Page tools:
Print Page
Print All
| |||||||||||||||||||||||||||||||||||||||||||||||||||||||||||||||||||||||||||||||||||||||||||||||||||||||||||||||||||||||||||||||||||||||||||
Introduction 27.1 The ABS produces annual indexes of labour, capital and multifactor productivity for the market sector, and annual labour productivity indexes (gross value added per hour worked) for each industry division within the market sector. The ABS also publishes quarterly estimates of GDP per hour worked for the market sector and for the whole economy, and quarterly and annual GDP per capita. Annual productivity measures are published in Australian System of National Accounts (Cat. no. 5204.0), and quarterly indexes of GDP per hour worked are published in Australian National Accounts: National Income, Expenditure and Product (Cat. no. 5206.0).
Concepts Labour productivity 27.4 Measures of real output per unit of labour are conventionally referred to as measures of labour productivity. Quite clearly, changes in this ratio can reflect technological changes and changes in other factor inputs (such as capital) as well as labour efficiency. Also, contributions of the various factors to the overall change are not necessarily always positive. In short, these types of estimates are no more than the outcome of dividing a measure of output by a measure of labour input. Capital productivity 27.6 Measures of real output per unit of capital are conventionally referred to as measures of capital productivity. Changes in this ratio can also reflect technological changes and changes in other factor inputs (such as labour), as well as capital efficiency. Multifactor productivity 27.8 The most obvious limitation of labour and capital productivity measures is that they attribute to one factor of production - labour or capital - changes in efficiency attributable to all factors of production. However, in practice it is not possible to attribute the changes in output directly to specific factor inputs. This limitation has given rise to the development of a more comprehensive measure, multifactor productivity. MFP takes account of several factor inputs at the same time, and is largely a measure of the effects of technical progress, improvements in the work force, improvements in management practices, economies of scale, and so on. MFP can also be affected in the short term to medium term by other factors such as the weather, and by variations in capacity utilisation associated with the business cycle.
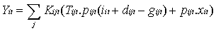
27.10 The ABS derives its estimates of MFP for the market sector by forming a combined chain volume measure of labour and capital inputs and dividing it into the chain volume measure of the gross value added of the market sector. The elemental capital inputs are compiled at a detailed level. There are capital input measures for up to 14 asset types for the corporate and unincorporated sectors for each of the 12 industry (ANZSIC) divisions that comprise the market sector. For each capital input there is a volume indicator of the flow of capital services and a rental value that is used to weight the service flow with the service flows of other capital inputs. An aggregate chain volume measure of capital services for the whole market sector is then weighted with a measure of hours worked using estimates of capital and labour income as weights. Sources and methods The market sector 27.11 MFP measures are calculated for the 'market sector', a special industry grouping comprising the following industries: Agriculture, forestry, and fishing; Mining; Manufacturing; Electricity, gas and water; Construction; Wholesale trade; Retail trade; Accommodation, cafes and restaurants; Transport and storage; Communication services; Finance and insurance; and Cultural and recreational services. This industry grouping relates broadly to marketed activities for which there are satisfactory estimates of the growth in the volume of output. GDP per capita 27.16 The ABS publishes annual and quarterly estimates of GDP per capita, calculated as the ratio of real (i.e. in chain volume terms) GDP to the estimated resident population. Population estimates for each State are obtained from Australian Demographic Statistics (Cat. no. 3101.0) and projected to the latest quarter based on current trends, and then summed to obtain the Australia total. Measurement of capital input 27.17 As explained in Chapter 16, the capital services produced by an asset over its life are directly proportional to the productive capital value of the asset. By weighting together volume indexes of the productive capital stock of different assets using their rental prices as weights, an aggregate index of capital services can be produced.
