Australian CPI, Concepts, Sources and Methods
Page tools:
Print Page
Print All
| ||||||||||||||||||||||||||||||||||||||||||||||||||||||||||||||||||||||||||||||||||||||||||||||||||||||||||||||||||||||||||||||||||||||||||||||||||||||||||||||||||||||||||||||||||||||||||||||||||||||||||||||||||||||||||||||||||||||||||||||||||||||||||||||||||||||||||||||||||||||||||||||||||||||||||||||||||||||||||||||||||||||||||||||||||||||||||||||||||||||||||||||||||||||||||||||||||||||||||||||||||||||||||||||||||||||||||||||||||||||||||||||||||||||||||||||||||||||||||||||||||||||||||||||||||||||||||||||||||||||||||||||||||||||||||||||||||||||||||||||||||||||||||||||||||||||||||||||||||||||||||||||||||||||||
|
|
Warning - this online document is now out of date. For the updated online version of this document see: Australian Consumer Price Index: Concepts, Sources and Methods - 2005 . For an acrobat version see Australian Consumer Price Index: Concepts, Sources and Methods (cat. no. 6461.0). TABLE 10.1: SELECTED VALUES FROM CPI PUBLICATION, SEPTEMBER QUARTER 2000
10.11 Using only the index numbers themselves, the most that can be said is that between the June and September quarters 2000, the price of beer increased by more than the overall CPI (by 4.8 per cent compared with an increase in the All groups of 3.7 per cent). The additional information on points contribution and points change can be used to:
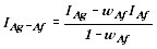
10.12 To ensure consistency in the application of data produced from the CPI, it is necessary for the ABS to adopt a set of consistent rounding conventions or rules for the calculation and presentation of data. The conventions strike a balance between maximising the usefulness of the data for analytical purposes and retaining a sense of the underlying precision of the estimates. These conventions need to be taken into account when using CPI data for analytical or other special purposes. 10.13 Index numbers are always published to a base of 100.0. Index numbers and percentage changes are always published to one decimal place, with the percentage changes being calculated from the rounded index numbers. Points contributions are published to two decimal places, with points contributions change being calculated from the rounded points contributions. Index numbers for periods longer than a single quarter (e.g. for financial years) are calculated as the simple arithmetic average of the relevant rounded quarterly index numbers. 10.14 The following questions and answers illustrate the uses that can be made of the CPI. 10.15 Question: What would $200 in 1990 be worth in September quarter 2000? 10.16 Response: This question is best interpreted as asking ‘How much would need to be spent in September quarter 2000 to purchase what could be purchased in 1990 for $200?’ As no specific commodity is mentioned, what is required is a measure comparing the general level of prices in September quarter 2000 with the general level of prices in the 1990 calendar year. The All groups CPI would be an appropriate choice. 10.17 Because CPI index numbers are not published for calendar years, two steps are required to answer this question. The first is to derive an index for 1990. The second is to multiply the initial dollar amount by the ratio of the index for September quarter 2000 to the index for 1990. 10.18 The index for 1990 is obtained as the simple arithmetic average of the quarterly indexes for March (100.9), June (102.5), September (103.3) and December (106.0) 1990 - giving 103.2 rounded to one decimal place. The index for September quarter 2000 is 130.9. 10.19 The answer is then given by: 10.20 $200 x 130.9/103.2 = $253.68. 10.21 Question: Household Expenditure Survey data shows that average weekly expenditure per household on the purchase of motor vehicles increased from $26.61 in 1993-94 to $42.64 in 1998-99 (i.e. an increase of 60.2 per cent). Does this mean that households, on average, purchased 60.2 per cent more motor vehicles in 1998-99 than they did in 1993-94? 10.22 Response: This is an example of one of the most valuable uses that can be made of price indexes. Often the only viable method of collecting and presenting information about economic activity is in the form of expenditure or income in monetary units (e.g. dollars). While monetary aggregates are useful in their own right, economists and other analysts are frequently concerned with questions related to volumes, for example, whether more goods and services have been produced in one period compared to another period. Comparison of monetary aggregates alone is not sufficient for this purpose as dollar values can change from one period to another due to either changes in quantities or changes in prices (most often a combination). 10.23 To illustrate this, consider a simple example of expenditure on oranges in two periods. The product of the quantity and the price gives the expenditure in any period. Suppose that in the first period 10 oranges were purchased at a price of $1.00 each and in the second period 15 oranges were purchased at a price of $1.50 each. Expenditure in period one would be $10.00 and in period two $22.50. Expenditure has increased by 125 per cent, yet the volume (number of oranges) has only increased by 50 per cent with the difference being accounted for by a price increase of 50 per cent. In this example all the price and quantity data are known, so volumes can be compared directly. Similarly, if prices and expenditures are known, quantities can be derived. 