4430.0 - Disability, Ageing and Carers, Australia: Summary of Findings, 1998  
ARCHIVED ISSUE Released at 11:30 AM (CANBERRA TIME) 21/04/1999   
   Page tools: Print Print Page Print all pages in this productPrint All

See also Disability, Ageing and Carers: Summary of Findings, Australia, 1993


SUMMARY OF FINDINGS


INTRODUCTION

Interactions and interdependence create a society. The individual, the family and the community provide mutual support, with individuals dependent on others at various stages of life. Disability and ageing are factors that may influence a person's need for support or assistance. Caring is a response to a need arising in the family or community, and contributes to the cohesion of a society. Relatives and friends provide a major part of the assistance needed. Support from government, commercial and private non-profit sources also helps to provide part of this assistance.


DISABILITY

In 1998, 3.6 million people in Australia had a disability (19% of the total population). A further 3.1 million had an impairment or long-term condition that did not restrict their everyday activities. Of those with a disability, 87% (3.2 million) experienced specific restrictions in core activities, schooling or employment.
Self care, mobility and communication are fundamentally important activities underlying all aspects of everyday life. Most people with a disability (78%, or 15% of the total population) were restricted in one or more of these core activities. Depending on the level of assistance needed or difficulty experienced, restriction in core activities was profound (3% of the total population), severe (3%), moderate (4%) or mild (6%) (table 2). Participation in education and the labour force contributes to personal development and independence. Of those with a core activity restriction, 47% (1.3 million) people were also restricted in schooling or employment. A further 327,900 people without a core activity restriction were restricted in schooling or employment.

Disability and long-term health conditions, 1998

Persons
Proportion
`000
%
    Disability
    With core activity restriction
2 828.0
15.2
    With schooling or employment restriction
1 660.4
8.9
    With core activity and schooling or employment restrictions
1332.5
7.1
    With schooling or employment restrictions only
327.9
1.8
    All with specific restrictions
3 155.9
16.9
    Without specific restrictions
454.4
2.4
    All with disability
3 610.3
19.3
    No disability
    With impairment or long term condition
3 103.2
16.6
    Without impairment or long term condition
11 947.1
64.0
    All without disability
15 050.3
80.7


Sex and age

The rate of disability increased with age, from 4% for children aged 0-4 years to 84% for those aged 85 and over. While the proportion of males and females with a disability was similar (around 19%), it varied across age groups. Males had similar or higher rates across all age groups except for those aged 80-84 years. In particular, disability rates for males were markedly higher for those who were young (0-14 years) or approaching older age (60-79 years). The greater proportion of females in the older age groups, where disability rates are higher, affects the overall disability rate for females. If both sexes were evenly distributed across age groups, males would have a disability rate of 20%, compared with 18% for females.

Disability rates by age and sex, 1998


When the disability population is confined to people with a specific restriction, rates are again similar for males and females (17%). Differences between males and females are less marked across most age groups.

Of the 1.1 million people with a profound or severe core activity restriction, 56% were female. Among older people, the rates of severe and profound disability were markedly greater for females.

Profound/severe core activity restriction rate(a), 1998



(a) Standardised to March 1998 Australian population distribution


Comparison over time

There has been a steady rise in the underlying disability rate since the first disability survey in 1981. After adjusting for changes between surveys and in the age distribution of the population, the rate has increased from 15% in 1981 to 19% in 1998. This is underpinned by growth in the proportion with specific restriction from 10% to 16% in the same period. The greater part of the increase between 1993 and 1998 is for people with severe and profound restrictions.

Age-standardised adjusted(a) disability and specific restrictions rates


(a) Using common criteria, standardised to the March 1998 Australian population distribution


States and Territories


In 1998, the disability rate varied across States and Territories (13% in the Northern Territory to 22% in South Australia and Tasmania). When adjustments are made to account for differences in age distributions, the variation in disability rates decreased (from 18% in Victoria to 22% in Tasmania).