27.19 Chapter 16 provides a full description of the method used to derive the capital stock measures for the relevant components of gross fixed capital formation (i.e. all assets listed above except inventories and land). The method used to derive productive capital stock using age-efficiency profiles is also described. Volume estimates for the inventory items are obtained for all the market sector industries other than Communications, Finance and insurance; and Cultural and recreational services. Chapter 17 discusses inventories in detail. 27.20 A benchmark estimate of agricultural land is obtained from the balance sheet, where the value for the reference period is chosen. The stock of agricultural land is treated as a non-depreciable asset - in volume terms it remains constant over time. 27.21 For non-agricultural land, estimates for each industry are calculated by taking the balance sheet value for the reference year as a benchmark, and assuming that the growth rate is half that of the productive capital stock of non-dwelling construction. This approach recognises that changes in the capital services provided by land can accrue due to changes in the value of the building on it, but disproportionately so. 27.22 An index of capital services is compiled in the form of a Tornqvist index (i.e. the weighted geometric mean of the component growth rates). The growth rates of productive capital stocks of each asset type are weighted together using estimates of the rental prices. Rental prices are generally unobservable because, for most capital, the owner is also the user, and so they must be estimated. The method used to estimate the rental prices is described in paragraphs 27.55 to 27.60. 27.23 Of all the constituents of the MFP measures, capital input poses the most problems. A major weakness of the estimates of capital services stems from the uncertain quality of the data used in their construction, such as mean asset lives and asset life distributions. These limitations are discussed in detail in Chapter 16. Measurement of labour input 27.24 Indexes of hours worked are used to estimate labour input. The hours worked estimates are derived as the product of employment and average hours worked. Using an index of hours worked provides a better measure of labour input than using employment, because hours worked captures changes in overtime worked, standard weekly hours, leave taken, and changes in the proportion of part-time employees. However, changes in the skill level of the labour force are not captured in hours worked, and so are reflected in the productivity estimates. To obtain a measure of productivity that excluded the effect of changing skill levels, it would be necessary to adjust hours worked for changes in the quality of the labour force.
27.26 The employment estimates used to derive hours worked comprise all labour engaged in the production of goods and services, and include not only civilian wage and salary earners but also:
The annual figures are simple averages based on the available observations of employment levels during the year. 27.27 Estimates of employment are compiled for individual industries from the September quarter 1984 for quarterly data and 1984-85 for annual data. Estimates for the total (all industries) and the market sector are compiled from the September quarter 1978 for quarterly data, but from 1964-65 for annual data. In compiling employment estimates several sources have been used, as described below. All industries 27.28 Total employment has been compiled from the following sources:
Monthly labour force survey data are averaged to form quarterly and annual estimates. Individual industries 27.29 Industry estimates have been compiled with the objective of ensuring consistency between estimates of industry employment and gross value added (ideally both sets of estimates should be derived from the same source for each industry). This has been possible only in respect of the Manufacturing industry. For other industries, classification changes and discontinuities in the available series have made this impracticable. Consequently, the industry employment estimates are subject to a number of limitations. These and other aspects concerning the reliability of the employment estimates used in calculating estimates of labour productivity are discussed under 'Reliability of employment estimates' below. Data sources for specific industries are as follows:
27.30 Further adjustments are made to the employment estimates for the Construction industry. From 1980-81, labour force survey estimates for the Construction industry exclude some employment previously included. From that year construction-related employment of enterprises primarily engaged in Transport and storage or Communication services is classified to the Transport and storage or Communication services industries as appropriate. For consistency between industry gross value added and employment estimates, and for consistency over time, the relevant employment estimates have been adjusted to include construction-related employment in the Construction industry for the whole period. Average hours worked 27.31 Estimates for average hours worked are available each month in total. However, they are available only for the mid-month of each quarter for individual industries and the market sector. As the average hours worked series relate to a particular fortnight in the first half of the month they have several limitations, as outlined below. Corrections can be made for only some of these limitations.