10.24 But what if the actual prices and quantities are not known? If expenditures are known and a price index for oranges is available, the index numbers for the two periods can be used as if they were prices to adjust the expenditure for one period to remove the effect of the price change. If the price index for oranges were equal to 100.0 in the first period, the index for the second period would equal 150.0. Dividing expenditure in the second period by the index number for the second period and multiplying this result by the index number for the first period provides an estimate of the expenditure that would have been observed in the second period had the prices remained as they were in the first period. This can easily be demonstrated by reference to the oranges example: $22.50/150.0 x 100.0 = $15.00 = 15 x $1.00 10.24 So, without ever knowing the actual volumes (quantities) in the two periods, the adjusted second period expenditure ($15.00), can be compared with the expenditure in the first period ($10.00) to derive a measure of the proportional change in volumes - $15/$10 = 1.50, which equals the ratio obtained directly from the comparison of the known volumes. 10.25 We now return to the question on expenditure on motor vehicles recorded in the HES in 1993-94 and 1998-99. As the HES data relates to the average expenditure of Australian households, the ideal price index would be one that covers the retail prices of motor vehicles for Australia as a whole. The price index that comes closest to meeting this ideal is the index for the Motor vehicles expenditure class of the CPI for the weighted average of the eight capital cities. The Motor vehicles index number for 1993-94 is 113.6 and for 1998-99 it is 105.9. Using these index numbers, recorded expenditure in 1998-99 ($42.64) can be adjusted to 1993-94 prices as follows: $42.64/105.9 x 113.6 =$45.74 10.26 The adjusted 1998-99 expenditure of $45.74 can then be compared to the expenditure recorded in 1993-94 ($26.61) to deliver an estimate of the change in volumes. This indicates a volume increase of 71.9 per cent. 10.27 Question : What would be the impact of a 10 per cent increase in petrol prices on the All groups CPI in the December quarter 2000? 10.28 Response: Two pieces of information are required to answer this question; the All groups index number for September quarter 2000 (130.9), and the September quarter 2000 points contribution for Automotive fuel (5.93). 10.29 An increase in petrol prices of 10 per cent would increase Automotive fuel points contribution by 5.93 x 0.1 = 0.59 index points which would result in an All groups index number of 131.5, an increase of 0.5 per cent. Constructing special index series 10.30 Although the ABS produces a wide range of indexes from the CPI, there may be occasions when none of those series particularly suit a user’s requirement. In this case the user may wish to construct their own index series based on component indexes of the CPI. For example, suppose a researcher was interested in how petrol prices had moved relative to the price of all other consumer goods and services since 1987. As the All groups CPI includes Automotive fuel, it is not quite the ideal measure for comparison purposes, so the researcher wishes to compile an All groups CPI excluding the automotive fuel index. 10.31 The index can be compiled directly by using index points contributions (see examples above) and then indexing the points contributions to 1989-90=100.0. However, index points contributions are not typically published or available as a historical series, so it is necessary to work with the published index numbers. Also, for CPI components that have a small weight, the use of index numbers can be more precise. 10.32 In constructing a series of this type allowance should be made for the change in weights with each CPI series. Relevant data and weights from the CPI series are shown in table 10.2. 10.33 Now since the CPI is a ‘fixed weight index’, where I is index, w is weight (expressed as a proportion) and in the subscripts Ag is All groups, Af is Automotive fuel. Noting 10.34 When the 11th series CPI was introduced in respect of the December quarter 1986, Automotive fuel had a weight of 4.79 per cent and the All groups CPI was 79.8. Thus the index for All groups excluding Automotive fuel is calculated as 79.3 for that quarter. The fuel weight is held at 4.79 per cent until the June quarter 1992 when the 12th series CPI was introduced. The All groups excluding automotive fuel index is calculated for the June quarter 1992 using both 11th series and 12th series CPI weights. This allows calculation of a link factor given by Link factor = Index calculated using 11th series weight Index calculated using 12th series weight 10.35 The link factor is then applied to the index numbers calculated using the 12th series weights. In this case the link factor is 1.0. However, depending on the series being constructed, this may not always be the case. TABLE 10.2: INDEX VALUES AND WEIGHTS FOR LINKING EXAMPLE
