3302.0 - Deaths, Australia, 2008 Quality Declaration 
ARCHIVED ISSUE Released at 11:30 AM (CANBERRA TIME) 25/11/2009   
   Page tools: Print Print Page Print all pages in this productPrint All  

AGE AT DEATH

Care should be exercised when analysing Indigenous deaths by age as differences in identification by age may lead to biased results.

3.4 Age at death, Indigenous status - 2008

0
1-14
15-24
25-34
35-44
45-54
55-64
65 years and over
Total(a)
State or territory(b)
no.
no.
no.
no.
no.
no.
no.
no.
no.

Males

Indigenous
New South Wales
12
6
13
23
32
42
54
135
317
Queensland
16
6
23
23
38
48
54
88
296
South Australia
np
np
np
8
14
13
11
20
72
Western Australia
17
8
20
35
45
74
53
95
347
Northern Territory
np
np
22
20
np
41
51
53
237
Non-Indigenous
New South Wales
227
84
216
364
641
1 374
2 504
18 746
24 162
Queensland
151
60
173
245
411
798
1 659
10 385
13 882
South Australia
np
np
np
97
141
303
605
4 881
6 142
Western Australia
41
23
102
138
193
382
734
4 674
6 287
Northern Territory
np
np
12
10
np
44
84
199
384
Total(c)
New South Wales
241
91
233
391
682
1 442
2 603
19 074
24 765
Queensland
174
69
204
279
468
865
1 745
10 658
14 462
South Australia
31
19
74
109
159
321
618
4 923
6 255
Western Australia
58
33
125
178
249
464
797
4 788
6 692
Northern Territory
16
10
34
31
59
85
135
252
624

Females

Indigenous
New South Wales
11
5
7
9
25
28
40
116
242
Queensland
20
5
5
14
22
28
52
120
266
South Australia
np
np
np
4
5
17
11
23
69
Western Australia
11
4
13
17
20
34
36
123
258
Northern Territory
np
np
11
17
np
41
43
75
230
Non-Indigenous
New South Wales
159
53
88
132
311
801
1 587
20 403
23 536
Queensland
108
42
66
107
199
462
903
10 491
12 378
South Australia
np
np
np
31
89
206
416
5 466
6 260
Western Australia
38
14
39
53
103
204
408
4 921
5 780
Northern Territory
np
np
4
6
np
24
25
121
186
Total(c)
New South Wales
171
59
99
144
338
843
1 643
20 717
24 017
Queensland
134
49
72
124
237
511
971
10 775
12 873
South Australia
28
14
21
35
96
226
429
5 512
6 361
Western Australia
50
18
54
73
128
240
448
5 049
6 060
Northern Territory
8
9
15
23
32
65
68
197
417

Persons

Indigenous
New South Wales
23
11
20
32
57
70
94
251
559
Queensland
36
11
28
37
60
76
106
208
562
South Australia
np
np
10
12
19
30
22
43
141
Western Australia
28
12
33
52
65
108
89
218
605
Northern Territory
15
11
33
37
65
82
94
128
467
Non-Indigenous
New South Wales
386
137
304
496
952
2 175
4 091
39 149
47 698
Queensland
259
102
239
352
610
1 260
2 562
20 876
26 260
South Australia
np
np
82
128
230
509
1 021
10 347
12 402
Western Australia
79
37
141
191
296
586
1 142
9 595
12 067
Northern Territory
9
8
16
16
24
68
109
320
570
Total(c)
New South Wales
412
150
332
535
1 020
2 285
4 246
39 791
48 782
Queensland
308
118
276
403
705
1 376
2 716
21 433
27 335
South Australia
59
33
95
144
255
547
1 047
10 435
12 616
Western Australia
108
51
179
251
377
704
1 245
9 837
12 752
Northern Territory
24
19
49
54
91
150
203
449
1 041

np not available for publication but included in totals where applicable, unless otherwise indicated
(a) Includes deaths for which age of death was not stated.
(b) Victoria, Tasmania and the Australian Capital Territory are excluded due to small numbers of Indigenous deaths.
(c) Includes deaths for which Indigenous status was not stated.


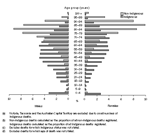
Graph 3.5 illustrates the differences between the age structure of deaths of the Indigenous and non-Indigenous populations for the period 2006-2008. Whereas deaths of non-Indigenous persons are concentrated in the older age groups, deaths of Indigenous persons are more widely spread across all age groups.

Care should be exercised when analysing Indigenous and non-Indigenous age at death, as the data may be influenced by differences in identification by age, as well as different age structures of the two populations.

3.5 Proportion of deaths(a)(b), Indigenous status(c), Age group(d) and sex-2006-2008
Diagram: 3.5 Proportion of deaths(a)(b), Indigenous status(c), Age group(d) and sex—2006–2008



Age-specific death rates

In this section, age-specific death rates (ASDRs) have been calculated for New South Wales and Queensland combined and South Australia, Western Australia and the Northern Territory combined. Victoria, Tasmania and the Australian Capital Territory are excluded due to small numbers of Indigenous deaths.

The non-reporting and/or incorrect reporting of a person's Indigenous status on the death registration form means that death rates calculated using the number of registered Indigenous deaths are underestimates of the true death rates prevalent among Indigenous Australians.

For both combined regions, death rates for 2006-2008 for Indigenous males and females in all age groups were higher than rates for non-Indigenous males and females (table 3.6).