27.32 A significant potential problem with hours worked would arise if there were a substantial bias in the estimates (due to a tendency of respondents to either overestimate or underestimate the hours worked in the reference week), but this would only affect the growth rate if the bias were to change through time. If respondents do have a tendency to report biased hours worked, it seems reasonable to assume that they would continue to do so to approximately the same extent. Nevertheless, it provides further justification for presenting the hours worked estimates in index form. 27.33 Changes in labour inputs due to such factors as changes in the level of educational attainment or the age distribution of the work force are more difficult to quantify. At present, the ABS does not attempt to make such adjustments. The capital-labour (KL) multifactor productivity model 27.34 ABS estimates of MFP have been derived for the market sector using the conventional capital-labour model. In this approach, a production function is postulated as follows:
27.35 It can be shown (see Appendix I of the Occasional Paper: Estimates of Multifactor Productivity, Australia (Cat. no. 5233.0)) that
where and 27.36 The weights 27.37 where 27.38 The weights, 27.39 Equation (2) can be expressed alternatively as: which states that the growth rate of multifactor productivity is equal to the growth rate of the ratio of output to input. This implies that productivity can be expressed as the ratio of output to a composite index of inputs, i.e.
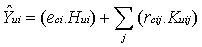
27.40 The index, where 27.41 The chain volume measure of gross value added at market prices is used to measure real output, V. The measure of labour input is hours worked, described above, and the measure of capital input is capital services described below. Capital and labour income shares 27.42 For the market sector, in which general government GOS for market sector industries is included and the GOS of dwellings owned by persons is excluded:
27.43 Capital's income share is given by:
27.44 Labour's income share is given by:
Splitting gross mixed income 27.46 For the household sector, the labour and capital shares of income earned by unincorporated enterprises are subsumed into one national accounts aggregate: gross mixed income. The following procedure has been used to impute the labour and capital shares of this aggregate for each industry in the market sector.
27.48 Final estimates are obtained by multiplying the average compensation per hour and the rental price component of where the scaling factor, and 27.49 Proprietors' capital income for industry i is given by: 27.50 Proprietors' labour income is given by: Capital and labour shares of net taxes on production and imports 27.51 Individual taxes and subsidies are allocated to capital and labour where possible.
27.53 The taxes on labour are:
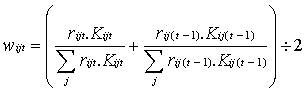
27.54 In those cases where the tax cannot be allocated exclusively to capital or labour it is allocated in proportion to labour and capital factor incomes. Aggregation of capital services within each industry Formation of capital services indexes for each industry 27.55 Rental prices are used to form the weights used to aggregate the estimates of productive capital stock of each asset type, j, for each of the corporate and household sectors within each industry, i, to form a Tornqvist index of industry capital services. Thus:
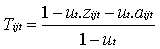
27.56 For agricultural land and inventories, the depreciation rate is assumed to be zero. For non-agricultural land the depreciation rate is assumed to grow at half the depreciation rate of non-dwelling construction. 27.57 A price index has been constructed for non-agricultural land by weighting together industrial land price indexes for Australian capital cities, obtained from commercial sources. The indexes go back to 1975-76 and are weighted together using 1989-90 benchmark estimates of non-agricultural land and the net capital stock in non-dwelling construction. An adjustment is applied so that the price index also represents other types of non-agricultural land such as office spaces and retail outlets. Between 1964-65 and 1975-76, the CPI is used. 27.58 The income tax parameter,
27.59 Before the rental prices are calculated for each asset and industry, equation (4) is used to solve for an implicit rate of return, 27.60 Computing the internal rate of return empirically is necessary because the rate of capital gain can be greater than the market interest rate plus depreciation. For the corporate sector,
and substituting for the rental price in equation (4) giving:
Measurement of income tax parameter 27.61 The inclusion of the tax parameters in the rental price removes some of the distortions to the rental price due to different tax allowances for different capital items and industries over time. For example, allowance is made for the differing depreciation and additional allowances available to specific industries and asset types over time. These allowances tended to be more generous in the Agriculture, forestry and fishing, Mining, and Manufacturing industries, especially for certain types of equipment. In addition, the Australian Taxation Office allowed for faster depreciation rates over time through shorter effective tax lives. 27.62 Corporate profit tax rates are obtained from the National Income Forecasting Model (NIF). 27.63 The depreciation allowance is based on the present value of the discounted stream of deductions multiplied by the marginal tax rate applicable in that year. Asset lives and a nominal discount rate are used to determine the present discounted value of depreciation allowances. Prior to 1980, the average asset lives used to calculate capital stock for each asset type are used. After 1980, the asset life consistent with the shortest life within broad asset life bands specified by the Australian Taxation Office is used. Broad banding reduces the effective life of the asset. The nominal discount rate is based on the business overdraft rate published in the Reserve Bank Bulletin. From 1980, the nominal discount rate is based on the average of small overdrafts (less than $100,000), and large overdrafts ($100,000 and over). 27.68 The additional allowance rate is an immediate write-off which results in tax savings. The value of an allowance is the tax saving, which is the product of the tax rate and the amount of the allowance. For example, if the allowance rate is 20 per cent and the profit tax rate is 50 per cent, then the company effectively saves 10 per cent of the purchase price of the asset in tax savings (50 per cent x 20 per cent = u.a (the corporate profit rate times the additional allowance rate)).
27.71 Pro-rata adjustments are made to align the dates of the tax law with the financial year, assuming that investment occurred evenly over the tax year. This leads to determining pro-rata depreciation rates based on the portion of the year covered. Non-income business tax rate 27.72 The second tax parameter, p.x, is the tax rate for current price non-income business taxes (i.e. taxes on production and imports allocated to capital). The variable, x, is the current price value of non-income business taxes divided by the current price net capital stock. The ratio is then inflated to reflect the effects of inflation.
27.74 The benchmark estimates of non-income business taxes on capital are extrapolated to cover the period from 1964-65 onwards using total other taxes less subsidies as an indicator series, and allocated to market sector industries using industry shares of output as an indicator. Accuracy, quality and reliability of productivity measures 27.75 Caution needs to be exercised in interpreting productivity measures, which are derived as a residual and are therefore subject to any errors in the output and input measures. Furthermore, because productivity growth is comparatively low, such errors assume relatively greater importance with respect to productivity estimates. Impact of lags in hours worked and the business cycle 27.77 It can be demonstrated that the growth of hours worked tends to lag the growth of output. Analytical work undertaken within the ABS (N. Batty, Gross Domestic Product, Employment and Productivity, June quarter 1989 issue of Australian National Accounts: National Income and Expenditure (Cat. no. 5206.0)) suggests that over the 20 years up to 1988 the lag at turning points in the business cycle varied between zero and four quarters, with the average being between two and three quarters. The implication is that estimates of labour productivity are likely to decline as a peak in a business cycle is approached, particularly if rapid growth in GDP is abruptly ended as in 1986. Conversely, labour productivity estimates are likely to grow strongly when the economy emerges from a cyclical trough. Labour productivity analysis at the industry level 27.78 Several problems of measurement at the industry level should be considered when examining estimates of gross value added per unit of labour. An apparent productivity increase in one particular industry may be the result of changes in the way production is organised between industries. For example, a productivity gain which, in the ABS measures, is attributed to the Construction industry may be the consequence of the greater use of prefabricated materials (produced by another industry), thereby changing the ratio of labour to other inputs in the Construction industry. However, while the productivity of both industries in combination may have increased, the measured productivity in the supplying industry could well show a decline if the new work is more labour intensive than work in the remainder of that industry. It follows that if, over a period of time, one industry records a higher growth than others in volume measures of gross value added per unit of labour, it is not necessarily a consequence of greater productivity of labour in that industry. The higher growth could be attributable to changes in other sectors of the economy or innovations resulting from some work now being undertaken in other industries.
|
|||||||||||||||||||||||||||||||||||||||||||||||||||||||||||||||||||||||||||||||||||||||||||||||||||||||||||||||||||||||||||||||||||||||||||
Print Page
Print All