1367.5 - Western Australian Statistical Indicators, Mar 2001  
ARCHIVED ISSUE Released at 11:30 AM (CANBERRA TIME) 11/04/2001   
   Page tools: Print Print Page Print all pages in this productPrint All

Feature Article - Crime and Safety in Western Australia

(This article was published in the March quarter 2001 issue of Western Australian Statistical Indicators (ABS Catalogue Number 1367.5))

INTRODUCTION

The Western Australian Government is giving significant attention to law and order issues in the state and an important aspect of policy development and review is to increase the amount of available information. The primary policy focus in the general area of law and order is on crime reduction strategies, improving the effectiveness of police and reducing delays in the criminal justice system. In terms of expense, Budget estimates indicate that operating expenses on public order and safety for Western Australia in 2000-2001 is surpassed only by expenditure on education and health.

This article provides information intended to assist government and the community in the development and provision of strategies to address law, order and criminal justice issues and will supplement existing information currently available on the number of incidents reported to the police. The information used in this article is drawn from the WA Crime and Safety Survey 2000 and shows that in the twelve months to October 2000, 11.4% of Western Australian households and 5.5% of people were the victims of at least one crime.


THE WA CRIME AND SAFETY SURVEY

The WA Crime and Safety Survey covers certain types of household and personal crime. Household crimes include break-in, attempted break-in and motor vehicle theft. Personal crimes include robbery, assault and sexual assault (females aged 18 years and over only).


HOUSEHOLD CRIME

During the twelve months to October 2000, 83,400 households (11.4% of all households in Western Australia at October 2000) were victims of at least one household crime. The victimisation rate was higher for the Perth Metropolitan Area (12.3%) than for the rest of Western Australia (9.0%).

Household crime, by offence type - victimisation rates

The most common household offence reported in the survey was break-in, reported by 44,100 households or 6.0% of all households, while the victimisation rates for attempted break-in and motor vehicle theft were 5.1% and 1.9% respectively.

VICTIMS AND NON-VICTIMS OF CRIME, Type of Offence

2000
VICTIMISATION RATE(a)
Victims
Non-victims
Total
1995
1998(b)
1999
2000
Type of offence
'000
'000
'000
%
%
%
%

Household victims
Break-in
44.1
686.6
730.7
8.9
7.5
8.1
6.0
Attempted break-in
37.1
693.6
730.7
7.1
6.0
5.4
5.1
Break-in or attempted break-in(c)
73.6
657.2
730.7
13.6
12.4
12.1
10.1
Motor vehicle theft
13.7
717.1
730.7
3.0
2.4
1.9
1.9
Total households(c)
83.4
647.4
730.7
15.8
14.3
13.3
11.4
Person victims
Male
Robbery(d)
5.9
723.2
729.2
n.a.
n.a.
1.1
0.8
Assault(d)
41.0
688.1
729.2
n.a.
n.a.
6.2
5.6
Sexual assault(e)
n.a.
n.a.
n.a.
n.a.
n.a.
n.a.
n.a.
Total male(c)
44.9
684.3
729.2
n.a.
n.a.
6.8
6.2
Female
Robbery(d)
4.9
725.4
730.4
n.a.
n.a.
*0.4
0.7
Assault(d)
30.9
699.5
730.4
n.a.
n.a.
3.7
4.2
Sexual assault(e)
*4.0
690.8
694.8
*0.7
0.5
0.7
*0.6
Total female(c)
35.1
695.3
730.4
n.a.
n.a.
4.5
4.8
Persons
Robbery(d)
10.9
1,448.7
1,459.6
n.a.
0.6
0.8
0.7
Assault(d)
71.9
1,387.6
1,459.6
n.a.
4.9
4.9
4.9
Sexual assault(e)
n.a.
n.a.
n.a.
n.a.
n.a.
n.a.
n.a.
Total persons(c)
80.0
1,379.6
1,459.6
n.a.
5.6
5.6
5.5

(a) Proportion of all households/persons.
(b) WA specific data from the National Crime and Safety Survey 1998.
(c) Figures for individual offence types do not sum to totals, as a household or person could be a victim of more than one type of offence.
(d) Robbery and assault, and consequently total person victimisation rates prior to 1999 are not comparable with data in this publication (see paragraph 11 of the Explanatory Notes).
(e) Sexual assault questions were asked only of females aged 18 years and over.


The victimisation rate was highest for other households, of which 11,500 or 15.1% of such households reported at least one incident of household crime. Other households include those consisting of unrelated people, households made up of related people that do not include parents, or where another relative is residing with a family. These households account for 10.4% of all households and 13.8% of all household crime victims. Households containing a couple only recorded the lowest victimisation rate of 9.5%. Couple only households account for 24.8% of all households, and 20.6% of all household crime victims.

