1362.7 - Regional Statistics, Northern Territory, Mar 2011  
ARCHIVED ISSUE Released at 11:30 AM (CANBERRA TIME) 24/03/2011  Final
   Page tools: Print Print Page Print all pages in this productPrint All

FEATURE ARTICLE

On this page:
Population and growth
Sex ratio
Median age
Aboriginal and Torres Strait Islander population
Components of population change
Natural increase
Net overseas migration
Net interstate migration
Further information


POPULATION OF THE NORTHERN TERRITORY

The estimated resident population (ERP) is the official population count produced by the Australian Bureau of Statistics. This article examines the ERP of the NT in 2009, and makes comparisons over a five year period to the ERP in 2004. It discusses the overall growth in the NT's population and takes a closer look at the three components of this population change – natural increase (the number of births minus the number of deaths), net overseas migration, and net interstate migration. Comparisons between the NT and the other states and territories are included to highlight population differences.

Please note that the ERP data prior to September quarter 2006 are final, data for September quarter 2006 to December quarter 2008 are revised, and data from March quarter 2009 onwards are preliminary. For the components of population growth, natural increase data are preliminary for September quarter 2009 onwards, net overseas migration data are preliminary from March quarter 2009 onwards, and net interstate migration data are preliminary from September quarter 2006 onwards. Net overseas migration estimates contain a break in series. Estimates for September quarter 2006 onwards use an improved methodology and are not comparable with net overseas migration estimates from earlier periods.

Aboriginal and Torres Strait Islander population characteristics in the NT are also discussed, as Indigenous people make up a significant component of the NT's total population. The Aboriginal and Torres Strait Islander population data is based on experimental estimates produced for Census years and so the reference point for this population is 30 June 2006. These experimental estimates are based on counts from the 2006 Census of Population and Housing and adjusted for net undercount as measured by the Post Enumeration Survey (PES). The extent of undercoverage of Aboriginal and Torres Strait Islander Australians in the 2006 Census and the relatively small sample size of the PES to adjust for that undercoverage means that these estimates should be interpreted with caution.

Population and growth

The population of the NT at 31 December 2009 was 227,900 people, an increase of 5,000 people (2.3%) since 31 December 2008. During the five years to 31 December 2009, the NT population increased by 24,200 people or 11.9%. Over this period the NT had an average annual growth rate of 2.3%, making it the third fastest-growing of all the states and territories, after Western Australia (2.6%) and Queensland (2.5%).

AVERAGE ANNUAL POPULATION GROWTH RATE BETWEEN 2004 AND 2009(a)
Graph shows the NT had an annual average growth rate of 2.3% during the five years to 31 December 2009, making it the third fastest growing of all the states and territories during this period after WA (2.6%) and Qld (2.5%).

Sex ratio

At 31 December 2009, the population of the NT comprised about 118,200 males and 109,800 females. This represents a sex ratio (the number of males per 100 females) of 107.6, the highest of any state or territory. Western Australia was the only other state or territory where males outnumbered females, with a sex ratio of 102.8. Since 31 December 2004 the NT's sex ratio has decreased by 0.8 (from 108.4), due to the rate of the increase in the number of females being higher than the rate of the increase in the number of males. Nationally the ratio of males to females increased by 0.6 over the same period.

SEX RATIO(a)
Graph shows the NT had the highest sex ratio of any state or territory for the years ended 31 December 2004 and 31 December 2009. The number of females outnumbered males in both 2004 and 2009 for all states and territories except the NT and WA.

Median age

At 30 June 2009, the median age (the age at which half the population is older and half is younger) for the NT was 31.2 years. Although increasing from 30.5 years at 30 June 2004, the NT continues to have the lowest median age of all states and territories with the next lowest being the Australian Capital Territory (ACT) at 34.7 years. The median age for both males (31.4 years) and females (31.0 years) in the NT were also the lowest of all states and territories. The NT is also unique in being the only Australian state or territory with a median male age higher than the median female age.

Aboriginal and Torres Strait Islander population

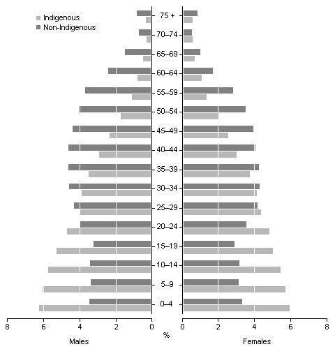
The experimental estimated resident Aboriginal and Torres Strait Islander population of the NT at 30 June 2006 was 64,000 people, or 30% of the total NT population, the highest proportion of all the states and territories. Of the states and territories, the NT had the fourth largest population of Aboriginal and Torres Strait Islander Australians. NSW had the largest population of Aboriginal and Torres Strait Islander Australians (152,700 people), followed by Queensland (144,900 people) and Western Australia (71,000 people). In 2006 the Indigenous population of the NT had a younger age structure than the non-Indigenous population of the NT, with larger proportions of young people and smaller proportions of older people.

