INTRODUCTION
This publication presents results from an Australian Bureau of Statistics (ABS) survey of businesses engaged in cafe and restaurant services. The survey was conducted in respect of the 2003-04 financial year. This is the fifth ABS survey of cafe and restaurant services. Previous collections were conducted in respect of the 1998-99, 1991-92, 1986-87 and 1979-80 financial years.
COMPARISONS WITH PREVIOUS SURVEY RESULTS
While comparisons are made between 2003-04 survey results and 1998-99 survey results, the Cafes and Restaurants Survey has not been designed to provide highly accurate estimates of change, so any comparisons made to the previous survey should be used with caution. For further information, see paragraph 21 of the Explanatory Notes.
MORE INFORMATION ON ABS SERVICE INDUSTRIES STATISTICS
Information about ABS activities in the field of service industries statistics is available from the Service Industries Statistics theme page on the ABS web site <www.abs.gov.au>. To access the theme page, select 'Themes' from the menu on the home page.
COMMENTS
The ABS welcomes comments and suggestions from users regarding future surveys of Service Industries. These comments should be addressed to the Director, Service Industries Business Statistics Centre, Australian Bureau of Statistics, GPO Box 2796Y, Melbourne, Vic. 3001.
ROUNDING
Where figures have been rounded, discrepancies may occur between the sum of component items and the total.
INQUIRIES
For further information about these and related statistics, contact the National Information and Referral Service on 1300 135 070 or William Milne on Melbourne (03) 9615 7862.
MAIN FEATURES
INTRODUCTION
This publication presents results of the 2003-04 Cafes and Restaurants Survey. This survey is conducted periodically by the ABS to provide detailed measures of the performance, structure and activity of cafe and restaurant businesses operating in Australia. It includes aspects such as: the composition of income earned, details of expenses incurred and the characteristics of the workforce. A state/territory dimension is also presented.
The survey scope included employing and significant non-employing businesses in Australia that generated income predominantly from the provision of meals for consumption on premises. This included the operation of cafe, restaurant and catering services businesses and contracted chefs/cooks. Businesses mainly engaged in takeaway food retailing were excluded from this survey.
For ease of reading, reference to all businesses within scope of the survey are referred to collectively as cafe and restaurant services. Businesses involved in the operation of cafes and restaurants are referred to as cafe and restaurant businesses, and businesses involved in catering or contract chefs/cooks are referred to as catering businesses.
SUMMARY OF FINDINGS
At the end of June 2004 there were a total of 15,083 businesses operating in cafe and restaurant services in Australia. This comprised 13,286 cafe and restaurant businesses and 1,796 catering businesses. Combined, these businesses had employment of 188,102 persons.
During 2003-04, income generated by businesses in cafe and restaurant services was $10,129.6m, which represented an average of $671,600 per business. Total expenses incurred for this same period were $9,733.2m.
The total industry value added by these businesses was $4,158.2m, which is the equivalent of 0.5% of Australia's gross domestic product (GDP) for 2003-04.
During 2003-04, the operating profit before tax for these businesses was $404.4m, resulting in an operating profit margin of 4%.
BUSINESS CHARACTERISTICS
At the end of June 2004, there were 15,083 businesses in cafe and restaurant services. These businesses had 15,567 locations around Australia. Three quarters (75.1%) of these locations were based in metropolitan areas.
At the end of June 2004 there were 1.1 million seats available for dining in cafe and restaurant businesses.
More than a third (34.1% or 5,151) of all cafe and restaurant services businesses were licensed cafes and restaurants. Unlicensed cafe and restaurant services businesses accounted for 21% (3,167) of the total. There were similar proportions of businesses operating combined licensed and BYO cafes and restaurants, and BYO only cafes and restaurants (16.5% or 2,493 and 16.4% or 2,476 respectively). Catering businesses accounted for 11.9% (1,796) of all businesses.
At the end of June 2004, 51.8% (7,820) of businesses in cafe and restaurant services had access to the Internet, while 20.7% (3,126) had a web presence.