VICTIMS AND NON-VICTIMS OF HOUSEHOLD CRIME(a), Selected Characteristics

2000
VICTIMISATION RATE(b)
Victims
Non-victims
Total
1995
1999
2000
Selected characteristics
'000
'000
'000
%
%
%

Major statistical region
Perth Metropolitan
66.2
474.2
540.4
17.5
14.6
12.3
Balance of WA
17.1
173.2
190.3
11.0
9.7
9.0
Household type
Couple with child(ren)
28.6
221.5
250.1
15.3
12.5
11.4
Couple only
17.2
164.3
181.5
11.3
10.2
9.5
One parent household
8.9
51.6
60.5
25.5
18.0
14.7
Person living alone
17.2
145.1
162.3
16.4
15.3
10.6
Other households
11.5
64.8
76.3
19.5
16.2
15.1
Total households
83.4
647.4
730.7
15.8
13.3
11.4

(a) Break-in, attempted break-in or motor vehicle theft.
(b) Proportion of all households.



PERSONAL CRIME

Of the estimated 1,459,600 residents of Western Australia aged 15 years or over at October 2000, 80,000 (5.5%) reported being victims of at least one personal crime in the 12 months to October 2000. The victimisation rate for males for personal crime was 6.2% compared with 4.8% for females. The personal crime with the highest victimisation rate was assault at 4.9%.
Victims of personal crime(a), victimisation rates


Victimisation rates for personal crime varied according to age and sex. Younger persons experienced higher victimisation rates than older persons, with 11.9% of persons aged 15 to 24 years experiencing personal crime. The victimisation rate progressively decreased with age to 1.3% for persons aged 55 years and over.

VICTIMS AND NON-VICTIMS OF PERSONAL CRIME(a), Sex by Age

2000
VICTIMISATION RATE(b)
Victims
Non-victims
Total
1999
2000
Age (years)
'000
'000
'000
%
%

MALES
      15 - 24
18.6
119.8
138.4
15.4
13.4
      25 - 34
10.7
123.0
133.7
7.1
8.0
      35 - 44
8.7
147.6
156.2
4.6
5.6
      45 - 54
*3.9
127.6
131.5
6.1
*2.9
      55 years and over
*3.1
166.3
169.3
*1.9
*1.8
    Total males
44.9
684.3
729.2
6.8
6.2

FEMALES
      15 - 24
11.7
104.0
115.7
11.1
10.1
      25 - 34
8.3
133.8
142.1
5.8
5.9
      35 - 44
9.1
154.8
163.9
4.3
5.5
      45 - 54
4.6
123.2
127.8
*1.4
3.6
      55 years and over
*1.4
179.6
181.0
*1.1
*0.8
    Total females
35.1
695.3
730.4
4.5
4.8

PERSONS
      15 - 24
30.3
223.8
254.1
13.3
11.9
      25 - 34
19.0
256.8
275.8
6.5
6.9
      35 - 44
17.8
302.3
320.1
4.5
5.6
      45 - 54
8.4
250.8
259.2
3.8
3.3
      55 years and over
4.4
345.9
350.3
1.5
1.3
    Total persons
80.0
1,379.6
1,459.6
5.6
5.5

(a) Robbery, assault or sexual assault (females only).
(b) Proportion of all persons.


In October 2000, there were an estimated 1,094,100 residents in the Perth Metropolitan Area accounting for 75.0% of all residents in Western Australia. Metropolitan residents accounted for 78.0% of all victims of personal crime. The victimisation rate for personal crime was 5.7% for the Perth Metropolitan Area and 4.8% for the balance of Western Australia.

VICTIMS AND NON-VICTIMS OF PERSONAL CRIME(a), Selected Characteristics

2000
VICTIMISATION RATE(b)
Victims
Non-victims
Total
1999
2000
Selected characteristics
'000
'000
'000
%
%

Major statistical region
Perth Metropolitan
62.4
1,031.7
1,094.1
5.8
5.7
Balance of WA
17.5
347.9
365.4
5.1
4.8
Labour force status
Employed
53.5
887.2
940.7
5.7
5.7
Unemployed
6.9
46.6
53.5
14.4
12.9
Not in the labour force
19.6
445.8
465.3
4.4
4.2
Total persons
80.0
1,379.6
1,459.6
5.6
5.5

(a) Robbery, assault or sexual assault (females only).
(b) Proportion of all persons.



Persons in the labour force (employed and unemployed) were more likely to be victims of crime than those who were not in the labour force.The victimisation rate for unemployed persons was highest at 12.9% while the rate for employed persons was 5.7%. By comparison, the victimisation rate for those persons not in the labour force was 4.2%.