Disability and specific restrictions rates, 1998
Disability
Specific restrictions
Actual
Standardised (a)
Actual
Standardised (a)
%
%
%
%
    New South Wales
19.3
19.0
16.9
16.6
    Victoria
18.0
17.8
15.9
15.7
    Queensland
19.9
20.4
17.3
17.8
    South Australia
22.4
21.4
19.9
18.9
    Western Australia
19.5
20.4
16.8
17.6
    Tasmania
22.3
21.7
19.2
18.7
    Northern Territory
13.3
18.3
11.2
16.1
    Australian Capital Territory
17.2
19.8
14.2
16.7
    Australia
19.3
19.3
16.9
16.9


Underlying health conditions

Disability usually exists as a consequence of disease, disorder or injury. In 1998, physical conditions, including musculoskeletal disorders such as arthritis, were the most common cause of disability (85%). However, 15% of people with a disability identified a mental or behavioural disorder as their main condition.
Because of the greater numbers with physical disorders, most people with a severe or profound core activity restriction had a physical disorder as their main condition (78%). However, people whose main condition was a mental or behavioural disorder were more likely to be profoundly or severely restricted than those with a physical condition (47% compared with 29%). The vast majority of people with dementia had profound restrictions (94%). Of people with an intellectual or developmental disorder as the main condition, 47% were profoundly or severely restricted.


Disorders reported as main condition causing disability, 1998



People reported a wide range of causes for the condition leading to their disability. The most commonly reported reasons were: 'Just came on/due to old age' (25%) and 'Accident or injury' (16%). For those with hearing disorders, 29% reported 'Working conditions, work or overwork' as the cause.


Assistance

In 1998, 57% of the 3.4 million people with a disability living in households needed assistance to move around or go out, shower or dress, prepare meals, do housework, light property maintenance or paperwork, or communicate.
Most people in need of assistance received some help: 64% had their need fully met, and 32% partly met. However, there were 4% who felt their needs were not met at all. The proportion of people receiving help varied with the severity of restriction. People with profound or severe restriction who needed assistance were very likely to receive help; however, they were less likely to have their needs fully met than those with milder restrictions.

Persons with a disability who need assistance, 1998


Most people with a core activity restriction received assistance from relatives and friends, chiefly partners, parents and children: 97% of people with profound or severe core activity restrictions and over 80% with moderate or mild restrictions received informal assistance. Formal providers of assistance such as home care workers and voluntary workers were used by just over half of the people with profound/severe (53%) or moderate (51%) restrictions.


Older people

In 1998, there were 2.3 million people aged 65 and over, including 976,500 who were aged 75 and over. The vast majority lived in private dwellings (91%), while a small proportion (7%) lived in cared accommodation such as nursing homes or aged care hostels. The remainder (2%) lived in other non-private dwellings, such as boarding houses.
Of people aged 65 years and over, 54% had a disability. Nearly all older people in cared accommodation (97%) had a disability, and most (82%) had a profound core activity restriction. In contrast, 50% of older people in private dwellings and 54% in other non-private dwellings had a disability. The prevalence of profound core activity restriction was also lower in both these latter groups (9% and 11%).

Need for assistance

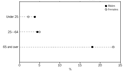
Less than half (46%) of all older people needed assistance. Older people's need for assistance with everyday activities increased with age regardless of whether or not they had a disability. Older people aged 85 or more had a markedly higher need for assistance than those aged 65-74 (92% compared with 32%).

Older People's Need for Assistance by Age, 1998

Older people most commonly needed assistance with property maintenance and health care. Other common areas of need were transport, mobility, housework and self care.

Family and friends were the main providers of assistance although 59% purchased or received formal help. Partners and children were the usual informal providers of help to older people. Of the 710,900 receiving informal assistance, 294,900 (41%) were assisted by partners, who were probably older people themselves.

Activities where assistance needed by older people, 1998

(a) Need for assistance with personal activities was only collected from people with a disability.


CARERS

All providers of assistance

In 1998, there were 2.3 million people who provided some assistance to those who needed help because of disability or ageing. Both males and females were well represented as carers, although a majority of these people were female (56%). Of those providing some assistance, 887,800 (38%) were in the 35-54 age range when caring responsibilities may involve children, partners and ageing parents. A further 181,100 were children under 18, and 133,300 were people aged 75 and over.

All people providing assistance, 1998


Primary carers

Primary carers are those who provide most informal assistance with personal activities to a person with a disability and therefore caring plays a major part in their lives. In 1998, 19% (450,900) of all people providing assistance were primary carers, and most of these (70%) were female. Most primary carers (79%) cared for a person in the same household.

Primary carers by age, 1998




COMING SOON


Summary tables for each State and Territory will be released in May 1999.


DISABILITY, AGEING AND CARERS: SUMMARY OF FINDINGS, AUSTRALIA, 1993


MAIN FEATURES


INTRODUCTION

This publication summaries the main findings of the 1993 Survey of Disability, Ageing and Carers, providing estimates of the numbers and main characteristics of persons with disabilities, persons with handicaps, persons aged 60 years or more and carers. The survey was conducted in private and special dwellings as well as in establishments such as hospitals, nursing homes, hostels and retirement villages.

