1350.0 - Australian Economic Indicators, Dec 2002  
ARCHIVED ISSUE Released at 11:30 AM (CANBERRA TIME) 29/11/2002   
   Page tools: Print Print Page

Feature Article - Volatility of Labour Force Estimates


The following article is reprinted, with correction to Figure 19, from the December 2002 issue of Australian Economic Indicators (cat. no. 1350.0).


INTRODUCTION

Over the last 18 months or so there has been some concern expressed by a number of users of Labour Force Survey (LFS) statistics that some seasonally adjusted series have become more volatile. This concern has focused mainly on the female full-time and part-time components of employment, unemployment rate and participation rate.

This article describes what volatility is, and how it is measured. It then presents results of investigations into whether labour force seasonally adjusted series have become more volatile recently.


WHAT IS VOLATILITY?

Any time series of survey estimates is subject to a degree of irregularity. Such ‘volatility’ may be intrinsic to the data collection process, such as sampling error and non-sampling error. It may also reflect changes in the real world, resulting in short-term movements of estimates which do not reflect the general underlying behaviour of the series. Changes in seasonal patterns can cause a seasonally adjusted series to become more volatile, because it may take several years for the seasonal adjustment process to identify and adapt to the new seasonal pattern. In this case, there may not necessarily be any increase in the volatility of the original (unadjusted) series.


MEASURING VOLATILITY

Time series decomposition

An observation in an original time series can be decomposed into three components: the trend, which represents the underlying movement of the series; systematic calendar related influences, such as trading patterns and holidays; and the residual or irregular component, which reflects transient ‘real world’ activities as well as sampling errors and other errors from the survey process. The relative contributions of the three components vary between series, and over time for any individual series.

For the LFS, the time series decomposition can be written as:

Survey estimate = Trend estimate x Seasonal factor x Irregular factor

Seasonally adjusted estimates are derived by estimating the seasonal component and removing it from the original survey estimate:

Seasonally adjusted estimate= Survey estimate / Seasonal factor
= Trend estimate x Irregular factor

That is, seasonally adjusted estimates still contain irregular influences in addition to the underlying trend.

The Irregular Deviation of a seasonally adjusted series

The irregular factor (which is obtained by dividing the seasonally adjusted estimate by the trend estimate) fluctuates around its expected value of unity. In this article, volatility is measured by the ‘Irregular Deviation’ defined as the absolute value (i.e. ignoring the sign) of the difference between the irregular factor and unity:

Irregular Deviation = abs(Irregular factor - 1)

where abs(.) denotes the absolute value function. Equivalently, the Irregular Deviation can be expressed as the absolute value of (Seasonally adjusted estimate - Trend estimate) / Trend estimate. The Irregular Deviation is normally expressed as a percentage - i.e. the absolute difference between the seasonally adjusted and trend estimates as a percentage of the trend.

Using initial ‘real time’ seasonally adjusted estimates

As new observations are added progressively to a time series, the seasonally adjusted estimate for a previous period will, as a consequence, continue to change until converging to its final value after several years. Therefore, seasonally adjusted estimates near the end of a time series will be subject to more downstream change than earlier points in the series. Hence, in order to ensure that volatility levels are compared in an unbiased manner over the full length of each time series examined in this article, the initial seasonally adjusted estimate (referred to below as the ‘real time first estimate’) has been used to derive the volatility measure.

Smoothing the Irregular Deviation

To help identify the underlying trend in volatility, the Irregular Deviation has been smoothed using two statistical averages: a symmetrical 13-term moving average; and a lowess (local regression model) filter. Relative to the 13-term moving average, the lowess curve is less sensitive to short-term variation in volatility, and hence provides a better indicator of longer term changes in the level of volatility. However, values on the lowess curve near the end of the series should be used with caution, as they will be subject to revision over time.


ARE RECENT LFS SEASONALLY ADJUSTED ESTIMATES MORE VOLATILE?