Handling changes in the reference base 10.36 The pricing reference base is the period of time in which all index numbers in the CPI have a value of 100.0 (with the possible exception of any items that have been newly introduced into the CPI since the pricing reference base period). The pricing reference base of the CPI is changed at infrequent intervals. Since the March quarter 1992 the CPI has used a pricing reference base of 1989-90=100.0. In the June quarter 1982 the reference base was changed from 1966-67=100.0 to 1980-81=100.0. The ABS has produced historical index numbers on the current base, so, normally, there is no need for users to do their own calculations. 10.37 The conversion of an index series from one pricing base to another involves calculating the ratio of the index numbers for the base period from the two series and applying this to the index numbers. For example, consider converting the Clothing group index for Perth from a base of 1980-81=100.0 to 1989-90=100.0 (refer to Table 10.3 for the data). The index number for the group for 1989-90 on a reference base of 1980-81 was 185.6 (rounded to one decimal place). Thus the conversion factor is 0.5388 (100.0/185.6) so that the March quarter 1989 index number on a base of 1989-90=100.0 is 95.4 (177.0×0.5388). TABLE 10.3 : CONVERTING REFERENCE BASES, PERTH CLOTHING GROUP
10.38 Similar procedures are applied to convert the current index base to a 1980-81 bases. For example, the September quarter 1998 index for the Clothing group for Perth was 105.5 which, when multiplied by the conversion factor of 1.856 (185.6/100.0), gives an index number of 195.8 on the reference base of 1980-81=100.0. It should be noted that a different conversion factor will apply for each index and city, that is, the factor for the Clothing group for Perth will differ from the factor for Automotive fuel for Perth and for the Clothing group for Hobart. 10.39 The process of ‘re-referencing’ (footnote 1) the reference base should not be confused with the practice of rebasing. Re-referencing is simply dividing the index series by the index number for any period that is desired to be the new base - it does not change the relative movements between periods. On the other hand, rebasing involves introducing new weights, putting every component index in the index structure on a base of 100.0 and recalculating the aggregate index for each period. This will affect the relative movements between periods. PRACTICAL CONSIDERATIONS Use of the CPI in contracts and formal arrangements 10.40 The CPI All groups index or lower level component indexes are extensively used in contracts. It is important that parties to a contract seeking to include indexation arrangements have a clear understanding of:
10.41 Briefly, there may be various objectives in indexing a contract. From the perspective of a service provider or producer (e.g. a landlord), these include the following:
10.42 Users should consider carefully whether the CPI is appropriate for their objective (see Chapter 5). In particular it should be noted that the CPI measures price change for purchases of goods and services by households. For example a freight company considering the use of the Transportation index from the CPI to adjust freight contracts for cost movements should consider how relevant changes in petrol, motor car purchase and public transport fares are likely to be as a measure of the change in their costs. It may be that other indexes produced by the ABS are more appropriate. 10.43 The CPI measures what has happened to prices as a result of the interaction of demand and supply forces where the prices are those paid by all households on average in the respective quarter. Current market conditions may be different to what existed over the previous year (assuming annual indexation). For example, the rent index measures rents paid by all households, not just new lettings. If the rental market has gone from an undersupply to an oversupply situation then the appropriateness of indexing to last year’s rent increase should be carefully considered. Similarly, the regional dimension may be important for some items. For example, if demand/supply balance in the local rental market is substantially different from that in other capital cities, then how appropriate would it be to index rent to the weighted average rent index for the eight capital cities? Referencing the CPI in contracts 10.44 If it is determined that the 14th series CPI meets the necessary requirements for use in a contract or formal arrangement, then there are several points which should be considered when wording the arrangement:
10.45 The final decision for determining the appropriateness or otherwise of the CPI, or any of its components, for any particular application lies with the end user. While the ABS can provide technical and statistical guidance, it does not provide advice on indexation practices, nor can it tell users which index would best suit any particular use. The CPI as a series of indexes 10.46 Users of the CPI will note that, although the All groups index extends back to 1948, this is not the case with many of the component indexes. While this may at times create difficulties for users, it is not practical for the ABS to provide historical series for all items in the structure of the current CPI series. Where historical data are not available for a specific index component and there is need for such a series, users may be able to link to (or apply movements from) a higher level component or another component that is expected to have shown a similar price history. 10.47 As detailed in Chapters 3 and 5, the CPI item weights are updated periodically to ensure that they represent recent consumption patterns of the reference population. The ABS holds such reviews at roughly five-yearly intervals, with the timing generally linked to the availability of results from the household expenditure survey (HES). 10.48 In addition, the reviews may consider whether changes should be made to the structure of the CPI to reflect changes in expenditure patterns, the emergence of new goods and services and/or the decline of other goods and services. This may result in new expenditure classes being created in the regimen, the merging of previous expenditure classes or the abolition of some expenditure classes. There may also be changes in the subgroup and group structures of the CPI. 10.49 Whenever there are changes to the CPI structure, as far as practical the new structure is linked to the previous structure to form continuous index series (see Chapter 3). 10.50 However, on some occasions the changes to the structure may be so significant that it is not possible to create links for every regimen item. For example a new expenditure class may have no equivalent in the previous series in terms of the goods and services included in the item or it is not possible to disaggregate a previous series to enable a satisfactory link to be established. In such cases there is no alternative to discontinuing the old index item and introducing the new group index series without any link. Such a new series does not usually extend back very far, so it is necessary to publish figures for such indexes on a different (later) reference base. OTHER PRICE INDEXES PRODUCED BY ABS 10.51 The CPI is only one type of price index that is available from the ABS. The following is a brief description of the other indexes. National accounts price indexes 10.52 The Australian national accounts data includes implicit price deflators and chain price indexes. (footnote 2) These indexes are constructed from a wide range of price data, including indexes from the CPI. 10.53 Implicit price deflators are derived by dividing a value by its corresponding volume estimate. These only provide an estimate of ‘pure’ price change between a base year and a later period using the weights of the latter period. These weights will change each period, so a change in an implicit price deflator between any two periods, neither of which is the base period, will reflect changes in both prices and quantities. 10.54 The chain price indexes provide estimates of pure price change. They are annually reweighted chain Laspeyres price indexes. These indexes encompass the whole of the economy. The chain price index most akin to the CPI is the index for household final consumption expenditure (HFCE) The main differences between the chain index for HFCE and the CPI include:
Producer price indexes 10.55 The ABS publishes a range of producer price indexes for the supply of commodities to the Australian economy for industry sectors and in a ‘stage of production’ framework. (footnote 3) Producer price indexes conventionally relate to the output of domestic industries, at basic prices, (footnote 4) either inclusive or exclusive of exports. The indexes are available by commodity group (including major services) with splits for domestically produced and imported commodities, and consumer and capital goods. 10.56 Three stages of production are identified, ‘Preliminary’, ‘ Intermediate’ and ‘Final’. The Final (Stage 3) consumer index is closest to the CPI, but there are major differences:
USING THE 14th SERIES CPI 10.57 In determining uses for the CPI, close examination of the principal purpose, conceptual approach, basket and population coverage is the starting point. Knowledge of its construction methodology is also valuable in providing insights into its relevance to the purpose at hand. This manual provides details of each of these aspects in Chapters 3, 4, 5 and 7. 10.58 To begin with, the principal purpose of the CPI forms the basis on which the index is developed. This purpose should broadly bear some similarity with the use being considered. In the Australian CPI, where measuring price inflation is the principal purpose, users who require cost of living or purchasing power type measures should be extremely careful in adopting the index. These purposes may best be met through the use of carefully selected components of the CPI, special series developed by the ABS from low level price data, or the use of other price indexes such as the producer price index (PPI) series. 