A person was identified as having a disability if he/she had one or more of a group of selected limitations, restrictions or impairments which had lasted, or was likely to last, for six months or more. (See glossary for more details on disability.)

A handicap results from a disability which limits a person's ability to perform certain tasks associated with daily living. The limitation must be in relation to one or more of the tasks of: self-care, mobility, verbal communication, schooling or employment. Children with a disability, aged less than 5 years, were all regarded as having a handicap, but the area and severity of handicap was not determined. These definitions of disability and handicap are based on the International Classification of Impairments, Disabilities and Handicaps published by the World Health Organisation (Geneva 1980).

Many carers are family, friends or neighbours who provide informal help to persons with a disability. This publication presents information on principal carers only (those who provide most care for persons with a handicap, in the areas of self-care, mobility or verbal communication).


SUMMARY OF RESULTS

In 1993, it was estimated that 3,176,700 persons, or 18.0 per cent of the Australian population had a disability. In addition, 2,500,200, or 78.7 per cent, of those with a disability were classified as having a handicap.

There were 14.2 per cent of the total Australian population who had a handicap. This population was comprised of:
  • 419,900 persons (2.4% of the Australian population) who always needed help from another person to perform one or more designated tasks (ie, had a 'profound' handicap);
  • 301,100 persons (1.7% of the Australian population) who sometimes needed help to perform the designated tasks (ie, had a 'severe' handicap);
  • 455,500 persons (2.6% of the Australian population) who needed no help but had difficulty performing one or more of the designated tasks (ie, had a 'moderate' handicap);
  • 941,800 persons (5.3% of the Australian population) who needed no help with, and did not have a difficulty with, any of the designated tasks but used an aid to perform one or more of these tasks or had difficulty walking 200 metres, or walking up and down stairs, or in using public transport, or picking up an object from the floor (ie, had a 'mild' handicap);
  • 382,200 persons (2.2% of the Australian population) who had a schooling limitation or an employment limitation only, or who were aged less than five years, or whose only limitation was 'did not use the toilet' (severity of handicap was not determined for these people).

The division of the population according to disability, handicap and severity of handicap is illustrated in Diagram 1 below.


DIAGRAM 1. ALL PERSONS: NUMBER AND PROPORTIONS OF PERSONS WITH A DISABILITY AND PERSONS WITH A HANDICAP BY SEVERITY OF HANDICAP




The number of persons living in households was 17,460,600, and of those 17.3 per cent had a disability, while there were 166,500 living in establishments and of those 95.0 per cent had a disability.


It was estimated that 2,762,900 persons, or 15.7 per cent of the Australian population, were aged 60 years or more. Of these, 50.9 per cent had a disability and 43.1 per cent were also classified as having a handicap.

577,500 persons were principal carers (those who provide the most care for persons with a disability, in the areas of self-care, mobility or verbal communication), representing 4.2 per cent of the Australian population aged 15 years or more.

Disability and Handicap

Disability and handicap are strongly related to age. The rates for both increased rapidly for those aged 45 years and over, for males and females. However, the rates for disability without handicap reached a maximum for persons aged 70-74 years and then showed a decrease, as older persons are more likely to have a handicap resulting from their disability.

Children aged 0-4 years were taken as a base population for comparing the increasing frequency of handicap with age.

The handicap rate at age 35-44 years is approximately double that for children aged 0-4 years. By age 60-64 years, the handicap rate is approximately seven times that for children aged 0-4 years and by age 75 years and over, the rate is about fourteen times that found for children aged 0-4 years. Disability rates follow a very similar pattern, as most persons (78.7%) with a disability are also classified as having a handicap.

Disability and handicap rates ( the number of persons with a disability or a handicap per thousand population) were calculated for each State and Territory. Because of the strong relationship between age and disability, an age standardised rate, standardised to the national population age structure at March 1993, was also calculated. This removes any differences due to the differing age structures between each State and Territory. (See table below.)

