4102.0 - Australian Social Trends, 1998  
ARCHIVED ISSUE Released at 11:30 AM (CANBERRA TIME) 03/06/1998   
   Page tools: Print Print Page Print all pages in this productPrint All  
Contents >> Health >> Health Related Actions: Food and energy intake

Health Related Actions: Food and energy intake

Over the last 20 years there have been improvements in Australians' diets. Nevertheless, in 1995, 57% of all adults were overweight or obese.

Despite an abundant supply of information on what constitutes a healthy diet, 64% of men and 49% of women aged over 18 were classified in 1995 as overweight or obese. The over consumption of food, coupled with an inactive lifestyle, causes overweight or obesity. This in turn increases a person's chance of developing diseases such as cardiovascular disease, some cancers and diabetes mellitus.


Consumption of food

Data in this review is from two major surveys conducted in 1995 and only relates to people aged over 18. The National Nutrition Survey collected information on food and nutrition from the Australian population. Information was collected on food and beverage consumption, nutrient intake, eating habits and dietary attitudes. Physical measurements, such as body mass index (BMI), (derived using actual measurements) were also included. Data on food and beverage intake was collected using two approaches, the daily consumption method (24 hour recall), and a usual food frequency intake method.

The National Health Survey is the second in a series of regular five-yearly population surveys designed to obtain information on a range of health-related issues and to enable the monitoring of health over time. Physical measurements, such as BMI (derived using self-reported measurements) are also included.

Energy provides fuel for metabolism, growth, movement and other processes. Energy intakes in this review are reported in kilojoules (kJ).

BMI is the body weight in kilograms divided by the square of the height in metres. In this review BMI classifications follow those of the World Health Organisation. A BMI of: less than 18.5 indicates underweight; 18.5 to less than 25 indicates an acceptable weight; 25 to less than 30 indicates overweight; and 30 and greater indicates obesity.


Food intake
The National Health and Medical Research Council (NHMRC), in part, recommends that Australians eat a diet low in fat, in particular saturated fat; maintain a healthy body weight; limit alcohol intake; eat only a moderate amount of sugars; and eat plenty of breads, cereals, fruits and vegetables.1

Over the last twenty years there have been changes in the quantities and types of foods consumed by Australians. The consumption of meat and meat products (a main source of saturated fat) has reduced while the consumption of chicken and seafood, which are generally lower in saturated fats, has increased. The consumption of fruit and fruit products, vegetables, and grain products has increased. In addition, the amount of alcohol consumed has declined.2

Even so, the diet of many Australians is far from ideal, as indicated by the high proportion of people overweight or obese and the high incidence of related diseases. In all age groups, overweight or obese people were substantially more likely than people with a normal weight to suffer from a disease of the cardiovascular system or diabetes mellitus Type II (see Australian Social Trends 1998, Diabetes).

In 1995 Australian men consumed a higher quantity of food and beverages than women in all age groups. The daily food and beverage consumption peaked at 4,240 g for men aged 19-24, and 3,320 g for women aged 25-44.

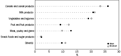
Excluding beverages, cereals and cereal-based products contributed the greatest amount to the mean food intake for men (26%) and women (23%) aged over 18. These were followed by milk products (21% for both men and women) and vegetables and legumes (19% for men and 20% for women). The daily intake of fruit and fruit products increased with age, while daily intake of cereals and cereal-based products, milk and milk products, and meat, poultry and game decreased with age.

Non-alcoholic and alcoholic beverages accounted for over 62% of total food and beverage intake by weight (2,460 g for men and 2,020 g for women). The contribution by weight of beverages to the total weight of food is influenced by climate. The Northern Territory had the highest contribution (74% for men) and the Australian Capital Territory had the lowest (58% for men).

The average contribution of alcoholic beverages to food and beverage intake was 10% for men and 3% for women. For men, this contribution increased from 8% for those aged 19-24 to 11% for those aged 45-64 and then declined to 9% for men aged over 65. For women the contribution of alcohol to food and beverages peaked at a younger age, 4% for those aged 19-24, and then declined to 2% for those aged over 65.


MEAN DAILY FOOD INTAKE AS A PERCENTAGE OF TOTAL FOOD INTAKE(a) FOR PERSONS AGED OVER 18, 1995

(a) Excludes alcoholic and non-alcoholic beverages.

(b) Other includes seafood and fish, egg products, fats and oils, sauces and condiments, and miscellaneous foods.

Source: National Nutrition Survey, Selected Highlights, Australia (cat. no. 4802.0).

Energy intake
Energy is not a nutrient but is released from food components containing fats, proteins, carbohydrates (includes starch, and related substances) and alcohol. The body uses energy from food for a variety of purposes including metabolic processes, physiological functions, muscular activity, heat production, growth, and synthesis of new tissue.

Recommended energy intakes are difficult to calculate even among individuals of the same age, sex, weight, height and general pattern of activity. Therefore the energy requirement for healthy people is often expressed as the amount of energy needed to maintain the status quo.

