4440.0.55.001 - Volunteers in Sport, Australia, 2010  
ARCHIVED ISSUE Released at 11:30 AM (CANBERRA TIME) 27/03/2012  Final
   Page tools: Print Print Page Print all pages in this productPrint All

TECHNICAL NOTE: DATA QUALITY


RELIABILITY OF THE ESTIMATE

1 Since the estimates in this publication are based on information obtained from a sample of persons, they are subject to sampling variability. That is, they may differ from those that would have been produced had all persons been included in the survey.

2 One measure of the likely difference is given by the standard error (SE), which indicates the extent to which an estimate might have varied by chance because only a sample of persons was included. There are about 2 chances in 3 (67%) that the sample estimate will differ by less than one SE from the number that would have been obtained if all persons had been surveyed, and about 19 chances in 20 (95%) that the difference will be less than two SEs.

3 Another measure of the likely difference is the relative standard error (RSE), which is obtained by expressing the SE as a percentage of the estimate.

Equation: techequa2

4 In the tables in this publication, only estimates (numbers or percentages) with RSEs less than 25% are considered sufficiently reliable for most purposes. However, estimates with larger RSEs have been included and are preceded by an asterisk (e.g. *3.4) to indicate they are subject to high SEs and should be used with caution. Estimates with RSEs greater than 50% are preceded by a double asterisk (e.g. **2.1) to indicate that they are considered too unreliable for general use.


CALCULATION OF STANDARD ERRORS

5 Standard errors can be calculated using the estimates (counts or percentages) and the corresponding RSEs. For example, Table 3.5 shows the estimated number of people who volunteered for sport and physical recreation organisations, which is 2.3 million. The corresponding RSE table available in the Australian level spreadsheet shows that the RSE for this estimate is 5.6%. The SE is calculated by:

Diagram: CALCULATION OF STANDARD ERRORS

6 Therefore, there are about two chances in three that the value that would have been produced if all dwellings had been included in the survey will fall within the range 2,140,743 and 2,394,729 and about 19 chances in 20 that the value will fall within the range 2,013,750 to 2,521,722. This example is illustrated in the diagram below.

Diagram: CALCULATION OF STANDARD ERRORS


PROPORTIONS AND PERCENTAGES

7 Proportions and percentages formed from the ratio of two estimates are also subject to sampling errors. The size of the error depends on the accuracy of both the numerator and the denominator. A formula to approximate the RSE of a proportion is given below. The formula is only valid when x is a subset of y:

Equation: RSEequat

8 Consider the example given above of the number of people who volunteered for sport and physical recreation organisations (2.3 million). Of these, 30% (or approximately 670,200) lived in New South Wales (Table 3.5). As already noted, the SE of 2.3 million is approximately 126,993 which equates to an RSE of about 5.6%. The SE and RSE of 670,200 are approximately 83,775 and 12.5% respectively. Applying the formula above, the estimate of 30% for those living in New South Wales will have an RSE of:

Diagram: PROPORTIONS AND PERCENTAGES

9 This gives a SE for the proportion (30%) of approximately 3.4 percentage points. Therefore, if all persons had been included in the survey, there are 2 chances in 3 that the proportion that would have been obtained is between 26.6% to 33.4% and about 19 chances in 20 that the proportion is within the range 23.3% to 36.7%.


DIFFERENCES

10 Published estimates may also be used to calculate the difference between two survey estimates (of counts or percentages). Such an estimate is subject to sampling error. The sampling error of the difference between two estimates depends on their SEs and the relationship (correlation) between them. An approximate SE of the difference between two estimates (x-y) may be calculated by the following formula:

Equation: SEequat


SIGNIFICANCE TESTING

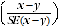
11 A statistical significance test for any of the comparisons between estimates can be performed to determine whether it is likely that there is a difference between the corresponding population characteristics. The standard error of the difference between two corresponding estimates (x and y) can be calculated using the formula in paragraph 10. This standard error is then used to calculate the following test statistic:

Equation: (x-y)div(SE(x-y))

12 If the absolute value of this test statistic is greater than 1.96 then there is evidence of a statistically significant difference (at the 5% level) in the two estimates with respect to that characteristic. This statistic corresponds to a 95% confidence interval of the difference. Otherwise, it cannot be stated with confidence that there is a real difference between the populations with respect to that characteristic.

13 The tables in this publication do not show the results of significance testing, and so users should take account of RSEs when comparing estimates for different populations.

14 The imprecision due to sampling variability, labelled sampling error should not be confused with non-sampling error. Non-sampling error may occur in any collection, whether it is based on a sample or a full count such as a census. Sources of non-sampling error include non-response, errors in reporting by respondents or recording answers by interviewers and errors in coding and processing data. Every effort was made to reduce the non-sampling error by careful design and testing of the questionnaire, training and supervision of interviewers, extensive editing and quality control procedures at all stages of data processing.


RELATIVE STANDARD ERRORS

15 Limited space does not allow the SEs and/or RSEs of all the estimates to be shown in this publication. However, RSEs for all tables are available in the spreadsheets released as part of this publication.