HANDICAP AND DISABILITY RATES BY STATES AND TERRITORIES
(Rate per 1,000 population)

Handicap rate
Disability rate
State
Actual
Standardised
Actual
Standardised

NSW
133.9
131.0
169.3
166.0
Vic.
143.5
141.8
183.3
181.5
Qld
147.1
150.2
188.1
191.8
SA
165.5
156.1
206.0
195.4
WA
142.7
149.3
182.4
190.3
Tas.
148.0
145.7
185.1
182.7
NT
91.6
157.1
123.0
190.2
ACT
121.3
148.8
157.6
187.8
Australia
141.8
141.8
180.2
180.2



Northern Territory showed the lowest actual rate for both disability and handicap (123.0 and 91.6 respectively). However, the aged standardised rates for Northern Territory were the fourth highest for disability and the highest for handicap (190.2 and 157.1 respectively). Rates for New South Wales were low for both the actual and the age standardised rates, while the rates for South Australia were high for both the actual and the age standardised rates. Only small differences were apparent for the standardised rates when the other States and the Australian Capital Territory were compared.

GRAPH 1: HANDICAP RATES BY AGE BY SEX



Comparison with the 1998 Disabled and Aged Survey


Overall rates of disability and handicap reported from the 1988 and 1993 surveys are not directly comparable, because additional information was collected to identify disability and handicap in the 1993 Survey of Disability, Ageing and Carers. This had the effect of identifying greater numbers of people in certain categories. The changes were made because it was considered that, in the 1988 Survey of Disabled and Aged Persons, certain types of disabilities and areas of handicaps could have been missed. The additional limitations, restrictions or impairments which were separately identified in the 1993 survey were:
  • difficulty gripping things;
  • long-term effects of brain damage, stroke or head injury;
  • any other long-term condition which causes a restriction (such as arthritis, asthma, alzheimer's disease, dementia or heart disease).
Questions were also included in the 1993 survey to identify handicap due to difficulty picking up objects from the floor.

Also, in addition to asking questions on employment limitations of persons aged 15-64 years, the 1993 survey asked questions of persons aged 65 years and over, if they had not stated that they had retired.

The effects of these changes, and other factors such as the population ageing, combined to show an additional 1.4 per cent of the population with a disability and an additional 1.2 per cent of the population with a handicap. If the 1993 survey had been conducted using categories identical to those used in 1988, analysis of this data shows that 16.6 per cent of the population would have been identified with a disability and 13.0 per cent with a handicap, compared with the 18.0 per cent for disability and 14.2 per cent for handicap reported in 1993.

The 1988 survey found that there were 15.6 per cent of the population with a disability and 13.0 per cent of the population with a handicap. If the 1988 survey is standardised to the 1993 population, by multiplying the 1992 population in each age group by the proportion identifies as having a disability or a handicap in 1988 and summing the results, it shows that 16.0 per cent of the population has a disability and 13.4 per cent of the population had a handicap. Based on these calculations, it would seem that there has been a small increase in the proportion of persons with a disability (from 16.0% to 16.6%) and a small decrease in the proportion of persons with a handicap (from 13.4% to 13.0%).

COMPARISON OF PROPORTIONS OF DISABILITY AND HANDICAP 1988, 1993

Actual 1993 data using 1988 data using Actual
1993 data 1988 categories 1993 age structure 1988 data


Disability 18.0 16.6 16.0 15.6
Handicap 14.2 13.0 13.4 13.0




Demographic Characteristics


In 1993, of the 18.0 per cent (3,176,700) of the Australian population with one or more disabilities, 51.0 per cent were males and 49.0 per cent females. The distribution of disability across all States and Territories reflected the national figures, except in South Australia (20.6%), which was 2.6 per cent higher than the national average and the Northern Territory (12.3%), which was 5.7 per cent lower. The lower rate for the Northern Territory is due to the younger age structure. (See Glossary for Disability and Handicap Rates).

For all age groups more males than females reported a disability (18.4 per cent and 17.6 per cent, respectively). However, the 60-64 year age group showed the largest difference with 43.2 per cent of males and 29.6 per cent of females reporting a disability.

In 1993 95.0 per cent of persons with one or more disabilities lived in households, 18.7 per cent of these living alone. The proportion of persons living alone increases as age increases, both for persons with a disability and for persons without a disability. In the 0-24 year age group in households, 2.5 per cent of persons with a disability and 1.0 per cent without a disability live alone, compared with 39.9 per cent and 41.7 per cent respectively in the 75 year and over age group. Of all persons in households, 17.3 per cent have one or more disabilities, compared with 95.0 per cent of persons in establishments.

Severity and Area of Handicap

Of the 2,500,200 persons with a handicap, the most frequently reported area of handicap was mobility where 1,827,500 or 73.1 per cent reported mobility limitations. The next most frequently reported area of handicap was employment where 1,497,900 or 60 per cent of persons with a handicap reported employment limitations.