In 1995 males had a greater average energy intake than females at all ages. Between the 19-24 and 65 and over age groups, the average energy intake of men decreased from 13,280 kJ to 8,510 kJ and for women from 8,370 kJ to 6,370 kJ. The total energy intake of men aged 19-24 was 59% greater than that for women and then declined to 34% greater for those aged 65 and over.

Carbohydrates contributed the largest proportion of energy intake for all age groups. It contributed about 48% of the daily energy intake for adults aged 19-24, reducing to 45% for adults aged 45-64. The contribution of protein to overall energy intake steadily increased from 16% for adults aged 19-24 to 18% for adults aged over 44. Fat contributed between 32% and 33% of energy in all age groups over 18.

Food and beverages purchased and consumed away from home form a large and increasing contribution to the diet of Australians. In 1993/94 eating out and take-away food and beverages (excluding alcoholic beverages) accounted for 23% of the average weekly food and beverages budget. This is an increase of 5% since 1984. Alcoholic beverages accounted for an additional 14% of this budget, a decline of 1%.3

In 1995 food and beverages purchased and consumed away from home had a higher fat content than those consumed at home. Women were less likely than men to purchase and consume food and beverages away from home (57% compared to 64%). However, when they did, this food on average had a higher fat content than food purchased by men (36% compared to 34%). This difference may be partly explained by men's more frequent and higher consumption of alcoholic beverages which contribute to energy intake but not fat to the diet. Consequently, food purchased and consumed away from home contributed a smaller proportion of total energy for women (22%) than men (26%).


AVERAGE DAILY ENERGY INTAKE BY AGE, 1995

Source: National Nutrition Survey, Selected Highlights, Australia (cat. no. 4802.0)
.


Overweight and obesity
In general, excess body weight is the outcome of a long-term imbalance between energy intake and energy expenditure. The extent to which people are overweight or obese can be measured by the body mass index (BMI). In 1995 BMI measures of Australians aged over 18 indicated that 57% were overweight or obese. Men were more likely than women to be overweight or obese at every age.

Even though being overweight or obese was more of a health risk for men, women were generally more concerned about their body weight and diet. Women were more likely than men to be on a weight-reduction or fat-modified diet (24% compared to 16%). Also, of those who consider themselves to be within an acceptable weight range, women were seven times more likely than men to be underweight (21% compared to 3%) and men were nearly three times more likely than women to be overweight or obese (38% compared to 14%).


ADULTS WHO ARE OVERWEIGHT OR OBESE, 1995

Source: Unpublished data, National Nutrition Survey, 1995


Energy intake of the overweight and obese
The average energy intake of men classified as overweight or obese was lower than that recorded for men who were in an acceptable weight range. The same pattern was also evident for women, although the differences were smaller. The average energy intake was 11,780 kJ for men and 7,790 kJ for women classified with an acceptable body weight, 10,850 kJ for men and 7,130 kJ for women classified as overweight, and 10,390 kJ for men and 6,980 kJ for women classified as obese.

Reasons for the lower average energy intake of people who were overweight or obese may be that they are less physically active, have different metabolic rates, or have a tendency to understate their food intake. In addition, a higher proportion of overweight and obese men and women were on weight-reduction or fat-modified diets than those who were in an acceptable weight range (23% compared to 16%).


ADULTS AGED OVER 18 WHO CONSIDER THEMSELVES TO BE AN ACCEPTABLE WEIGHT BY BMI, 1995

Source: Unpublished data, National Health Survey, 1995


Exercise
Regular physical exercise is also an essential factor when determining whether or not a person has an excess energy intake. Contrary to the Australian image as active outdoor sports-oriented people, many Australians have a sedentary lifestyle.

Men and women were equally likely to have exercised (66% for men and 65% for women) but men were more likely to have exercised at a higher level (exercise that caused perspiration or a large increase in heart rate, 18% compared to 11%). 30% of men and 38% of women had exercised at a low level (leisurely walk).

The proportion of people who had exercised also decreased with age. Of those aged 19-24, 74% had exercised, but this gradually declined to 57% of those aged over 64.

People who were within a normal weight range were slightly more likely to have exercised than those who were overweight or obese (70% compared to 65%) and to have exercised at a higher level. Of those within a normal weight range, 34% had exercised at a low level, 19% at a medium level and 16% at a high level. In comparison, 34% of those who were overweight or obese had exercised at a low level, 16% at a medium level and 14% at a high level.


EXERCISE LEVEL(a) OF MEN AND WOMEN AGED OVER 18, 1995

(a) Exercise for sport recreation or fitness in a previous two-week period.


Source: Unpublished data, National Health Survey, 1995.


Endnotes

1 National Health and Medical Research Council, 1991, Dietary Guidelines for Australians, AGPS, Canberra.

2 Australian Bureau of Statistics 1994/1995 and 1995/96, Apparent Consumption of Foodstuffs,
cat. no. 4306.0, ABS, Canberra.

3 Australian Bureau of Statistics, 1993/94, Household Expenditure Survey - Detailed Expenditure Items, cat. no. 6535.0, ABS, Canberra.




Previous PageNext Page