Summary

Smoothed Irregular Deviations have been examined for a range of key labour force seasonally adjusted series for the period January 1990 to August 2002 (see following graphs). In summary:
  • for employed persons, there is no evidence of any recent increase in volatility levels;
  • for employed males, recent volatility levels are considerably lower than those experienced in the early 1990s;
  • for employed females, recent volatility levels are no higher than levels experienced in the early and mid 1990s;
  • for persons employed full-time and persons employed part-time, there has been a noticeable increase in volatility (since 2001 and 2000 respectively), but to levels which are no greater than those experienced in the early 1990s;
  • for females employed full-time, recent volatility levels have been higher than at any other time in the last 12 years;
  • for females employed part-time, volatility levels rose strongly during 2000, reaching a higher level than at any other time in the last 12 years; since early 2001, volatility has been decreasing;
  • for males employed full-time and males employed part-time, there is no evidence of a recent increase in volatility;
  • volatility of the participation rate for females and persons increased during 2000 and 2001, but to levels that are no higher than those experienced in the early 1990s;
  • there has been no recent increase in volatility levels for unemployed persons and unemployment rate series.

Detailed analysis

Figure 1 shows the Irregular Deviation for the employed persons series. There is no evidence of any recent increase in volatility - in fact, volatility levels in the early 1990s were higher than at present.

FIGURE 1: EMPLOYED PERSONS
Graph - FIGURE 1: EMPLOYED PERSONS



It can also be seen from figure 1 that there have been episodes of relatively low volatility interspersed with ‘noisier’ periods. This behaviour may contribute to occasional concerns that LFS estimates are becoming more volatile.

Figures 2 and 3 show the Irregular Deviation for employed males and employed females respectively. There is no evidence of any recent increase in volatility levels for employed males (in fact there has been a gradual decline over the last six years). For employed females, there was a moderate increase during 2000, but only to levels that have been reached several times in the past.

FIGURE 2: EMPLOYED MALES
Graph - FIGURE 2: EMPLOYED MALES


FIGURE 3: EMPLOYED FEMALES
Graph - FIGURE 3: EMPLOYED FEMALES



While the employed persons series does not indicate increasing levels of volatility, disaggregating it into full-time and part-time employed gives a different picture. For example, from Figure 4 there is evidence of increased volatility in the full-time employed series from late 2000 compared with earlier periods; and for persons employed part-time (Figure 5) there is evidence of increased volatility from 1999 until early 2001 (volatility appears to have decreased since early 2001 from its highest point, though it remains at a relatively high level).

FIGURE 4: PERSONS EMPLOYED FULL-TIME
Graph - FIGURE 4: PERSONS EMPLOYED FULL-TIME


FIGURE 5: PERSONS EMPLOYED PART-TIME
Graph - FIGURE 5: PERSONS EMPLOYED PART-TIME



Figures 6 and 7 show the Irregular Deviation for full-time and part-time employed females respectively. Recent changes in volatility levels for these series are similar to the corresponding series for persons (Figures 4 and 5).

FIGURE 6: FEMALES EMPLOYED FULL-TIME
Graph - FIGURE 6: FEMALES EMPLOYED FULL-TIME


FIGURE 7: FEMALES EMPLOYED PART-TIME
Graph - FIGURE 7: FEMALES EMPLOYED PART-TIME



Figures 8 and 9 show no evidence of increased volatility in males employed full-time and males employed part-time.

FIGURE 8: MALES EMPLOYED FULL-TIME
Graph - FIGURE 8: MALES EMPLOYED FULL-TIME


FIGURE 9: MALES EMPLOYED PART-TIME
Graph - FIGURE 9: MALES EMPLOYED PART-TIME



From Figure 12, there is no evidence of recent increased volatility in the male participation rate. (In fact, volatility levels in recent years are lower than they were in the early 1990s.) However, volatility levels have been increasing steadily for females over the last 2-3 years, and are now comparable to levels experienced in the early 1990s (Figure 11). The recent increase in volatility for females has flowed through to the persons series (Figure 10).