For New South Wales and Queensland combined, ASDRs for Indigenous Australians aged 25 to 64 years were more than twice the rates for non-Indigenous Australians. For both males and females, the largest difference was for persons aged 35-44 years, where Indigenous age-specific death rates were more than three times higher than those recorded for non-Indigenous males and females respectively.

For South Australia, Western Australia and the Northern Territory combined, differences between ASDRs for Indigenous and non-Indigenous Australians were greater. The greatest differences occurred among males aged 25 to 54 years and females aged 25 to 64 years. Rates for Indigenous persons in these ages were at least five times those recorded for non-Indigenous persons.

The denominators used in calculating Indigenous age-specific death rates were the 30 June 2007 projections (Series B) from Experimental Estimates and Projections, Aboriginal and Torres Strait Islander Australians, 1991 to 2021 (cat. no. 3238.0).

3.6 Age-specific death rates(a), Indigenous status and sex - 2006-2008

Males
Females
Indigenous(b)
Non-Indigenous
Rate ratio(c)
Indigenous(b)
Non-Indigenous
Rate ratio(c)

NSW/Qld(d)

0(e)
8.5
5.1
1.7
7.3
3.8
1.9
1-4
51.3
23.9
2.1
33.6
18.4
1.8
5-14
20.4
10.9
1.9
12.5
8.4
1.5
15-24
103.8
56.9
1.8
46.3
23.0
2.0
25-34
199.2
81.1
2.5
114.7
32.9
3.5
35-44
398.7
127.7
3.1
258.1
66.5
3.9
45-54
797.6
281.1
2.8
495.9
167.9
3.0
55-64
1 651.6
670.5
2.5
1 144.0
396.5
2.9
65 and over
5 325.5
4 251.6
1.3
4 246.4
3 741.8
1.1

SA/WA/NT(f)

0(e)
11.9
3.2
3.7
9.5
3.2
2.9
1-4
55.2
24.4
2.3
56.9
13.9
4.1
5-14
41.2
8.1
5.1
20.9
7.3
2.9
15-24
253.2
65.3
3.9
134.6
25.9
5.2
25-34
503.5
97.0
5.2
280.4
36.7
7.6
35-44
1 005.6
133.2
7.6
507.7
72.3
7.0
45-54
1 632.9
274.2
6.0
1 048.6
164.0
6.4
55-64
2 826.3
644.4
4.4
2 057.2
383.2
5.4
65 and over
7 278.2
4 185.8
1.7
6 256.2
3 689.4
1.7

(a) Deaths per 100,000 population, except age 0.
(b) Indigenous rates are based on registered deaths and are therefore likely to be underestimated.
(c) Indigenous rate divided by the non-Indigenous rate.
(d) Data for New South Wales and Queensland combined.
(e) Infant deaths per 1,000 live births.
(f) Data for South Australia, Western Australia and the Northern Territory combined.



Median age at death

Care should be exercised when analysing Indigenous median age at death, as it may also be affected by differences in identification by age. For example, higher levels of identification of Indigenous infant deaths compared with older age groups may result in the median age at death being underestimated.

Median age at death is also influenced to some extent by the age structure of a population, which itself has been influenced by the ages at which deaths occur. The Indigenous population is younger than the non-Indigenous population and this is reflected in the median age at death of the two populations (Baade & Coory, 2003).

In 2008, for the selected states and territories presented in table 3.7, the median age at death of Indigenous males ranged from 49 to 60 years while the median age at death for Indigenous females ranged from 54 to 64 years. In contrast, the median age at death for non-Indigenous males and females was considerably higher, ranging from 66 to 79 years and from 76 to 85 years respectively.

3.7 Median age at death(a), Indigenous status(b) - 2003-2008

NSW
Qld
SA
WA
NT

Males

Indigenous
2003
56.8
51.2
48.8
50.2
46.3
2004
55.8
53.7
49.5
50.0
43.8
2005
54.3
51.1
42.4
52.8
45.8
2006
59.3
55.6
50.4
47.9
45.4
2007
58.1
54.7
50.5
53.3
45.9
2008
59.9
53.2
49.0
51.2
52.1
Non-Indigenous
2003
76.5
75.9
77.7
76.1
65.9
2004
77.0
76.2
77.6
76.3
63.0
2005
77.2
76.4
77.9
76.6
63.7
2006
77.8
76.7
78.3
76.9
64.7
2007
78.1
77.1
78.7
76.9
64.6
2008
78.5
77.3
79.2
77.1
66.3

Females

Indigenous
2003
58.9
62.1
50.0
55.0
52.8
2004
62.7
57.9
53.5
63.6
54.0
2005
65.8
59.5
47.5
57.8
50.4
2006
64.8
57.0
59.3
57.0
55.3
2007
63.0
59.5
58.3
59.3
55.7
2008
63.8
62.3
53.5
64.0
56.0
Non-Indigenous
2003
82.7
82.2
83.2
82.4
74.5
2004
82.8
82.5
83.3
82.3
71.3
2005
83.1
82.6
83.7
83.2
70.5
2006
83.5
83.1
84.1
83.1
75.0
2007
83.7
83.3
84.3
83.4
69.3
2008
84.2
83.7
84.6
84.1
75.7

(a) Victoria, Tasmania and the Australian Capital Territory are excluded due to small numbers of Indigenous deaths.
(b) Care should be exercised when comparing median age at death of Indigenous and non-Indigenous Australians. See commentary.








Previous PageNext Page