POPULATION, NT, by age (years)–30 June 2006
Graph shows that the Aboriginal and Torres Strait Islander population in the NT is much younger than the non-Indigenous population in the NT.
Source: Experimental Estimates of Aboriginal and Torres Strait Islander Australians, Jun 2006 (cat. no. 3238.0.55.001)
Components of population change

At the state and territory level, population growth has three components: natural increase; net overseas migration; and net interstate migration. During the year ended 31 December 2009 all of the states and territories experienced positive population growth, however the proportion that each of these components contributed to population growth varied.

POPULATION COMPONENTS AS A PROPORTION OF TOTAL GROWTH(a)–
Year ended 31 December 2009
Graph shows all states and territories experienced positive population growth, however the proportion that natural increase, net overseas migration and net interstate migration contributed to population growth varied between them.

The contribution made by each component to the NT's total growth has also varied during the five years to 31 December 2009.

COMPONENTS OF POPULATION GROWTH, NT–Year ended 31 December
Graph shows natural increase was the highest contributor to NT's population growth each year between 2004 and 2009, followed by net overseas migration, while net interstate migration varied between positive and negative contributions to total growth.

Natural increase

In 2009, the NT recorded a total fertility rate of 2.09 births per woman, compared with 2.16 in 2004, and was the only state or territory to record an overall decrease over this period. The NT's standardised death rate (deaths per 1,000 standard population – the standard population is the Australian population at 30 June 2001) in 2009 was 7.9, lower than the 8.7 in 2004.

During the year ended 31 December 2009, natural increase accounted for 58% of the NT's total population growth (2,900 persons). Natural increase remained the largest component of population growth in the NT despite declining from 83% of total growth for the year ending 31 December 2004. Tasmania was the only other state or territory in which natural increase was the largest contributing factor to growth in 2009.

Net overseas migration

Net overseas migration is the net gain or loss of population through immigration to Australia and emigration from Australia. In the NT, net overseas migration was the second largest component of population growth, accounting for 38% of total population growth (1,900 persons) during the year ended 31 December 2009. Net overseas migration was the major component of population growth for all of the other states and territories, ranging between 50% and 81% of total population growth, except Tasmania (46% of total population growth). In 2004 the net overseas migration component of population growth in the NT was lower at 29%, and ranged between 24% and 39% during the five years to 2009.Net interstate migration

During the year ended 31 December 2009 net interstate migration was the smallest component of population growth for all states and territories. Net interstate migration accounted for 4% of the NT's total growth (190 persons), while five years earlier net interstate migration accounted for a loss of 15% (480 persons). Queensland recorded the largest positive contribution from net interstate migration for the year ended 31 December 2009 at 13%, while South Australia recorded the largest proportionate net loss of 15%.

During the five years to 31 December 2009, Queensland remained the most popular destination for people departing the NT as well as the most popular state of origin for people arriving into the NT. With the exceptions of New South Wales and Victoria, all other states and territories gained more people from the NT than they lost to the NT for the year ended 31 December 2009.

INTERSTATE MIGRATION FLOWS, NT–Year ended 31 December 2009
Graph shows Queensland was both the most popular state of origin for people arriving to the NT (4,600 people) and the most popular destination for people departing the NT (5,100 people).

Although net interstate migration was the smallest component of overall population growth in the NT, the NT had the highest population turnover of any state or territory. Population turnover measures the rate of arrivals and departures in relation to the size of population. For the year ended 31 December 2009, the NT recorded 15,700 departures, which was equivalent to a loss of 7% of the NT's total population of 227,900, while the same proportion (7%) also arrived in the NT during the year. The Australian Capital Territory recorded the second highest turnover rate at around 5% for both arrivals and departures, while the states recorded turnover rates between 1% and 3%.

INTERSTATE MIGRATION FLOWS AS A PROPORTION OF POPULATION(a)–
Year ended 31 December 2009(b)
Graph shows NT had the highest population turnover rate with both interstate arrivals and interstate departures equivalent to about 7% of the NT's total population, followed by the ACT with a turnover rate of about 5% for both arrivals and departures.

Further information

Further information can be found in Australian Demographic Statistics, Mar 2010 (cat. no. 3101.0), Births, Australia, 2009 (cat. no. 3301.0), Deaths, Australia, 2009 (cat. no. 3302.0), Migration, Australia, 2008–09 (cat. no. 3412.0) and Experimental Estimates of Aboriginal and Torres Strait Islander Australians, June 2006 (cat. no. 3238.0.55.001).