FIGURE 10: PARTICIPATION RATE
Graph - FIGURE 10: PARTICIPATION RATE


FIGURE 11: FEMALE PARTICIPATION RATE
Graph - FIGURE 11: FEMALE PARTICIPATION RATE


FIGURE 12: MALE PARTICIPATION RATE
Graph - FIGURE 12: MALE PARTICIPATION RATE



Table 1 below summarises the findings on recent volatility for all key LFS seasonally adjusted series.

TABLE 1: SUMMARY OF FINDINGS ON LFS VOLATILITY

Series Is there any evidence of the series becoming more volatile recently?

EMPLOYED

Persons Employed No.
Persons Employed Full-time Volatility from 2001 onwards appears higher than earlier low volatility period (1995-2000).
Increase is mainly attributable to female full-time component.
Persons Employed Part-timeVolatility from 1999 to early 2001 appears higher than earlier low volatility period (1996-1999);
however there is also evidence this volatility has decreased since early 2001. Change in volatility is
mainly attributable to female part-time component.
Males Employed No.
Males Employed Full-time No.
Males Employed Part-time No.
Females Employed No strong evidence. While volatility of full-time and part-time components of this series appear to
have increased, the irregular movements in full-time and part-time series have tended to offset
each other.
Females Employed Full-time Volatility from 2001 onwards appears higher than earlier low volatility period (1996-2000).
Females Employed Part-time Volatility from 1999 to early 2011 appears higher than earlier low volatility period (1996-2000);
however there is also evidence that volatility has decreased since early 2001.

UNEMPLOYED

Unemployed Full-time No.
Unemployed Part-time No.
Unemployed Males No.
Unemployed Females No.

UNEMPLOYMENT RATE

Unemployment Rate No.
Unemployment Rate Full-time No.
Unemployment Rate Part-time No.
Unemployment Rate Males No.
Unemployment Rate Females No.

PARTICIPATION RATE

Participation Rate Volatility has increased steadily from early 2000 following a period of lower than average volatility
(1994-1999). However current levels are lower than those experienced in 1992 and early 1993.
The recent increase is being driven by increased volatility in the female participation rate.
Male Participation Rate No.
Female Participation Rate Volatility from 2000 onwards appears to have increased when compared with an earlier low
volatility period (1994-1999).



Further analysis of females employed series

The above analysis looked at patterns of volatility over the last 12 years for LFS seasonally adjusted series. The analysis showed that, for females employed full-time, recent volatility levels had increased significantly, and were still relatively high in mid-2002.

Complementarity of full-time and part-time components of employed females

For the female employed full-time and part-time series, Figure 13 shows the relative deviation of the seasonally adjusted estimate from the trend (this is the Irregular Deviation with the sign restored). The graph shows that, as expected, the full-time and part-time irregulars have a tendency to be opposite in sign, and hence to partially cancel each other out. This is consistent with the lower volatility levels observed in the females employed series compared with the full-time and part-time component series. Increased irregularity is clearly visible in the full-time and part-time series from 2001 and late 2000 respectively.

FIGURE 13: RELATIVE DEVIATION OF SEASONALLY ADJUSTED ESTIMATE
FROM TREND (EMPLOYED FEMALES)

Graph - FIGURE 13: RELATIVE DEVIATION OF SEASONALLY ADJUSTED ESTIMATE FROM TREND (EMPLOYED FEMALES)



Are original estimates for employed females becoming more volatile?

Figure 14 shows the absolute relative deviation from the trend of the original estimate, for females employed full-time. This volatility measure is essentially the Irregular Deviation, but with the seasonally adjusted series replaced by the original series; hence its volatility incorporates both seasonal and irregular variation. It can be seen that the 13-term moving average has been increasing steadily since about 1996. However it does not show any marked increase over the last two years (in contrast, Figure 6 showed that the volatility of the seasonally adjusted series has almost doubled in that time). Figure 14 is also suggestive of a change in seasonal pattern after 2000, as seasonal spikes become less distinct.

