3235.5 - Population by Age and Sex, Western Australia, Jun 2000  
ARCHIVED ISSUE Released at 11:30 AM (CANBERRA TIME) 29/06/2001  Ceased
   Page tools: Print Print Page Print all pages in this productPrint All

Final Issue - This publication is being replaced by Population by Age and Sex, Australia (Cat. No. 3235.5.55.001) Companion Data.

SUMMARY

The estimated resident population of Western Australia at 30 June 2000 was 1,883,860, representing an increase of 26,274 persons, or 1.4%, since 30 June 1999.

Almost three quarters (73%) of the State population resided in the Perth Statistical Division, this proportion having remained virtually unchanged since 1991.

In the 12 months to June 2000, population continued to rise in all statistical divisions except the Pilbara and Upper Great Southern which experienced decreases of 1.6% (648 persons) and 0.4% (86 persons) respectively.


MEDIAN AGE

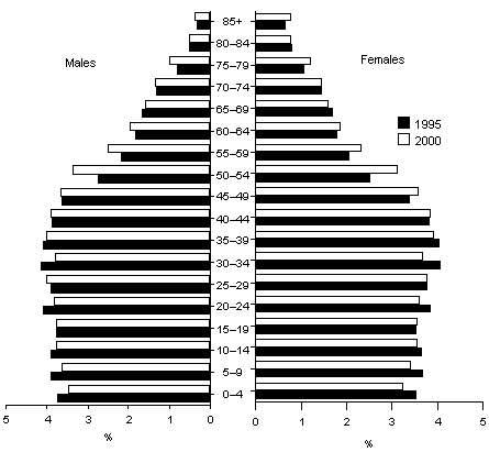
The population of Western Australia, like the Australian population in general, has been ageing steadily over the last twenty years. The median age of the Western Australian population rose from 28.2 years in 1980 to 34.2 in 2000. In comparison, the median age of the Australian population rose from 29.4 years to 35.2 years over the same period.

Among the statistical divisions in Western Australia, the highest median age was recorded by the Lower Great Southern (36.6 years). Seven statistical local areas outside Perth had a median age over 40 years. These were Sandstone, Shark Bay, Tammin, York, Koorda, Nungarin and Murray. Of these, Sandstone, Tammin, and Nungarin had a population of less than 500 whereas the population of Murray was over 10, 000. The highest median age within the Perth Statistical Division was recorded by the City of Nedlands (39.8 years).

Lower median ages occurred in the remote northern and eastern parts of the State, with the Kimberley having the lowest median age (28.3 years) of any statistical division. This reflects the younger "working age" profile of the adult population and the relatively large proportion of Indigenous residents, who have generally higher fertility rates and lower life expectancy. These trends were mirrored in statistical local areas such as Mullewa, Derby - West Kimberley, Halls Creek, Ngaanyatjarraku and Wyndham - East Kimberley. All of these areas had a median age under 28 years.


POPULATION DISTRIBUTION

Percentage of Population in Age Groups, Western Australia
graph - Percentage of Population in Age Groups, Western Australia



Persons aged 0-14 years

In 2000, children aged 0-14 years formed 21% of the population of the State and of Australia. The growth rate for this age group, in the 12 months to June 2000, was 0.1% in Western Australia, compared with 0.03% nationally.

The statistical divisions with the largest proportion of children were the Kimberley and the Pilbara, each with about 28% of the population in this age group, while the smallest proportion occurred in the Perth Statistical Division (20%).

For statistical local areas, the smallest proportions of children (under 10%) were recorded in inner city areas, notably Perth - Inner, Perth - Remainder and Fremantle - Inner, as well as in the remote Shire of Wiluna. The largest proportions of children were recorded in Ashburton, Mullewa, Kent and Dalwallinu, all of which had more than 30% of the population in this age group. A statistical local area in the Perth Statistical Division with an exceptionally large proportion of children was Wanneroo - North-West, where 30% of the residents (7,138 out of 24,043) were aged 0-14 years. This large outer suburban area includes some of the newest single family housing in the Perth Statistical Division.

