Print all pages in this productPrint All  
Contents >> Summary of findings >> STATE AND TERRITORY

STATE AND TERRITORY

Total fertility rate

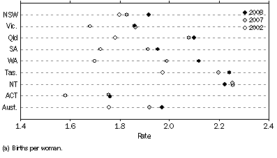
Total fertility rates for the states and territories varied substantially in 2008, from 1.76 babies per woman in the Australian Capital Territory to 2.24 babies per woman in Tasmania. In recent years the TFR has generally trended upwards for all jurisdictions excluding the Northern Territory, following a long period of stability or gradual decline.

Tasmania's TFR has increased from 1.81 babies per woman in 2000 to 2.24 babies per woman in 2008, the highest rate recorded for Tasmania since 1974 (2.42 babies). The TFR for Western Australia has increased consistently over the past six years, from a low of 1.70 babies per woman in 2002 to 2.12 babies per woman in 2008, the highest rate for this state since 1976.

Queensland's TFR has increased from 1.77 babies per woman in 2003 to 2.10 babies per woman in 2008, the highest rate recorded for Queensland since 1977 (2.11 babies). However, caution should be exercised when interpreting recent increases in Queensland's TFR, in particular, the increase between 2006 and 2007 (for more information see paragraph 29 of the Explanatory Notes).

Moderate increases in the TFR have been recorded for Victoria, the Australian Capital Territory and South Australia since around 2001, although rates for Victoria and the Australian Capital Territory remained the same between 2007 and 2008. Between 2001 and 2007 the TFR for New South Wales increased only slowly, with a larger increase between 2007 and 2008 (from 1.83 babies per woman to 1.92 babies per woman).

The Northern Territory's TFR has fluctuated at around 2.2 to 2.3 babies per woman since the mid 1980s.

2.10 TOTAL FERTILITY RATE(a), States and territories
Graph: 2.10 TOTAL FERTILITY RATE(a), States and territories



Age-specific fertility rates

In 2008 women aged 30-34 years recorded the highest fertility rates of all age groups in all states and territories with the exception of Tasmania and the Northern Territory, where women aged 25-29 years recorded the highest fertility rates. Between 2007 and 2008, all states and territories, with the exception of Victoria and Queensland, recorded increases in fertility rates for women aged 30-34 years. Western Australia recorded the largest increase, with women aged 30-34 years having 132.0 babies per 1,000 women in 2008 (up from 124.6 in 2007), followed by the Northern Territory (105.4 babies per 1,000 women in 2008, up from 98.5 in 2007).


Teenage fertility rates

At the national level, the teenage fertility rate in 2008 was 17.3 babies per 1,000 women aged 15-19 years, slightly higher than in 2007 (16.0 babies per 1,000 women aged 15-19 years). However, amongst the states and territories different patterns in teenage fertility rates exist. In 2008 the Australian Capital Territory (8.0) and Victoria (10.7) recorded the lowest teenage fertility rates in Australia, while the Northern Territory (52.2) recorded the highest.

The Northern Territory recorded a decrease in the teenage fertility rate (from 58.8 in 2007 to 52.2 in 2008), while Western Australia recorded an increase (from 20.5 in 2007 to 22.8 in 2008). The Australian Capital Territory also recorded a decrease in the teenage fertility rate while the remaining states recorded small increases.

2.11 Births to teenage mothers - 2007 and 2008

BIRTHS
TEENAGE FERTILITY RATE(a)
2007
2008
change
2007
2008
change
no
no
%
no
no
%

New South Wales
2 788
3 226
15.7
12.3
14.0
14.0
Victoria
1 731
1 864
7.7
10.0
10.7
6.2
Queensland
3 289
3 636
10.6
23.0
24.7
7.6
South Australia
902
953
5.7
17.5
18.3
4.7
Western Australia
1 485
1 686
13.5
20.5
22.8
11.3
Tasmania
437
449
2.7
27.4
27.6
0.4
Northern Territory
449
412
-8.2
58.8
52.2
-11.3
Australian Capital Territory
123
95
-22.8
10.3
8.0
-22.4
Australia(b)
11 204
12 326
10.0
16.0
17.3
8.1

(a) Births per 1,000 women aged 15-19 years. Includes births to women aged less than 15 years.
(b) Includes Other Territories.



Births

The three most populous states accounted for over three-quarters (77%) of births registered in Australia in 2008: 94,700 in New South Wales (32%), 71,200 in Victoria (24%) and 63,100 in Queensland (21%). These proportions reflect the proportions of the Australian female population in reproductive ages living in these states.

Between 2007 and 2008 all states and territories recorded increases in registered births (table 2.12). Western Australia and New South Wales recorded the largest proportional increases (up 9.2% and 5.8% respectively).

2.12 BIRTHS REGISTERED, States and territories - 2007 and 2008

Change
2007
2008
2007-2008
2007-2008
no.
no.
no.
%

New South Wales
89 495
94 684
5 189
5.8
Victoria
70 313
71 175
862
1.2
Queensland
61 249
63 132
1 883
3.1
South Australia
19 662
20 229
567
2.9
Western Australia
29 164
31 850
2 686
9.2
Tasmania
6 662
6 775
113
1.7
Northern Territory
3 894
3 942
48
1.2
Australian Capital Territory
4 753
4 804
51
1.1
Australia(a)
285 213
296 621
11 408
4.0

(a) Includes Other Territories.



Median age of parents at confinement

Of the states and territories, Victoria and the Australian Capital Territory had the oldest mothers of births registered in 2008, both with a median age of 31.6 years. The Northern Territory and Tasmania had the youngest mothers, with median ages of 28.1 years and 29.2 years respectively. The median age of all mothers who gave birth in Australia in 2008 was 30.7 years.

The Northern Territory and Tasmania also had the youngest fathers in 2008, with median ages of 31.4 and 31.9 years respectively, while Victoria and the Australian Capital Territory had the oldest fathers, both with a median age of 33.8 years. For Australia, the median age of all fathers (where age is known) was 33.1 years.


Nuptiality

In 2008, Victoria and the Australian Capital Territory recorded the highest proportion of births to parents in a registered marriage (both 72%), followed by New South Wales (70%).

The highest proportions of births to women who were not in a registered marriage were recorded in the Northern Territory (63%) and Tasmania (50%), with these regions also recording the highest proportions of births where paternity was not acknowledged (15% and 6% respectively). Note that the number of exnuptial births in Tasmania may be overstated. See paragraphs 36 to 38 of the Explanatory Notes for more information.







Previous PageNext Page