FIGURE 14: ABSOLUTE RELATIVE DEVIATION OF ORIGINAL FROM TREND SERIES
(FEMALES EMPLOYED FULL-TIME)

Graph - FIGURE 14: ABSOLUTE RELATIVE DEVIATION OF ORIGINAL FROM TREND SERIES (FEMALES EMPLOYED FULL-TIME)



Gross flows analysis

One point to bear in mind when thinking about volatility in net monthly movements for LFS series is that those net changes sit on much larger gross flows into and out of any component of labour force status. For example, the net decrease in original part-time employment between April and May 2002 was about 30,000 persons, but from the 80 per cent of the sample that is common to those two months, close to 370,000 persons moved into part-time employment in May and about 410,000 persons employed part time in April moved to another labour force status in the following month. Analysis of gross flows data has not shown any recent increase in the rate of ‘churn’ between full-time and part-time states for employed females.


POSSIBLE CAUSES OF VOLATILITY

Volatility in seasonally adjusted series is the result of several influences, although these can be broadly grouped into real-world influences and those connected with the survey process (i.e. sampling and non-sampling errors).

Real world influences

Over the last two years or so there have been a number of events that will have had some effect on the Australian labour market. As these are not part of the normal annual pattern, the seasonal adjustment process cannot adjust for them. These effects will in some instances be very short term, but in others may be permanent. Significant events that may have had an impact on the labour market, and possibly its seasonal patterns, include:
  • a new tax system from July 2000;
  • the Sydney Olympics in September 2000;
  • general economic conditions: domestically, as measured in negative GDP growth in December quarter 2000 and relatively strong growth in subsequent quarters, and significant business failures such as HIH, One.Tel and Ansett; and globally, with the US downturn during 2001 and uncertainty following the events of September 11; and
  • ongoing changes in the labour market in relation to more flexible working hours and employment arrangements, although this may be expected to result in a more gradual evolution of seasonal patterns.

Changes in economic activity

Changes in the level of economic activity have a major impact on the labour market. This may result in increased volatility of LFS series, possibly as a result of changes in the strength of attachment to the labour force of certain groups of jobseekers and workers, or possibly from changes to the full-time / part-time mix as people’s working hours cross the 35 hour threshold. For example, Figure 4 showed significantly increased volatility for the persons employed full time series around the time of the early 1990s recession.

It is evident from an examination of major labour force series, including measures of hours worked, that there has been significant recent changes in the labour market. This can be seen, for instance, from Figure 15 of the trend estimate of the unemployment rate, where there has been a notable increase following August 2000. The trend towards relatively more part-time employment is another example of recent changes.

FIGURE 15: UNEMPLOYMENT RATE, TREND ESTIMATE
Graph - FIGURE 15: UNEMPLOYMENT RATE, TREND ESTIMATE



For any particular employment series, cyclical employment is the deviation of the trend series from the historical long-term trend series. It indicates the speed and direction of employment change relative to the long-term trend. Cross-correlations between the level of volatility and cyclical employment for the persons employed full time series can be used to test for a possible relationship between the level of volatility and changes in economic activity.

Figure 16 shows cyclical employment and the volatility level (as measured by the 13-term moving average of the Irregular Deviation) for persons employed full-time. There is some evidence of a negative association between volatility levels and cyclical full-time employment. (Because the ‘final’ seasonally adjusted full-time employed series has been used to derive the volatility series and the cyclical employment series, there are some differences between Figure 16 and Figure 4 in volatility levels.)