Persons aged 15-64 years

In the 12 months to June 2000, the number of adults in the 15--64 age group in Western Australia grew by 1.7% to an estimated 1,285,198 persons, representing 68% of the total State population. Nationally, the number of people in this age group grew by 1.4% over the same 12 month period.

The South Eastern and Pilbara Statistical Divisions had the largest proportion of people in this age group (70% in each case), followed by the Perth Statistical Division (69%) and the Kimberley Statistical Division (68%).

Mining operations in remote statistical local areas such as Wiluna, Leonora, Laverton and Menzies resulted in these areas having larger proportions of "working age" adults (relative to children and older persons). Within the Perth Statistical Division, inner city areas had the largest proportion of people in the 15-64 age group. These included the statistical local areas of Perth - Remainder, Perth - Inner, Fremantle - Inner and Subiaco.

The Lower Great Southern Statistical Division had the smallest proportion of people in this age group (63%), followed by the South West Statistical Division (64%). The statistical local area of Tammin had the smallest proportion of people in the 15-64 age group, followed by Williams, Murchison, Dalwallinu and Quairading. Within the Perth Statistical Division, the statistical local area of Wanneroo - North-West had the smallest proportion of "working age" adults (63%), followed by Rockingham and Peppermint Grove (each with 64%).

Persons aged 65 years and over

In the 12 months to June 2000, the number of older people (aged 65 years and over) in Western Australia rose by 2.3%, compared with 1.7% nationally. In this age group, the number of females exceeded the number of males in the Western Australian population, with 80.6 males for every 100 females.

In June 2000, people aged 65 years and over accounted for 11% of the State population. However, this proportion was larger in the statistical divisions of the Lower Great Southern and the South West (13% in both cases). In contrast, the Pilbara and the Kimberley had only 2% and 4% of their respective populations in this age group.

Within the Perth Statistical Division, Claremont and Victoria Park, two older established residential areas close to the central business district, had the highest proportion of older people (both around 18%). Outside of Perth, the statistical local areas of Tammin, Albany - Central and Corrigin had similar concentrations of people in this age group.

The smallest proportions of people aged 65 and over occurred in the Pilbara, particularly in Roebourne, Ashburton and Port Hedland, as well as in the Eastern Goldfields region, notably Coolgardie and Laverton. In all of these statistical local areas, the proportion of the population in this older age group was less than 3%. Joondalup - North, a newer residential area on the northern fringes of the metropolitan region, had the smallest proportion of older people in the Perth Statistical Division (6%).

Persons aged 85 years and over

In June 2000, people aged 85 years and over accounted for 1.2% of the total State population and 11% of those aged 65 years and over.

In the 12 months to June 2000, the number of people in this age group rose by 5.6%, compared with 6.1% nationally. Over the five year period 1995 to 2000, there was an increase of 31% in the number of people aged 85 years and over. This compares with a total population increase of only 9% over the same period. The growth in this age group is in part due to increased life expectancy of both men and women. In June 2000, there were more than twice as many females (14,967) as males (6,741) aged 85 years and over, reflecting the greater life expectancy of women.

Statistical local areas with relatively large proportions (more than 3.5%) of people aged 85 years and over included Murchison, Claremont, Victoria Park, Westonia and Stirling - South-Eastern. However, the total populations of Murchison and Westonia were less than 500. The statistical local areas of Roebourne, Coolgardie, Port Hedland, Wanneroo - North-West and Broome had the smallest proportion of people aged 85 years and over.

Sex ratio

In June 2000, the sex ratio (number of males per 100 females) for Western Australia was 101.4, with 948,636 males and 935,224 females. This compares with a sex ratio of 99.2 at the national level. Only the Northern Territory had a higher sex ratio with 112.2 and South Australia had the lowest (97.8).

Males outnumbered females in all statistical divisions except Perth where there were 693,814 females and 687,313 males. The sex ratio ranged from 99.0 in Perth to 125.0 in the Pilbara.

For people in the 15-64 "working age" group, the highest ratio of males to females was in statistical local areas dominated by the mining and pastoral industries, such as Wiluna, Sandstone, Yalgoo, Leonora and Laverton. The lowest ratios occurred in Perth, in the established residential areas of Peppermint Grove and Mosman Park, and in the south of the State in Albany - Central, Busselton and Denmark.