4704.0 - The Health and Welfare of Australia's Aboriginal and Torres Strait Islander Peoples, 2008  
ARCHIVED ISSUE Released at 11:30 AM (CANBERRA TIME) 29/04/2008   
   Page tools: Print Print Page Print all pages in this productPrint All  
Contents >> Demographic, social and economic context >> DEMOGRAPHIC CHARACTERISTICS

DEMOGRAPHIC CHARACTERISTICS

The Australian Bureau of Statistics (ABS) provides two types of Indigenous population figures. The first are Census counts, which are taken from the five-yearly Census of Population and Housing. These figures represent the number of people enumerated by the Census without any adjustment. The second type of population figures are estimated resident population (ERP) figures, which are initially based on Census counts, and then adjusted to account for unknown Indigenous status and undercount from the Census (see box 2.3, below). In this chapter, Indigenous ERP data have been used to describe the age structure and distribution of the Indigenous population across states and territories. All other analyses (including those for Indigenous Regions) are based on Census counts.


Preliminary estimated resident Indigenous population

At 30 June 2006, the estimated resident Aboriginal and Torres Strait Islander population of Australia was 517,200, or 2.5% of the total Australian population. The Indigenous population is estimated to have increased by 58,700 (13%) between 2001 and 2006 (ABS 2007e and table 2.1). Finalised ERP data will be available in mid-2008.

2.1 ESTIMATED RESIDENT POPULATION(a), by Indigenous status - 2006 (preliminary)

Aboriginal
Torres Strait Islander
Both Aboriginal and Torres Strait Islander
Total Indigenous
Non-Indigenous
All persons
Proportion of total Indigenous population
Proportion of state/territory population
no.
no.
no.
no.
no.
no.
%
%

New South Wales
140 000
5 100
3 100
148 200
6 669 000
6 817 200
28.7
2.2
Victoria
27 700
2 200
900
30 800
5 097 500
5 128 300
6.0
0.6
Queensland
113 300
21 100
12 000
146 400
3 945 100
4 091 500
28.3
3.6
South Australia
24 600
1 000
400
26 000
1 542 200
1 568 200
5.0
1.7
Western Australia
75 200
1 400
1 300
77 900
1 981 100
2 059 000
15.1
3.8
Tasmania
15 000
1 300
600
16 900
473 000
489 900
3.3
3.4
Northern Territory
64 100
800
1 700
66 600
144 100
210 700
12.9
31.6
Australian Capital Territory
3 800
200
100
4 000
330 200
334 200
0.8
1.2
Australia
463 900
33 100
20 200
517 200
20 184 300
20 701 500
100.0
2.5

(a) Estimates are subject to revision once 2006 population estimates have been finalised and after analysis of growth in the Indigenous population (demographic and non-demographic factors) between 2001 and 2006.
Source: ABS 2007f



Age

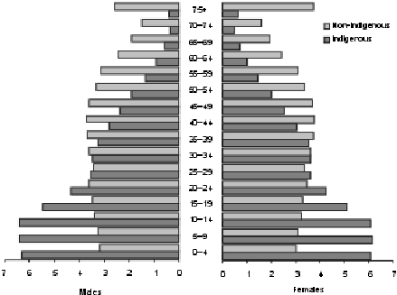
The Indigenous population is relatively young, with a median age of 21 years compared with 37 years for the non-Indigenous population. This is largely the product of higher rates of fertility and deaths occurring at younger ages among the Indigenous population (ABS 2004c). At 30 June 2006, people aged 65 years and over comprised just 3% of the Indigenous population, compared with 13% of the non-Indigenous population. In comparison, 37% of Indigenous people were under 15 years of age compared with 19% of non-Indigenous people (figure 2.2).

2.2 ESTIMATED RESIDENT POPULATION, by Indigenous status and age - 2006 (preliminary)
Diagram: 2.2 Estimated resident population, by Indigenous status and age, 2006 (preliminary)


Because age is closely associated with health status, some comparisons between Indigenous and non-Indigenous data in this report are presented for separate age groups, or otherwise age standardised. For more information on age standardisation, see the Glossary.


Life expectancy

The latest available data presenting estimated Indigenous life expectancy at birth are for the period 1996-2001. Nationally, experimental estimated Indigenous life expectancy was 59 years for Indigenous males (compared with 77 for all males) and 65 years for Indigenous females (compared with 82 years for all females). This is a difference of around 17 years for both males and females (ABS 2004b). Life expectancy data for the 2001-2006 period will be released in late 2008.


Where Indigenous people live

At 30 June 2006, the jurisdictions with the largest estimated resident Indigenous populations were New South Wales (148,200 or 29% of the total Indigenous population) and Queensland (146,400 or 28% of the total Indigenous population). The Northern Territory had a higher proportion of Indigenous residents (32%) than any other state or territory.

For Australians living in remote areas, distance can be a barrier to accessing services. While an estimated one-third of Indigenous Australians (32%) were living in major cities and a further 43% were living in regional areas at 30 June 2006, a much larger proportion of the Indigenous than non-Indigenous population were living in remote or very remote areas (25% compared with 2%). For more information on access to services, see Chapter 10 of this report.

2.3 2006 CENSUS COUNTS

Census undercount
Each Census, some people are missed and others are counted more than once. In Australia, a greater number of people are missed than are counted more than once and the overall effect is called net undercount. In 2006, the Indigenous preliminary net undercount was estimated to be 11.5%, and this was not uniform across all states and territories (ABS 2007f).

Census counts
The number of people identified as being of Aboriginal and/or Torres Strait Islander origin in the 2006 Census was 455,000, representing 2.3% of the total Australian population. This is an increase of 11% since the 2001 Census, compared with an increase of 6% in the total Australian population over the same period. Among people identified as Indigenous in 2006, 90% were of Aboriginal origin only, 6% were of Torres Strait Islander origin only and 4% were of both Aboriginal and Torres Strait Islander origin. Around three-quarters (76%) of the Indigenous population were living in major cities and regional areas in 2006, with the remaining 24% in remote areas.


Indigenous Regions

Indigenous Regions (IREGs) are the highest level of the Australian Indigenous Geographical Classification (AIGC). IREGs are based on Aboriginal and Torres Strait Islander Commission (ATSIC) Regions (used in the 2001 Census of Population and Housing) but also reflect recent changes in both local government areas and in government administrative arrangements. Where possible and appropriate, the 2001 ATSIC boundaries were maintained to allow the characteristics of Indigenous people within a region to be compared across Censuses. The map below (figure 2.4) indicates the new Indigenous Region structure across Australia.

2.4 INDIGENOUS REGIONS 2006
Diagram: 2.4 Indigenous Regions, 2006


In 2006, the Indigenous Regions with the largest populations were Sydney (41,800), Brisbane (41,400) and Coffs Harbour (40,000). The Indigenous Regions with the highest proportion of Indigenous residents, which were outside major population centres, included the Torres Strait Islander Region in Queensland (83%), and the Apatula and Jabiru Indigenous Regions in the Northern Territory (79% and 77% respectively). The highest regional increases in the Indigenous population between 2001 and 2006, based on 2006 AIGC boundaries, occurred in the Indigenous Regions of Coffs Harbour (25%), Non-Metropolitan Victoria (25%), Wagga Wagga (21%) and Melbourne (20%) (ABS 2007f).



Previous PageNext Page