FIGURE 16: PERSONS EMPLOYED FULL-TIME: CYCLICAL
EMPLOYMENT AND VOLATILITY

Graph - FIGURE 16: PERSONS EMPLOYED FULL-TIME: CYCLICAL EMPLOYMENT AND VOLATILITY EMPLOYMENT AND VOLATILITY
..... 13-term moving average of Irregular Deviation (RHS)
___ cyclical employment (LHS)


Figure 17 shows lagged cross correlations between the level of volatility of the full-time employment series and cyclical full-time employment. It can be seen that the level of volatility is negatively correlated with cyclical employment, being highest with a lag of two months. The magnitude of the correlation (-0.3 at its highest) is still relatively small, but indicates that a cyclical downturn may be soon followed by increased volatility. This is consistent with the earlier observation of heightened volatility for full-time employment in the early 1990s and in 2001.

FIGURE 17: CROSS CORRELATION BETWEEN CYCLICAL EMPLOYMENT
AND VOLATILITY (PERSONS EMPLOYED FULL-TIME)

Graph - FIGURE 17: CROSS CORRELATION BETWEEN CYCLICAL EMPLOYMENT AND VOLATILITY (PERSONS EMPLOYED FULL-TIME)



Small negative correlations between volatility and cyclical employment were also found for females employed full-time and females employed part-time.

One-off events that might explain particular episodes of volatility

The following events may have had an impact on volatility of labour force series over the last two years. However, one-off events such as these would not explain a sustained increase in volatility. They might nonetheless have contributed to the overall level of volatility during this period.

Sydney Olympics

The Olympic Games were conducted in Sydney during September 2000, and although not coinciding with the reference period for the LFS, will have had an effect on labour market activity in and around Sydney for September 2000 and surrounding months. In relation to the construction of infrastructure for the Games, the effects may have existed for several years prior to the Games, but are not expected to have led to increased volatility in the LFS.

The September 2000 LFS was conducted one week earlier than usual in New South Wales. This was done partly to avoid introducing volatility into the survey results for that month, and to counter operational difficulties with conducting the survey while the Olympics were underway. The effect of this change on survey results is considered to have been minor, and of no statistical significance in the context of the overall effects of the Games. Analysis of labour force series for New South Wales has not produced any evidence of an increase in volatility in the period around the Olympics.

Temporary Census workers - August 2001

August 2001 employment data include temporary staff recruited by the ABS to conduct the 2001 Population Census. The net addition to employment in August resulting from the Census is estimated to be 9,000 to 10,000 persons. Most of the remaining 31,000 temporary Census workers did not add to employment growth between July and August because they took Census employment as a second job. Some of these persons, although usually working part-time, may have worked full-time hours during August because of the additional Census work, and hence been classified as full-time employed in August.

For operational reasons related to the Population Census, the August 2001 LFS was conducted one week later than usual. On the basis of previous analysis, the effect of this change on survey results was considered to be minor.

Temporary Electoral workers - November 2001

November 2001 employment data was affected by the recruitment of temporary workers by the Australian Electoral Commission (AEC) to conduct the Federal election held on 10 November. The reference period for the November 2001 LFS was from 5 to 18 November. While the AEC has indicated that it employed about 40,000 extra people during the lead up to and conduct of the election, the ABS is unable to estimate the net addition to employment, or changes in its full-time and part-time composition, resulting from this recruitment activity, as it does not have the range of information that it does for Census workers.

Influence of survey processes

There are a number of methodological issues and operational processes that can also have an impact on survey volatility. The following have recently been investigated:
  • possible supplementary survey effect on LFS data;
  • interaction between holiday periods and the LFS reference week;
  • the introduction of a new LFS questionnaire in April 2001.

The next section of the article looks more closely at the likelihood of these factors having contributed to increased volatility.

Supplementary survey effects on LFS data

For most months of the year the LFS questionnaire is made up of two components - the regular monthly and quarterly labour force questions, and a variable component of additional questions about selected aspects of labour market activity. These extra questions are known as supplementary surveys.