Four levels of severity of handicap were identified for the 1993 Survey of Disability, Ageing and Carers - profound, severe, moderate and mild. The largest category was mild handicap with 941,800 or 37.7 per cent of all person with a handicap. Of all males with a handicap 160,000 (13.0%) has a profound handicap, 133,500 (10.9%) had a severe handicap, 226,200 (18.4%) had a moderate handicap, and 482,100 (39.3%) had a mild handicap. For females with a handicap 259,900 (20.4%) had a profound handicap, 167,600 (13.2%) a severe handicap, 229,200 (18.0%) a moderate handicap, and 459,600 (36.1%) a mild handicap. The remainder of persons with a handicap were classified as 'severity not determined'. This category includes persons who had a schooling limitation or an employment limitation only, children who were aged less than five years, or persons whose only limitation was 'does not use the toilet'.

In all States and Territories the distribution of the area and severity of handicap was similar to the national estimates. There were 51,500 males aged 75 years or more, with a profound handicap, compared with 138,400 females, giving a sex ratio (males per 100 females) of 37.2. The sex ratio for persons aged 75 years or more, with a handicap, is 59.2 and for all persons in this age group is 60.2. Therefore, while some of the predominance of profound handicap in females is due to the age structure of the population, it cannot all be explained in this way. The remainder of the age categories, by the level of handicap, do not display any marked differences between males and females.

Disabling Conditions

Disabling conditions, such as respiratory diseases or mental disorders, were reported in response to a set of questions designed to identify the presence of a limitation, restriction or impairment.

The main disabling condition is the condition, identified by a person with multiple conditions, as the condition causing the most problems. Where only one condition was recorded, this was considered to be the main disabling condition.

Eleven categories have been used to group the main disabling conditions in this publication, with nine conditions classified as physical disorders.

GRAPH 2: PERSONS WITH A DISABILITY, TYPE OF MAIN DISABLING CONDITION




The conditions most frequently reported by persons with a disability were arthritis and other musculoskeletal conditions 27.2 per cent (863,300); disorders of the ear and mastoid process 14.2 per cent (450,000); all mental disorders 11.1 per cent (353,500); and respiratory diseases 9.1 per cent (290,400).


The most prevalent main disabling condition varied according to age groups, with those aged 0 -14 years reporting respiratory disease (26.4%); persons 15-24 years mental disorders (22.8%) and all other age groups most frequently reporting arthritis and other musuloskeletal disorders.

Physical conditions were reported as the main disabling condition by 88.9 per cent (2,823,200) of persons with a disability and mental disorders were reported by the remaining 11.1 per cent (353,500). Males reported mental disorders as the main condition in 9.9 per cent of cases and females in 12.4 per cent of cases. The proportion of mental disorders reported as the main disabling condition increased with the level of severity of handicap (see table below).

TYPE OF MAIN DISABLING CONDITION BY LEVEL OF SEVERITY OF HANDICAP

Level of handicap
Mental %
Physical %

Profound
19.1
80.9
Severe
10.4
89.6
Moderate
8.7
91.3
Mild
7.3
92.7
Total
11.6
88.4



Employment

Of all persons with a handicap aged 15-64 years living in a household, 46.5 per cent (593,000) were in the labour force (ie, those employed and unemployed). The employment rate for those in the labour force was 79.0 per cent and was similar for both males (78.8%) and females (79.4%).

It was estimated that 468,500 persons with a handicap were employed. Of this group, 3.4 per cent (15,800) had a profound handicap; 12.4 per cent (58,200) had a severe handicap; 17.6 per cent (82,500) had a moderate handicap; 46.0 per cent (215,600) had a mild handicap and for 20.6 per cent (96,300), the level of handicap was not determined (this group includes persons whose only limitation is an employment limitation).

The participation rate for any group is the number of persons in the labour force in that group (ie, employed plus unemployed) expressed as a percentage of the population in the same age group. The participation rate for persons with a handicap aged 15-64 years in households was 46.5 per cent compared with 73.6 per cent for all persons aged 15-64 years.

Older Persons

The 1993 Survey of Disability, Ageing and Carers found that there were 2,762,900 persons in Australia aged 60 years or more, representing 15.7 percent of the total Australian population. There were 1,405,600 persons (50.9%) in this age group who had a disability (44.2% of all persons with a disability). Of all persons 60 years or more, 43.1 per cent (1,189,600) had a handicap (47.6% of all persons with a handicap). From these figures, it can be seen that persons aged 60 years or more accounted for a disproportionate number of persons with a disability and handicap, consistent with the earlier comments that disability and handicap are strongly related to age.

