1362.3 - Regional Statistics, Queensland, 2004  
ARCHIVED ISSUE Released at 11:30 AM (CANBERRA TIME) 15/10/2004  Final
   Page tools: Print Print Page Print all pages in this productPrint All

Note: This product is no longer available. Please refer to Themes - Regional Statistics -Varied range of data included for legal Local Government Areas, Statistical Districts and Statistical Divisions.


INTRODUCTION

Regional Statistics, Queensland 2004 is a compilation of selected statistics that demonstrates Queensland’s regional diversity through statistical analysis, tables and graphs. It brings together selected economic, social and environmental statistics from both the Australian Bureau of Statistics (ABS) and non-ABS sources to highlight aspects of life in Queensland.

The 2004 issue of Regional Statistics, Queensland for the first time includes a section which presents data by Remoteness Areas. This includes data on selected population characteristics, attendance at educational institutions and weekly family income.


POPULATION AND PEOPLE

Estimated Resident Population

The estimated resident population (ERP) of Queensland at 30 June 2003 was 3,796,244, which was 19.1% of the 19,880,599 persons in Australia.

AVERAGE ANNUAL POPULATION GROWTH RATE, Statistical Divisions - 1998-2003
Graph: Average annual population growth rate, Statistical Divisions - 1998-2003
Source: ABS data available on request, Population by Age and Sex, Australia (cat.no.3235.3.55.001).

Births and deaths

There were 47,771 births registered in Queensland, during the year ended December 2002. Most births occurred in the more urbanised south-east section of the state, with 46.7% of total births registered in Brisbane SD and 17.4% in Moreton SD.

In 2002, there were 23,968 deaths in Queensland. The majority of deaths were recorded in the south-east corner of Queensland with 42.4% of deaths registered in the Brisbane SD and 21.4% in the Moreton SD.

Measuring remoteness

The remoteness structure geographically classifies Australia into six areas according to their relative remoteness. Not all remoteness areas are represented in each state or territory. The six remoteness areas are: Major Cities of Australia; Inner Regional Australia; Outer Regional Australia; Remote Australia; Very Remote Australia and Migratory.
SELECTED CHARACTERISTICS, Remoteness Areas - 2001

Unit
Major Cities
Inner Regional
Outer Regional
Remote
Very Remote

Area
sq km
2,734.6
34,893.7
153,384.7
304,743.1
1,238,433.5
Population
persons
1,896,897
930,646
666,655
99,481
59,571
Population density
persons per sq km
693.7
26.7
4.4
0.3
0.1

Source: ABS Census of Population and Housing, 2001.


Population characteristics

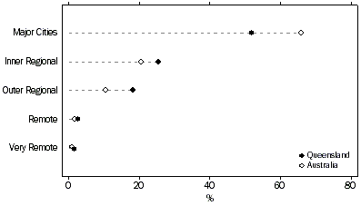
At the time of the 2001 Census, there were 3.65 million persons in Queensland. Of these people, 51.9% were located in Major Cities, a much lower figure than the 65.9% of Australians in Major Cities. In contrast, the 25.5% of Queenslanders in Inner Regional areas and the 18.2% within Outer Regional areas were significantly higher than the corresponding Australian levels of 20.6% and 10.5%. For Queensland, the populations in Remote (2.7%) and Very Remote (1.6%) regions were marginally greater than the national figures of 1.8% and 1.1% respectively.
POPULATION REMOTENESS AREAS, Queensland and Australia - 2001
Graph: Population remoteness areas, Queensland and Australia - 2001
Source: ABS Census of Population and Housing, 2001.


Educational institution attendance

Of the 3.65 million persons counted in Queensland during the 2001 Census, 70.2% were not attending any educational institution. The 347,676 (9.5%) students attending infants/primary schools were the largest population group in education, followed by 225,258 (6.2%) attending a secondary school and 137,486 (3.8%) university or other tertiary students.
Weekly family income

There were 1,275,420 families counted in occupied private dwellings in Queensland in 2001. The largest proportion of these families (9.8%) received a weekly family income between $800 and $999. Families receiving weekly income ranges of $300-$399 and $1,500-$1999 accounted for 9.3% and 8.9% of all families, respectively.