SOURCES OF INCOME
During 2003-04 businesses predominantly involved in the provision of cafe and restaurant services generated a total of $10,129.6m in income. Cafe and restaurant businesses accounted for 69.9% ($7,085.1m) of this income and catering businesses 30.1% ($3,044.6m).
The graph below shows that the main source of income for cafe and restaurant services was takings from meals consumed on the premises, comprising just over half (50.7% or $5,131.4m) of total income. Takings from catering services accounted for just under a quarter (23.3% or $2,356.4m) of all income, while sale of liquor and other beverages accounted for 16.4% ($1,666.2m).
Selected Sources of Income(a)

The majority (71.7% or $5,079.4m) of income for cafe and restaurant businesses came from takings from meals consumed on the premises and the sale of liquor and other beverages (20.7% or $1,463.7m). Takings from catering services (75.3% or $2,292m) and other services, such as contracting and subcontracting (13.8% or $421.3m) accounted for the majority of income for catering businesses.
EMPLOYMENT
At the end of June 2004, there were 188,102 persons working in cafe and restaurant services. Cafe and restaurant businesses accounted for 76.1% (143,171 persons) of total employment and catering businesses 23.9% (44,932 persons).
Cafe and restaurant services were dominated by a large casual work force, accounting for just over half (53.4% or 100,460 persons) of all employment. Permanent full-time employees accounted for just over a quarter (25.4% or 47,740 persons) of all employment, while permanent part-time employees accounted for 13.7% (25,824 persons).
Females comprised just over half (53.7% or 100,926 persons) of all employment. Most females (61.6% of total female employment) worked as casuals. Males also occupied more casual positions (43.9% of total male employment), however, they also were more likely to occupy full-time positions (34.3%) than females (17.7%).
There were 14,079 (7.5%) working proprietors and partners of unincorporated businesses at the end of June 2004.
At the end of June 2004, staff were more likely to be employed as waiters/waitresses (76,030 persons or 40.4%). Combined, qualified and other chefs/cooks accounted for 21.8% (41,053) of all persons employed, while kitchen hands comprised 17.6% (33,144 persons) of total employment.
EXPENDITURE
Cafe and restaurant services incurred $9,733.2m in expenses during 2003-04. Overall, purchases was the highest single expense item accounting for 39% ($3,800.6m) of the total, followed by labour costs (35.7% or $3,479.1m) and rent, leasing and hiring (8.8% or $853.7m). However, the significance of different expenses varied by type of business. For catering businesses, labour costs (42.6%) were the most significant expense, whereas the most significant expense for cafe and restaurant businesses was purchases (40%). For cafe and restaurant businesses rent, leasing and hiring of land, buildings and other structures was a significant item (10.4%), whereas it was less significant (2.6%) for catering businesses.
The average labour costs per employee for all cafe and restaurant services was $20,000. Catering businesses had higher labour costs per employee ($28,200) than cafe and restaurant businesses ($17,300).
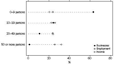
SIZE OF BUSINESSES
The graph below shows that the majority (63.4%) of businesses in cafe and restaurant services employed less than 10 persons. These businesses accounted for 20.6% ($2,094.1m) of total income which represented $219,200 per business. The total operating profit before tax of these businesses was $42.7m.
Larger businesses (those employing 50 persons or more) on the other hand accounted for only 1.2% of all businesses, but generated just under a third of all income (32.4% or $3,284.6m). This represented $18.2m per business. The operating profit before tax of these businesses was $174m.
KEY CHARACTERISTICS BY BUSINESS SIZE

STATES AND TERRITORIES
The graph overleaf shows that New South Wales accounted for the highest share of key business activity - business counts, income and employment - followed by Victoria and Queensland. New South Wales accounted for 38.3% (5,770) of all cafe and restaurant services businesses which exceeded its population share (33.5%), whereas Victoria (23.3%) and Queensland (18.7%) were more in line with their population shares (24.7% and 19.3% respectively).
New South Wales accounted for just over a third of all income (33.5%), while Victoria accounted for 23.9% and Queensland 18.8%. The Northern Territory and Tasmania accounted for similar proportions of income (1.5% and 1.4% respectively).