10.59 The conceptual approach behind the index may be incompatible with the use being contemplated. To meet the principal purpose outlined earlier, the Australian CPI is constructed on an acquisitions basis, and as such, will only include those items that are acquired by the reference population in the base period. All other types of payments and purchases that do not involve the consumers’ acquisition of a good or service are excluded from the basket. This includes a portion of the interest charges incurred through any credit arrangements, any payments made on goods or services acquired in earlier periods, and the effects of certain subsidies and taxes. 10.60 The item and population coverage of the CPI, which is determined largely by the principal purpose and conceptual approach, are equally important to the use of the index in several respects. The population coverage defines a subset of the population to which the CPI directly relates. The consumption pattern of this population helps to provide the index with its item coverage (basket), and the relative importance (weights) of items within this basket. Should the use to which the CPI is being put entail a different population coverage, then the user must make the bold assumption that both groups have very similar consumption patterns and price experiences. 10.61 For example, using the All groups Australian CPI in applications relating to the age pensioner sub-population implicitly assumes that age pensioners make roughly the same types of purchases, and in the same proportions, as all Australian consumer households on average. Furthermore, there is the assumption that the price changes that age pensioners face are the same as those experienced by all other households, on average. Both these assumptions can be seen to be somewhat tenuous. 10.62 The ABS produces a set of annual price indexes, on an outlays basis, for four population subgroups to minimise the impact of these assumptions to the extent possible. These indexes are published annually in Australian Economic Indicators (cat. no. 1350.0). The four population subgroups for which the indexes are produced are:
To whom does the CPI relate? 10.63 The Australian CPI is designed to measure changes in retail prices experienced by all metropolitan private households in aggregate. The CPI basket and its weights relate to this population as a whole. The index becomes much less representative at successively lower levels of aggregation of this population. Ultimately, the composition and weighting pattern of the basket will not coincide with that of any individual household in Australia. There are several reasons for this. 10.64 First, the basket represents the average expenditure of all households, rather than the expenditure of the average household. Individual households may have significantly higher or lower expenditure on particular items than the average would suggest. 10.65 Second, the CPI does not measure changes in living costs that may be experienced by individual households as a direct consequence of their progression through the life cycle. For example, younger households may incur a higher proportion of their expenditure on housing and child care, while those households in the older age groups may incur increasing expenditure on medical services. However, changes in the demographic make-up of households does affect the pattern of total household expenditure recorded in the HES and is thus incorporated in the CPI weights during reviews. 10.66 Third, the CPI basket includes items that are mutually exclusive for individual households. For example, both the rent payments of renter households, and the amounts paid by owner-occupier households for purchasing their principal residence are in the basket. No single household will incur both these expenses on their principal residence at the same time. 10.67 Last, although the Australian CPI coverage is extremely broad, it excludes certain households, such as hotels, university residences, and jails, due to the significant differences in their consumption patterns. Individuals in such households may find that the CPI is unrepresentative of their price experiences. Footnotes 1. For an example see Allen (1974), p. 27–30. < Back 2. For further information, refer to Chapter 10 of Australian System of National Accounts: Concepts, Sources and Methods 2000 (cat. no. 5216.0) and Information Paper: Introduction of Chain Volume Measures in the Australian National Accounts (cat. no. 5248.0). < Back 3. Refer Producer Price Indexes, Australia (cat. no. 6427.0). < Back
|
|||||||||||||||||||||||||||||||||||||||||||||||||||||||||||||||||||||||||||||||||||||||||||||||||||||||||||||||||||||||||||||||||||||||||||||||||||||||||||||||||||||||||||||||||||||||||||||||||||||||||||||||||||||||||||||||||||||||||||||||||||||||||||||||||||||||||||||||||||||||||||||||||||||||||||||||||||||||||||||||||||||||||||||||||||||||||||||||||||||||||||||||||||||||||||||||||||||||||||||||||||||||||||||||||||||||||||||||||||||||||||||||||||||||||||||||||||||||||||||||||||||||||||||||||||||||||||||||||||||||||||||||||||||||||||||||||||||||||||||||||||||||||||||||||||||||||||||||||||||||||||||||||||||||
Print Page
Print All