4130.0.55.001 - Housing Occupancy and Costs, Australia, 2000-01  
ARCHIVED ISSUE Released at 11:30 AM (CANBERRA TIME) 21/04/2004   
   Page tools: Print Print Page Print all pages in this productPrint All

APPENDIX 1 ABS HOUSING STATISTICS


In addition to the SIHC there are two other ABS household surveys that have collected housing costs data. They are the Household Expenditure Survey (HES) and the Australian Housing Survey (AHS). The purpose and methodology of each survey are different and as a result the measures of housing costs also differ.

For some purposes it is useful to make the distinction, within mortgage repayments, between the interest component and the principal or capital component. The latter reflects the accumulation of a housing asset through increasing the equity in the property held by the household and is an addition to wealth. For practical purposes, the payments of interest and principal on loans and mortgages were not collected separately in the SIHC. Some data have also been collected in the HES on the split between interest and capital repayments on mortgages. (See table below.)

At a broader level, housing costs might also include a range of other outlays which are necessary to ensure that the dwelling can continue to provide an appropriate level of housing services. These include repairs, maintenance and dwelling insurance. For some other purposes, the cost of providing utilities such as electricity and water may also be required. Although such information is not available from this survey, the HES provides detailed information on the expenditure by households on a wide range of goods and services, and readers are referred to publications from that survey for further information.

The table below summarises what has been collected on housing costs in the past in the HES, SIHC and AHS.



Housing cost data items
HES
AHS
SIHC


Current housing costs
Mortgage/loan interest(a)
yes
yes
yes
Rent
yes
yes
yes
Rates
General
yes
yes
yes
Water/sewerage
yes
yes
yes
Body corporate
yes
yes
Repairs and maintenance
Total
yes
yes
Payment to contractors/materials and labour
yes
By occupant/materials only
yes
Land tax
yes
Building insurance(b)
yes
Capital housing costs
Mortgage/loan principal(a)
yes
yes
yes

(a) Includes interest on a mortgage or loan taken out to buy, build, add to, or alter the dwelling. Principal and interest are not collected separately by SIHC or AHS.
(b) Building and contents insurance combined.

Future ABS housing surveys

The AHS was last conducted in 1999, with significant user-funding provided by the Commonwealth Departments of Family and Community Services, the Commonwealth Department of Industry, Science and Resources, the 6 state housing authorities and Australian Capital Territory Housing. The 1999 AHS incorporated a significant supplementary sample to provide estimates for the housing circumstances of Aboriginal and Torres Strait Islander Australians (excluding those living in sparsely settled or remote areas of Australia).

A 1998-99 review of the ABS household survey program concluded that the content of the 1999 AHS was already largely covered in other ABS surveys and that it would be more cost effective to collect the required additional information in existing survey vehicles. The two main topic areas not covered by other surveys were physical information about the dwelling and information about housing mobility. These areas will be covered by a housing supplement to the 2007-08 Survey of Income and Housing Costs, which has been renamed the Survey of Income and Housing to reflect its wider housing information content in each cycle, but most significantly in the cycle with supplementary physical and mobility information. This supplement is expected to be conducted 6 yearly thereafter to provide comparative information for the housing information collected six yearly in the ABS National Aboriginal and Torres Strait Islander Social Survey (NATSISS).



APPENDIX 2 SAMPLING VARIABILITY


INTRODUCTION


The estimates in this publication are based on information obtained from the occupants of a sample of dwellings. Therefore, the estimates are subject to sampling variability and may differ from the figures that would have been produced if information had been collected for all dwellings. One measure of the likely difference is given by the standard error (SE), which indicates the extent to which an estimate might have varied because only a sample of dwellings was included. There are about two chances in three that the sample estimate will differ by less than one SE from the figure that would have been obtained if all dwellings had been included, and about 19 chances in 20 that the difference will be less than two SEs. Another measure of the likely difference is the relative standard error (RSE), which is obtained by expressing the SE as a percentage of the estimate.

For estimates of population sizes, the size of the SE generally increases with the level of the estimate, so that the larger the estimate the larger the SE. However, the larger the sampling estimate the smaller the SE in percentage terms (RSE). Thus, larger sample estimates will be relatively more reliable than smaller estimates.

In the tables in this publication, estimates with high RSEs, particularly those over 25% should be used with caution. Each table containing numerical data also contains the RSEs for that data.



RSEs OF COMPARATIVE ESTIMATES


Proportions and percentages

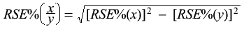
Proportions and percentages, which are formed from the ratio of two estimates, are also subject to sampling errors. The size of the error depends on the accuracy of both the numerator and the denominator. For proportions where the denominator is an estimate of the number of households in a grouping and the numerator is the number of households in a sub-group of the denominator group, the formula for the RSE is given by

EQUATION: RSE% (x / y) = square root of ( [RSE (x)] squared - [RSE (y)] squared )

Differences between estimates

The difference between survey estimates is also subject to sampling variability. An approximate SE of the difference between two estimates (x-y) may be calculated by the formula:

EQUATION: SE (x - y) = square root of ( [SE (x)] squared + [SE (y)] squared )

This approximation can generally be used whenever the estimates come from different samples, such as two estimates from different years or two estimates for two non-intersecting subpopulations in the one year. If the estimates come from two populations, one of which is a subpopulation of the other, the standard error is likely to be lower than that derived from this approximation, but there is no straightforward way of estimating how much lower.


BACK TO MAIN FEATURES