4442.0 - Family Characteristics, Australia, 2009-10  
ARCHIVED ISSUE Released at 11:30 AM (CANBERRA TIME) 27/05/2011   
   Page tools: Print Print Page Print all pages in this productPrint All

TECHNICAL NOTE DATA QUALITY


RELIABILITY OF ESTIMATES

1 Since the estimates in this publication are based on information obtained from persons and households in a sample of dwellings, they are subject to sampling variability. That is, the estimates may differ from those that would have been produced if all dwellings had been included in the survey.

2 One measure of the likely difference is given by the standard error (SE), which indicates the extent to which an estimate might have varied by chance because only a sample of dwellings was enumerated. There are about two chances in three (67%) that a sample estimate will vary by less than one SE from the population parameter that would have been obtained if all dwellings had been enumerated, and about 19 chances in 20 (95%) that the difference will vary by less than two SEs.

3 Another measure of the likely difference is the relative standard error (RSE), which is obtained by expressing the SE as a percentage of the estimate.

Equation: Calculating the relative standard error

4 RSEs for all estimates (with the exception of 1997 data) are included in the spreadsheet tables, available on the ABS website <www.abs.gov.au> as an attachment to this publication, Family Characteristics, Australia, 2009-10 (cat. no. 4442.0). SEs for 1997 data are available in the 1997 edition of the publication (see 'Past and Future Releases' on the ABS website for cat. no. 4442.0).

5 In the tables in this publication, only estimates (numbers or proportions) with RSEs less than 25% are considered sufficiently reliable for most purposes. However, estimates with larger RSEs have been included and are annotated in the tables to indicate they are subject to high SEs and should be used with caution. Estimates with RSEs greater than 50% are also annotated to indicate that they are considered too unreliable for general use.


CALCULATION OF STANDARD ERRORS

6 Standard errors can be calculated using the estimates (numbers and proportions) and the corresponding RSEs. For example, Table 2 shows that the estimated number of persons in Australia living in group households was 594,000. The RSE table corresponding to the estimate in Table 2 (available from the Downloads tab for cat. no. 4442.0) shows the RSE for this estimate is 5%. The SE is calculated by:

Equation: Calcualtion of SE

7 Therefore, there are about two chances in three that the population count that would have been produced if all dwellings had been included in the survey will fall within the range 564,300 to 623,700, and about 19 chances in 20 that the population count will fall within the range 534,600 to 653,400. This example is illustrated in the diagram below:

Diagram: CALCULATION OF STANDARD ERRORS


PROPORTIONS AND PERCENTAGES

8 Proportions and percentages formed from the ratio of two estimates are also subject to sampling errors. The size of the error depends on the accuracy of both the numerator and the denominator.

9 As an example, using estimates from Table 2, 883,000 children aged 0-17 years were living in one parent families, representing 18% of the estimated 5,015,000 children aged 0-17 years in Australia. The RSE table corresponding to this proportion in Table 2 (available from the Downloads tab for cat. no. 4442.0) shows the RSE for this proportion is 4%.

10 Therefore, the SE for children aged 0-17 years living in one parent families as a proportion of all children aged 0-17 years is 0.7 percentage points (=18.0x(4.0/100)). Hence, there are about two chances in three that the population proportion of children who were living in one parent families, that would have been obtained if all dwellings had been enumerated, is between 17.3% and 18.7% and 19 chances in 20 that the population proportion is within the range 16.6% to 19.4%.


DIFFERENCES

11 Published estimates may also be used to calculate the difference between two survey estimates (of numbers or proportions). Such an estimate is subject to sampling error. The sampling error of the difference between two estimates depends on their SEs and the relationship (correlation) between them. An approximate SE of the difference between two estimates (x-y) may be calculated by the following formula:

Equation: Comparing estimates

12 While this formula will only be exact for differences between separate and uncorrelated characteristics or sub-populations, it is expected to provide a good approximation for all differences likely to be of interest in this publication.


SIGNIFICANCE TESTING

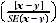
13 A statistical significance test for a comparison between estimates from different samples can be performed to determine whether it is likely that there is a difference between the corresponding population characteristics. The standard error for the difference between two corresponding estimates (x and y) can be calculated exactly including correlation effects or using the approximate formula in the paragraph above. This standard error is then used to calculate the following test statistic:

Equation: Significance testing4

14 If the value of this test statistic is greater than 1.96 then there is evidence of a statistically significant difference (at the 5% level) in the two estimates with respect to that characteristic. This statistic corresponds to the 95% confidence interval of the difference. Otherwise, it cannot be stated with confidence that there is a real difference between the populations with respect to that characteristic.

15 The selected tables in this publication that show the results of significance testing are annotated to indicate whether or not the estimates which have been compared are significantly different from each other with respect to the test statistic. In all other tables which do not show the results of significance testing, users should take account of RSEs when comparing estimates for different populations.


NON-SAMPLING ERROR

16 The imprecision due to sampling variability discussed above, called sampling error, should not be confused with non-sampling error. Non-sampling error may occur in any collection, whether it is based on a sample or a full count such as a census. Sources of non-sampling error include non-response, errors in reporting by respondents or recording of answers by interviewers, and errors in coding and processing data. Every effort was made to reduce the non-sampling error by careful design and testing of the questionnaire, training and supervision of interviewers, and extensive editing and quality control procedures at all stages of data processing.