1220.0 - Australian Standard Classification of Occupations (ASCO) Second Edition, 1997
ARCHIVED ISSUE Released at 11:30 AM (CANBERRA TIME) 31/07/1997
Page tools:
Print Page
| ||||||||||||||||||||||||||||||||||||||||||
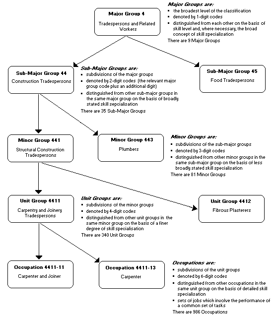
CLASSIFICATION STRUCTURE The Structure of ASCO Second Edition comprises five hierarchical levels: Major Group, Sub-Major Group, Minor Group, Unit Group and Occupation. Major groups Major groups are:
Sub-major groups Sub-major groups are:
Minor groups Minor groups are:
Unit groups Unit groups are:
Occupations Occupations are:
It should be noted that because there are more than nine unit groups within each of the Minor Groups 238 Miscellaneous Health Professionals, and 498 Miscellaneous Tradespersons and Related Workers, unit group codes within these minor groups commence with the digits 238 and 239, and 498 and 499 respectively. This 5-level hierarchy represents a change from ASCO First Edition where the structure consisted of four levels: Major Group, Minor Group, Unit Group and Occupation. The Sub-Major Group level has been added to the structure to enhance users' options for statistical output. The table below indicates the number of groups in each edition:
A schematic representation of the classification structure can be found below. In recognition of the need to maintain comparability and consistency between the two editions, changes at the unit group (four-digit) level have been made only where this was unavoidable. Despite changes to the unit group codes and titles, a large proportion of the First and Second Edition unit groups can be linked to facilitate time series analysis. In terms of comparability between ASCO First and Second Edition, approximately two-thirds of the old and new unit groups are directly comparable while the remaining First Edition unit groups have been distributed into a number of new unit groups in the Second Edition. Information on the relationships between categories in the two editions can be found in Appendixes A1, A2, B1 and B2. MAJOR STRUCTURAL DIFFERENCES BETWEEN FIRST AND SECOND EDITIONS The stricter approach to the application of the skill level criterion has resulted in changes to the way some occupations are classified in ASCO Second Edition. As explained in detail in Chapter 2, the nine major groups in the Second Edition are grouped into five skill levels. Major groups at the same skill level are differentiated according to a broad application of the skill specialisation concept. Managing supervisors Managers of small sales and service organisations and businesses which do not necessarily have a hierarchy of managers, are now classified in Major Group 3 Associate Professionals, in contrast to First Edition where they were classified in Major Group 1, along with Managers and Administrators. Clerical, sales and service occupations An important change has been the reorganisation of the First Edition Major Group 5 Clerks, and Major Group 6 Sales and Personal Service Workers, into three major groups at different skill levels. This better reflects the skill levels of the occupations they cover. There are now three major groups which cover all clerical, sales and service occupations--Major Group 5 Advanced Clerical and Service Workers, Major Group 6 Intermediate Clerical, Sales and Service Workers, and Major Group 8 Elementary Clerical, Sales and Service Workers. Air and Sea Transport Technical Workers The occupations in ASCO First Edition Minor Group 33 Air and Sea Transport Technical Workers have been moved to Major Group 2 Professionals in ASCO Second Edition and are included in Minor Group 254 Miscellaneous Professionals. Nurses The First Edition Minor Group 34 Registered Nurses has been moved to Major Group 2 Professionals and is now Minor Group 232, Nursing Professionals. In addition, the First Edition Unit Group 6603 Enrolled Nurses has been moved to Major Group 3 Associate Professionals and is now Minor Group 341 Enrolled Nurses. RESERVED CODES Occupation codes in ASCO end in odd digits to allow for future expansion of the classification without the need for substantial renumbering of the classification. Certain codes are reserved for residual categories and for supervisory and trainee occupations. Residual categories A set of codes is reserved for residual categories at the sub-major, minor and unit group levels of the classification. Two digit, three digit and four digit codes ending in '9' are reserved for the residual categories at the sub-major, minor and unit group levels respectively. In addition, the codes 238 and 498 are reserved for the minor group residual categories Miscellaneous Health Professionals and Miscellaneous Tradespersons and Related Workers respectively. At the occupation level, codes ending in '-79' and '-99' are reserved for residual occupation groups. Supervisors, apprentices and trainees At the occupation level there are two sets of reserved codes-those for supervisors and those for apprentices and trainees. Supervisory codes end in digits within the range '-01' to '-09'. Apprentice and trainee codes end in digits within the range '-81' to '-99' (the '-99' code being for residual apprentice or trainee occupation groups). SUPPLEMENTARY CODES Supplementary codes are used to process inadequately described responses in statistical collections. These codes are of two types:
Codes ending in zero are described as 'not further defined' (nfd) codes and are used to code responses which cannot be coded to the occupation level of the classification, but which can be coded to a higher level of the classification structure. For example, responses which cannot be identified as relating directly to a particular occupation category, but which are known to be within the range of occupations within a particular unit group are coded to that unit group. Such responses are allocated an nfd code consisting of the four-digit code of the unit group followed by '-00'. For instance, the response 'Medical Specialist' does not contain sufficient information to be coded directly to any particular occupation category, but it can be coded to Unit Group 2312 Specialist Medical Practitioners, which encompasses all medical specialists. It is thus allocated the code 2312-00 Specialist Medical Practitioners, nfd. Codes commencing with zero are used to process responses which do not provide sufficient information to be coded to any level of the structure. They are also used to process responses which are not covered by the current definition of the labour force (see Standards for Labour Force Statistics (Cat. no. 1288.0)) such as 'housewife', 'pensioner' and 'student'. A standard set of such codes is used in the ASCO Coding Index as follows:
Other codes commencing with zero may be defined by users to facilitate the processing and storage of data, when data sets coded to ASCO contain records for entities outside the scope of ASCO. For example, occupational activities which are wholly illegal in all States and Territories of Australia are excluded from ASCO. FORMAT OF THE DEFINITIONS This publication contains definitions for the major, sub-major, minor and unit groups, and all occupations in ASCO Second Edition. The format of the definitions may vary slightly between the hierarchical levels, but all contain similar elements. Major, sub-major, minor and unit group definitions The features of the major, sub-major, minor and unit group definitions are:
When describing the skill level of occupations in the different groups, the phrase 'most occupations in this major (or minor etc.) group have a level of skill commensurate with' is used to provide a general indication of the skill level of occupations within that group. The statement does not imply that persons employed in those occupations necessarily have (or need to have) the formal qualification or experience for entry into that occupation. Occupation definitions The main features of occupation definitions are as follows: Principal title The principal title is the title which best describes the particular occupation. It will generally be the most commonly used title, although there are exceptions in cases where the most commonly used title is too broad or too narrow for the ASCO occupation, or where occupations of different content are usually known by the same title. Alternative title Some titles are followed by an alternative title (or titles) listed directly below the principal title. These alternative titles have the same meaning as the principal title but may be less commonly used. Lead statement A concise description of the nature of the occupation, summarising the main activities undertaken. Skill level This specifies the usual entry requirements for the occupation, expressed in terms of the amount of formal education and/or training and previous experience. Special requirements such as registration or licensing are indicated under this heading. Tasks This list specifies a representative list of the primary tasks performed in the occupation. Specialisation titles There are commonly occurring titles referring to a subset of jobs belonging to the occupation designated in the principal title. These jobs involve the performance of specialised tasks rather than the broader range of tasks usually performed in the occupation. PROFILE OF THE ASCO SECOND EDITION STRUCTURE The structure of ASCO Second Edition has five levels:
The following is an illustration of a representative part of the ASCO Second Edition structure:
|
||||||||||||||||||||||||||||||||||||||||||
Print Page