The ABS has understood for some time that the regular August supplementary survey on employee earnings has a significant effect on reported labour force status. This was identified when the topic was moved to July in 1991 and not run at all in 1996 (because of the conduct of the Population Census in August of those years). The known effect was a prime factor in deciding to conduct this supplementary in August 2001, in spite of its coinciding with the Census.

If a supplementary survey is conducted in the same month every year, its effect (if any) on LFS data is automatically removed by the LFS seasonal adjustment process. However, a number of supplementary surveys are not conducted on a regular basis, and any effects they might have on LFS series are not removed by the LFS seasonal adjustment process. These effects would thus show up as irregular movements in LFS series. Recently the ABS has conducted an analysis of all supplementary surveys, showing that a number of them have a small but identifiable effect on reported labour force status.

There is no evidence to suggest that the supplementary survey program of the last two years has contributed more to volatility than previous periods, and no reason to suspect that it would. Nevertheless, the ABS is continuing its investigations into supplementary survey effects on LFS data, including an assessment of the need to make further adjustments for any effects that can be quantified, and how this might be done. Work is also underway on attempting to identify the underlying cause of supplementary survey effects on LFS data. In the meantime, the ABS planning process for the program of supplementary survey topics will continue to take into account the likelihood of LFS results being affected by the scheduling of irregular supplementary topics.

Survey proximity to holiday periods

Holiday periods and survey interview and reference weeks don’t always coincide in the same manner every year. The current seasonal adjustment process does not explicitly adjust for these variations. For instance, Easter and the usually coincident school holidays can fall at the beginning, middle, or end of the April survey period, or completely outside it.

Past analysis conducted by the ABS has revealed that there is a small but statistically significant effect on LFS employment estimates due to the timing of Easter, with the level of the estimates being depressed when Easter falls in the middle of the survey reference period. This coincidence of Easter and the survey reference period last occurred in 1999.

The proportion of full-time workers who work less than full-time hours because of leave and holiday reasons during the survey reference week, and the proportion of part-time workers who work no hours during the survey reference week, give us an indirect indication of leave and holiday activity which may impact on both labour market activity of respondents to the survey and on the composition of the sample collected for that particular month.

In the October 2001 survey, the proportion of full-time workers who worked less than full-time hours due to leave and holiday reasons was 21%. In addition, 14% of part-time workers worked no hours during the October reference period. Both of these observations are the largest for October in the history of the monthly series, and are significantly larger than the most recent three years. On the other hand, there is no indication of unusual holiday activity for the April and July 2001 school holiday periods.

For the January 2002 survey, reported holiday activity was substantially less than in previous years.

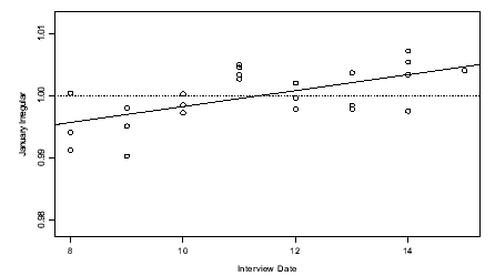
The movements in LFS main aggregates for January 2002 were very large, with consequent large irregulars (e.g. the initial seasonally adjusted estimate of employment was up 101,800 on the December 2001 figure). It is thought that the start date for interviews for January 2002 was a contributing factor. The two-week interview period for the LFS follows a predetermined pattern; according to this pattern, January interviewing may commence as early as the 8th or as late as the 14th, depending on the year. Interviews for January 2002 commenced on 14 January, whereas in 2001 they commenced on 8 January. Intuitively, the impact of the new year holiday period on people’s availability for the survey and on their labour market involvement will be greatest when interviews start earlier in January, and least when they start later in January. Figures 18 and 19 show the relationship between the interview start date in January and the estimated irregular factor, for adult females employed full-time and all females employed part-time, respectively. As expected, the start date has opposing effects on the full-time and part-time series. Analysis has also shown that the interview date effect is stronger for female than male series.