Health and public hospitals

At 30 June 2003, there were 175 public acute hospitals in Queensland. Since 1999, the total number of hospitals has reduced from 180, representing an overall decrease of 2.8%. In addition, there are 55 acute and psychiatric hospitals and 44 day surgeries in the private sector.

There were 704,794 episodes of admitted patient care during 2002-03, a 2.4% increase on 2001-02 but still 0.3% lower than the 707,227 episodes provided in 1998-99.

Crime

In the 2002-03 financial year, there were 438,958 incidents of crime reported in Queensland, a small increase of 2,324 incidents (0.5%) since 2001-02, following a large decline in the previous year. Property crime was the largest component with 278,995 incidents, representing 63.6% of all crime in Queensland in 2002-03.

REPORTED OFFENCES, Police Regions - 2001-02 to 2002-03
Graph: Reported offences, Police Regions - 2001-02 to 2002-03
Source: Queensland Police.

Road traffic accidents

In 2001-02, there were 18,607 persons involved (either killed or injured) in road traffic accidents. This represented an increase of 3,531 (23.4%) since 1999-2000. There were 320 persons killed in road traffic accidents during 2001-02, which was 1.7% of persons involved in Queensland accidents.


ENVIRONMENT
Waste management

Since March 2000, the number of Queensland households recycling waste has grown by 97,500 (7.6%). In March 2003, 94.5% (1,380,600) of all Queensland households recycled waste.
HOUSEHOLD WASTE MANAGEMENT - 2000-2003
Graph: Household waste management - 2000-2003
Source: ABS data available on request, Environmental Issues, People's Views and Practices (cat. no. 4602.0).


Use of Transport

In March 2000, the 1,370,200 persons who used private vehicles to travel to work or study in Queensland, represented 81.9% of the total adult population. By March 2003, this number had decreased to 1,266,400 persons, representing 78.4% of the total adult population.
USE OF TRANSPORT - 2000-2003
Graph: Use of transport - 2000-2003
Source: ABS data available on request, Environmental Issues,
People's Views and Practices (cat. no. 4602.0).


ECONOMY AND INDUSTRY

Labour Force status in annual average terms 2001–2003

The number of employed persons in Queensland rose from 1,691,900 in 2001 to 1,816,500 in 2003, in annual average terms. This represented an increase of 124,600 persons or 7.4%. The rate of growth in employment exceeded the 5.5% growth in the labour force. The number of unemployed persons declined by 22,700 (14.7%) to 131,300. This combined with a marginal change in labour force participation (64.8% to 64.9%) led to a fall in the unemployment rate of 8.3% to 6.7%.
LABOUR FORCE STATUS(a), Major Statistical Regions - 2003

Graph: Labour force status(a), Major Statistical Regions - 2003
Source: ABS data available on request, Labour Force, Australia (cat. no. 6202.0).

Unemployment rates continued to fall in the state and across both major statistical regions in Queensland, from 2001 to 2003 (see graph below). Brisbane MSR made the major contribution to the fall in the unemployment rate for Queensland.

Regional Small Business in Queensland

Improving livestock prices and strong population growth contributed to increases in small business income in Queensland from 1995–96 to 2000–01. Business income taxation returns show that overall, income to small businesses (those with total income or expenses between $10,000 and $5m) grew by 15% in Queensland from 1995–96 to 2000–01.

Housing and Construction

In August 2001, there were 1.48 million private dwellings counted in Queensland. Of these, 91.4% (1.36 million) were occupied private dwellings and 8.6% (0.13 million) were unoccupied private dwellings.

Separate houses were by far the main type of private dwelling in Queensland. They accounted for 70.5% of all private dwellings and housed 84.0% of the population.

Building Approvals

In Queensland, from July 2002 to June 2003, there were 41,144 approvals for building. The number of approvals was driven by demand from the private sector (98.4%).