Employment in New South Wales comprised just under a third of all employment (31%), while Victoria had just under a quarter (24.9%). Queensland had 20% of all employment.
KEY CHARACTERISTICS BY STATE AND TERRITORY

HISTORICAL COMPARISONS
Comparisons with results from earlier surveys are useful as an indication of the extent of change over time. However, the survey was not designed to provide highly accurate estimates of change, so any comparisons with results from previous surveys should be made with caution. Estimates of change can be subject to changes to scope and coverage or question wording, or high levels of sampling error. Further information can be found in paragraph 21 of the Explanatory Notes.
Taking into consideration these limitations, the 2003-04 survey results indicate that cafe and restaurant services businesses experienced growth between 1998-99 and 2003-04 financial years.
Income grew by 7.1% per annum since 1998-99 (from $7,174.3m to $10,129.6m), while expenditure grew at the slightly higher rate of 7.4% per annum (from $6,805.2m to $9,733.2m) for this same period.
Sale of liquor and other beverages grew at a higher rate (8.3% per annum) than takings from meals consumed on the premises (5.4% per annum). Takings from catering services increased by 13.3% per annum, however, part of this apparent growth was likely to be attributable to improved coverage of the 2003-04 survey.
Employment increased by 4.3% per annum, from 152,107 persons at the end of June 1999 to 188,102 persons at the end of June 2004.
Labour costs had the highest growth rate of all selected expenses, rising by 10.5% per annum.
The operating profit before tax grew at an average annual rate of 3.9% per annum (from $334.2m in 1998-99 to $404.4m in 2003-04), however, the operating profit margin decreased from 4.8% to 4%.
The available seating in cafe and restaurant businesses increased by 0.4% per annum.
SUMMARY OF OPERATIONS BY BUSINESS TYPE |
|  |
 |  |  | Cafes and restaurants | Catering and other | Total |  |
|  |
| Businesses at end June | no. | 13,286 | ^1,796 | 15,083 |  |
| Employment at end June | no. | 143,171 | 44,932 | 188,102 |  |
| Income |  |  |  |  |  |
 | Takings from meals consumed on the premises | $m | 5,079.4 | ^52.1 | 5,131.4 |  |
 | Takings from takeaway food | $m | ^362.6 | ^31.0 | 393.6 |  |
 | Takings from catering services | $m | ^64.4 | 2,292.0 | 2,356.4 |  |
 | Sale of liquor and other beverages | $m | 1,463.7 | 202.5 | 1,666.2 |  |
 | Government funding | $m | *8.0 | **1.0 | *9.0 |  |
 | Other | $m | ^107.0 | 466.0 | 573.0 |  |
 | Total | $m | 7,085.1 | 3,044.6 | 10,129.6 |  |
| Expenses |  |  |  |  |  |
 | Labour costs | $m | 2,249.8 | 1,229.3 | 3,479.1 |  |
 | Purchases | $m | 2,740.6 | 1,060.1 | 3,800.6 |  |
 | Rent, leasing and hiring | $m | 751.1 | ^102.6 | 853.7 |  |
 | Other | $m | 1,103.7 | 496.2 | 1,599.8 |  |
 | Total | $m | 6,845.1 | 2,888.1 | 9,733.2 |  |
| Operating profit before tax | $m | ^240.2 | 164.2 | ^404.4 |  |
| Operating profit margin | % | ^3.4 | 5.4 | ^4.0 |  |
| Industry value added | $m | 2,737.0 | 1,421.2 | 4,158.2 |  |
| Businesses with access to the Internet at end June | no. | 6,585 | ^1,235 | 7,820 |  |
| Businesses with a web presence at end June | no. | 2,575 | ^551 | 3,126 |  |
| Available seating | '000 | 1,080 | . . | 1,080 |  |
|  |
| ^ estimate has a relative standard error of 10% to less than 25% and should be used with caution |
| * estimate has a relative standard error of 25% to 50% and should be used with caution |
| ** estimate has a relative standard error greater than 50% and is considered too unreliable for general use |
| . . not applicable |