FIGURE 18: JANUARY INTERVIEW DATE EFFECT ON
ADULT FEMALES EMPLOYED FULL-TIME

Graph - FIGURE 18: JANUARY INTERVIEW DATE EFFECT ON ADULT FEMALES EMPLOYED FULL-TIME


FIGURE 19: JANUARY INTERVIEW DATE EFFECT ON
FEMALES EMPLOYED PART-TIME

Graph - FIGURE 19: JANUARY INTERVIEW DATE EFFECT ON FEMALES EMPLOYED PART-TIME



Currently, the seasonal adjustment process makes no specific adjustment for variation in the start date of LFS interviewing in January. The ABS is continuing to investigate this phenomenon, and is currently developing a methodology for incorporating a correction into future seasonal reanalyses.

New questionnaire

From April 2001, the LFS has been conducted using a redesigned questionnaire containing additional data items and some minor definitional changes. Prior to implementation of this new questionnaire, a statistical impact study was conducted (during 2000) in order to identify any unintended changes to key labour force status aggregates as a result of the new questionnaire being introduced. This impact study focussed on the total employment and unemployment rate series. No identifiable change was detected to labour force status as a result of the new questionnaire other than for the designed definitional changes. LFS aggregates were revised for the significant elements of those definitional changes, thereby removing any breaks in series.

One of the changes introduced with the new questionnaire was the reduction in frequency from monthly to quarterly for some employment details. Some small changes were also made to questions that lead into the hours worked sequence used to determine full-time/part-time employment. Preliminary investigations suggest that these changes may have contributed to increased volatility through a small level shift between the employed females full-time and employed females part-time series. It is possible that these level shifts may have disturbed the seasonal adjustment factors for these series; this will be subject to further analysis.

Survey response rates did decrease significantly during the first two months of the new questionnaire’s use, before interviewers became familiar with it. It is possible that this may have resulted in short-term volatility being introduced into the survey results.


POSSIBLE ENHANCEMENTS TO THE LFS SEASONAL ADJUSTMENT METHODOLOGY

As mentioned above, there are a number of aspects of the survey process that could be contributing to the volatility of LFS series, for which no explicit adjustment is currently being made. The ABS is looking at each of these issues in turn with a view to incorporating explicit adjustments into the seasonal adjustment process once an appropriate methodology is developed.

The ABS is also looking into the possibility of increasing the frequency of seasonal reanalyses from annual to monthly by introducing concurrent seasonal adjustment in place of the forward factor method now in use. Concurrent seasonal adjustment uses original data up to and including the current month to produce seasonally adjusted and trend series. Seasonally adjusted estimates from this method are usually closer on average to their final values, as any change in seasonality is picked up sooner. Analysis of ABS labour force data has shown that concurrent seasonal adjustment generally produces a more accurate initial seasonally adjusted estimate, has less revision over time, and converges quicker to the final estimate.


CONCLUSION

While there has not been a discernible increase in volatility of the key seasonally adjusted series (employed persons and the unemployment rate) at the aggregate level when comparing with past patterns, there has been a discernible increase in volatility over the last two years in seasonally adjusted estimates of females employed full time, females employed part time, and the female participation rate. For females employed full time, the corresponding original data has also become more volatile, but has done so gradually over a much longer timespan. For females employed part time and the female participation rate, this increase in volatility is not reflected in the original data. The more recent increases in the volatility of the seasonally adjusted data may have been caused by changes in seasonal patterns resulting from real world changes, or from structural changes in the series, or from some combination of the two.

The ABS will continue to monitor and investigate LFS volatility, and will pursue enhancements to the LFS seasonal adjustment methodology to improve its ability to adapt to changing patterns of seasonality, with a current particular focus being on the female employed full time and part time series.


FURTHER INFORMATION

For further information about the volatility of labour force estimates please contact Peter Bradbury on Canberra (02) 6252 6565 or email peter.bradbury@abs.gov.au.