Need for Help: Persons with Disabilities Living in Households

Persons in the survey identified limitations in performing certain tasks associated with everyday living and their need for help in relation to their limitation.

There were 1,478,900 persons with a disability, living in households, who reported a need for help in one or more activity, and of those 1,161,800 reported receiving help in at least one activity. In general, the majority of help received was informal, and just over half of those who reported they received some help, stated that it was provided by their spouse/partner. Although most informal help was provided by a relative, 168,400 people, or 14.5 per cent, stated they received help from a friend or neighbour.


The most frequently reported activity requiring help was the area of home maintenance (953,500 persons). This represented 64.5 per cent of all persons with a disability who reported any need for help, and 31.6 per cent of all persons with a disability within households. Of this population needing help with home maintenance, 37.9 per cent were males and 62.1 per cent were females. Of all persons with a disability needing help, 107,700, or 7.3 per cent reported a need for help with verbal communication.

As age increased so the need for help also increases. There were 79,900 persons (5.4%) aged 15-24 years, with a disability, living in households who needed help with at least one activity, while for those aged 75 years and over there were 347,900 persons or 23.5 per cent of all those with a disability needing help.

GRAPH 3: PERSONS WITH A DISABILITY LIVING IN HOUSEHOLDS WHO REPORTED A NEED FOR HELP




PERSONS WITH A DISABILITY LIVING IN HOUSEHOLDS WHO REPORTED A NEED FOR HELP BY ACTIVITY
Males
Females
Persons
'000
'000
'000

Self care
155.5
175.7
331.2
Mobility
200.6
293.8
494.3
Verbal communication
62.3
45.4
107.7
Health care
198.2
280.6
478.7
Home help
244.1
398.4
642.5
Home maintenance
340.5
612.9
953.5
Meal preparation
85.2
84.5
169.7
Personal affairs
135.9
148.0
283.9
Transport
213.8
494.5
708.2

Total(a)

603.1

875.8

1,478.9

(a) Persons needing help can report this need in more than one activity.


Need for Help: Older Persons

All persons aged 60 years or more living in households were questioned about their need for help with home help, home maintenance, meal preparation, personal affairs and transport. This section considers help in relation to only those activities.

There were 1,106,900 persons aged 60 years or more, living in households, who reported needing help with at least one of these activities. The activity where help was most frequently needed was home maintenance where 804,700 persons reported needing help. This was followed by a need for help with transport by 658,100 persons.

Of the 1,106,900 persons aged 60 years or more, needing help, 760,400 or 68.7 per cent were persons identified as having a disability. Those persons with a disability needed most help in the area of home maintenance (613,100), whereas persons with no disability, of the same age, most frequently needed help with transport (203,800). Of all persons aged 60 years or more, with a disability, living in households 59.9 per cent reported needing help with one or more of the above activities.

A larger proportion of females than males, aged 60 years or more living in households, reported a need for help. Females needing help represented 71.9 per cent of all persons needing help in that age group. However, females represented only 55.9 per cent of all persons aged 60 years or more living in households. Considering persons in households, in that age group with a disability, 50.7 per cent were females, but of those with a disability who reported needing help, 66.0 per cent were females. Both sexes reported home maintenance as the activity for which help was most frequently needed. Of persons in that age group with no disability (who reported a need for help), 84.8 per cent were females, with males most frequently needing help with home maintenance and females with transport.

Over all age groups, more females reported needing help than males. This difference was greatest in the 75-79 year age group where 75.8 per cent of persons needing help were females, although they made up only 58.1 per cent of the total population, in households, in that age group.

Principal Carers

In 1993 there were 577,500 principal carers aged 15 years and over, who cared for a person with a handicap. This is 4.2 per cent of the Australian population aged 15 years and over. Of these principal carers, 425,200 cared for a person in the same household and 152,300 cared for a person who lived outside their household.

For both usual resident and non-usual resident carers, females provided the majority of care. There were 273,700 or 64.4 per cent female carers and 151,500 or 35.6 per cent male carers who cared for another person in the same household. The difference was even greater for carers living outside the household with almost three quarters of the carers in this category being females.

The predominance of female carers over male carers was consistent over all States and Territories, whether caring for a person in the same household or for a person in another household, with little fluctuation from the national average when caring for a person in the same household.