The total value of these approvals in 2002–03 was $10,226.6m. This value included $4,285.3m for new dwellings (41.9% of total value) and $679.0m (6.6%) for alterations and additions. The total value of building approvals rose by $4,078.1m or 66.3% in Queensland between 2000–01 and 2002–03. The value of alterations and additions rose by $261.2m, which was 62.5% higher between 2000–01 and 2002–03.

Internet Activity State Summary

At the end of the March quarter 2003, there were 146 Internet Service Providers (ISPs) in Queensland, a decline of 3.3% from March 2002. In contrast, the number of Internet subscribers in Queensland increased from 862,500 in March 2002 to 886,300 subscribers in March 2003. However, the Queensland proportion of Internet subscribers decreased from 20.4% in 2002 to 17.5% of the Australian total of 5,076,000 subscribers in 2003.
Tourist accommodation

Takings from accommodation in Queensland in 2003 were $1,434.8m. Takings were highest in the Gold Coast, Tropical North Queensland and Brisbane Tourism Regions, which contributed 25.0%, 22.0% and 19.5% respectively to the state total.
TAKINGS FROM ACCOMMODATION, Tourism Regions - 2003
Graph: TAKINGS FROM ACCOMMODATION, Tourism Regions - 2003
Source: ABS data available on request, Tourist Accommodation, Australia (cat. no. 8635.0)



STATE SUPPLEMENTARY SURVEY

The October 2003 Queensland State Supplementary Survey obtained information on two topics, Bicycle Usage and Household Telephone Connections.

Bicycle usage

In October 2003, an estimated 686,700 (46.6%) of the 1,473,200 private dwellings in Queensland had at least one bicycle in good working order. The proportion of households with bicycles varied across the state, from 37.9% in the Brisbane City Inner Ring Statistical Region (SR) to 53.6% in the North and West Moreton SR.

Household telephone connections

In October 2003, an estimated 1,403,500 (95.3%) of the 1,473,200 households in Queensland had at least one fixed telephone connection. Couples with dependents accounted for 32.0% of all households with connections, followed by couple only households (27.4%), persons living alone (21.7%) and single parent households (8.8%).


FURTHER INFORMATION

In compiling Regional Statistics, Queensland 2004, the ABS has used data from a variety of its collections. Non-ABS data have been provided by Commonwealth and state government departments and agencies as well as the private sector.

The ABS has taken every care in compiling the non-ABS data into statistical divisions (SDs), local government areas (LGAs) and statistical districts (S Dists) as designated in the Australian Standard Geographical Classification (ASGC). Any questions regarding the non-ABS data should be addressed to the department or agency of origin.

Information in Regional Statistics, Queensland 2004 is divided into two main parts: four chapters provide analysis of social, economic and environmental statistics at the regional level and three chapters contain tables with data for the state and its SDs, LGAs and S Dists. The content of each chapter is shown as follows:
  • Chapter 1 presents population characteristics of the state. The topics include population growth, births, deaths, causes of death, selected characteristics for remoteness regions, health, law and order, and traffic accidents.
  • Chapter 2 discusses the environmental issues of waste management, motor vehicle ownership and transport use.
  • Chapter 3 covers the topics of labour force status, employment by industry, regional small business, housing and construction, Internet activity, tourist accommodation and transport.
  • Chapter 4 reports the results of the most recent state supplementary survey, bicycle usage and household telephone connections.
  • Tables of data in Chapters 5, 6 and 7 provide a comparison of a range of topics across the statistical areas for the state, the 11 SDs, the 158 LGAs and 10 S Dists. New data items contained in this issue include disability support pensions and motor vehicle sales. Each set of tables is preceded by maps showing the boundaries of the SDs and LGAs. Accompanying text provides a regional summary.

Wherever possible, data are for 2003 or the latest available if 2003 data are not available. When analysing the data, care needs to be taken as time periods, definitions, methodologies, scope and coverage may differ between collections.

Further Queensland and regional data are available in Queensland in Review on the ABS web site.