1345.4 - SA Stats, Nov 2007  
ARCHIVED ISSUE Released at 11:30 AM (CANBERRA TIME) 27/11/2007   
   Page tools: Print Print Page Print all pages in this productPrint All

RECORDED CRIME - VICTIMS, SOUTH AUSTRALIA, 2006

This article presents national crime statistics relating to victims of a selected range of offences that have been recorded by police. These statistics provide indicators of the level and nature of recorded crime victimisation in Australia and a basis for measuring change over time. As not all crimes are reported to or recorded by police, other data sources can assist in providing a more comprehensive view of crime levels in society. Statistics contained in the publication are derived from administrative systems maintained by state and territory police across Australia. Further information can be found in the publication Recorded Crime - Victims, Australia, 2006 (cat. no. 4510.0).

Readers should note that, depending on the type of offence, a victim in the recorded crime collection can be a person, a premises, an organisation or a motor vehicle.


NUMBER OF VICTIMS

Compared with 2005, the number of victims of crime recorded by SA Police in 2006 decreased for all homicide related offences, motor vehicle theft and for sexual assault. The offence categories recording the largest declines were attempted murder and driving causing death (both down 27%, respectively) and murder (down 25%). Conversely, there was an increase in the number of victims of blackmail/extortion (up 46%). The figure for blackmail/extortion was the second highest recorded during the past 10 years.


VICTIMS, Selected offences (a), Percentage change in number, South Australia - 2005 to 2006
Victims, selected offences(a), Percentage change in number, South Australia — 2005 to 2006
(a)A victim can be a person, a premises, an organisation or a motor vehicle depending on the type of offence.
(b)Changes to legislation may have resulted in an increase from 2005 to 2006 for offences such as assault and kidnapping/abduction.
Source: Recorded Crime - Victims, Australia, 2006 (cat. no. 4510.0)

The following can be compared for Australia and South Australia, in terms of change between 2005 and 2006:
  • murder across Australia increased 8% compared with South Australia's drop of 25% for the same period;
  • attempted murder declined by 11% for Australia and 27% for South Australia;
  • robbery increased for Australia and South Australia by 1%; and
  • motor vehicle theft declined by 7% for Australia compared with a decline of 11% for South Australia.


SEX AND AGE OF VICTIMS

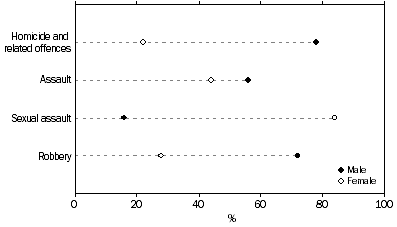
In 2006 in South Australia, males outnumbered females in all categories of offences except for sexual assault. Young males particularly were more likely to be victims of crime. For example:
  • Males constituted 78% (50 people) of the victims of homicide and related offences, and of these, 36% (18 people) were aged 15-24 years.
  • Of all recorded assaults, 56% (9,134 people) of victims were male and 42% (3,829 people) of these were aged between 25-44 years.
  • Males accounted for 72% of all victims of robbery (756 people), with half of all male victims being aged between 15-24 years.
  • Of all victims of robbery aged 15-19, 84% were male.
Females represented 84% of all recorded victims of sexual assault (1,279 people) with 45% of these aged 10-19 years. Of all victims of sexual assault aged 15-19, 91% were female.


VICTIMS (a), Selected offence categories by sex, South Australia - 2006
Victims(a), selected offence categories by sex, South Australia — 2006
(a) Refers to person victims and does not include victims for whom sex was not specified.
Source: Recorded Crime - Victims, Australia, 2006 (cat. no. 4510.0)


LOCATION OF OFFENCE

In South Australia, most murders (73%) took place at dwellings. Attempted murder (44%), sexual assault (69%), assault (43%) and unlawful entry with intent (66%) were also most often perpetrated in residential locations. A community location was the most likely place for a victim to have experienced motor vehicle theft (42%), followed by a residential location (35%).

Robbery victims were most likely to be subjected to this offence in a community location (55%). Of the total robbery offences occurring in a community location, nine in ten occurred on a street/footpath. Over two-fifths (41%) of kidnapping/abduction victims were taken from a community location.

Across Australia, these same crimes were experienced in similar proportions at the same locations.


OUTCOME OF INVESTIGATION

In 2006, 81% of the police investigations into homicide and related offences in South Australia were finalised within 30 days of a victim becoming known to police, with 94% of these having an offender proceeded against.

The lowest proportions of finalisations at 30 days were for victims of unlawful entry with intent (7%), motor vehicle theft (10%) and other theft (12%). However, of the total finalised for these offence types, a high proportion had an offender proceeded against by police: unlawful entry with intent (85%); motor vehicle theft (72%); and other theft (67%).

The highest proportions of investigations finalised where there was no offender proceeded against were for victims of blackmail/extortion (54%), sexual assault (45%), assault (41%) and other theft (33%). Nationally, blackmail/extortion was also the offence category with the most instances of investigations finalised where no offender was proceeded against.


VICTIMS (a), Offence category by outcome of investigation at 30 days, South Australia - 2006
Victims (a), offence category by outcome of investigation at 30 days, South Australia — 2006
(a) The definition of a victim varies according to the category of the offence.
Source: Recorded Crime - Victims, Australia, 2006 (cat. no. 4510.0)

Further information can be obtained from the publication Recorded Crime - Victims, Australia, 2006 (cat. no. 4510.0).


REFERENCES:

Recorded Crime - Victims, Australia, 2006 (cat. no. 4510.0)