MULTIPLE INCIDENTS

Of the 83,400 households in Western Australia that reported being victims of household crime in the twelve months to October 2000, 25,600 or 30.8%, experienced two or more occurrences. 73,600 households reported an incident of break-in or attempted break-in, and of these 28.9% reported more than one such incident.
Victims of household crime, number of incidents

The victimisation rate for two or more incidents of household crime was highest for attempted break-in (32.2%).
Victims of personal crime, number of incidents


Assault was the most reported personal crime in the survey, with 35,600 persons reporting a single incident of assault and 36,300 reporting two or more incidents. 21,200 (51.7%) male assault victims reported one occurrence of assault and 19,800 (48.3%) reported two or more occurrences. Although females reported a lower overall victimisation rate for assault than males, females who reported being assaulted were more likely than males to have reported two or more incidents. Of the 30,900 females who reported assault, 53.4% experienced more than one incident.

VICTIMS OF CRIME, Number of Incidents Experienced by Type of Offence

2000
1999
2000
One
Two or more
Total
One
Two or more
One
Two or more
Type of offence
'000
'000
'000
%
%
%
%

Household victims
    Break-in
36.0
8.1
44.1
74.4
25.6
81.7
18.3
    Attempted break-in
25.2
12.0
37.1
68.8
31.2
67.8
32.2
    Break- in or attempted break-in(a)
52.2
21.3
73.6
68.1
31.9
71.0
29.0
    Motor vehicle theft
12.9
n.p.
13.7
88.9
*11.1
94.2
n.p.
    Total households
57.7
25.6
83.4
67.1
32.9
69.2
30.8
Person victims
    Male
    Robbery
*3.8
*2.1
5.9
62.7
37.3
63.8
*36.2
    Assault
21.2
19.8
41.0
51.5
48.5
51.7
48.3
    Sexual assault(b)
n.a.
n.a.
n.a.
n.a.
n.a.
n.a.
n.a.
    Total males(a)
23.8
21.1
44.9
50.2
49.8
53.0
47.0
    Female
    Robbery
*3.4
*1.5
4.9
*90.5
n.p.
69.4
*30.6
    Assault
14.4
16.5
30.9
44.2
55.8
46.6
53.4
    Sexual assault(b)
*3.0
n.p.
*4.0
*70.1
*29.9
76.3
*23.7
    Total females(a)
14.9
20.2
35.1
47.7
52.3
42.5
57.5
    Persons
    Robbery
7.2
*3.7
10.9
70.1
*29.9
66.3
33.7
    Assault
35.6
36.3
71.9
48.7
51.3
49.5
50.5
    Sexual assault(b)
n.a.
n.a.
n.a.
n.a.
n.a.
n.a.
n.a.
    Total persons(a)
38.7
41.3
80.0
49.2
50.8
48.4
51.6

(a) Figures for individual offence types do not sum to totals, as a household or person could be a victim of more than one type of offence.
(b) Sexual assault questions were only asked of females 18 years and over.



REPORTING TO POLICE

Analysis of the most recent incident shows that the nature of the crime heavily influenced whether victims reported the occurrence to the police. For household crimes, 95.9% of motor vehicle thefts were reported to police while only 31.2% of attempted break-ins were reported. Among victims of personal crime, 27.2% of assaults were reported to police while 58.7% of robberies were reported. Among female victims, 30.8% of sexual assaults were reported. Females reported 69.6% of robberies whereas males reported 49.5%.

VICTIMS OF CRIME, Whether Police Told About Last Incident by Type of Offence

2000
POLICE TOLD(a)
Police told
Police not told
Total
1995
1999
2000
Type of offence
'000
'000
'000
%
%
%

Household victims
    Break-in
35.5
8.7
44.1
80.3
75.3
80.4
    Attempted break-in
11.6
25.6
37.1
31.2
21.7
31.2
    Motor vehicle theft
13.1
n.p.
13.7
93.7
96.4
95.9
Person victims
Male
    Robbery(b)
*2.9
*3.0
5.9
n.a.
*34.8
49.5
    Assault(b)
11.2
29.8
41.0
n.a.
25.9
27.3
    Sexual assault(c)
n.a.
n.a.
n.a.
n.a.
n.a.
n.a.
Female
    Robbery(b)
*3.4
*1.5
4.9
n.a.
*80.2
69.6
    Assault(b)
8.3
22.5
30.9
n.a.
22.6
27.0
    Sexual assault(c)
*1.2
*2.8
*4.0
n.a.
*28.4
*30.8
Persons
    Robbery(b)
6.4
4.5
10.9
n.a.
46.9
58.7
    Assault(b)
19.6
52.3
71.9
n.a.
24.7
27.2
    Sexual assault(c)
n.a.
n.a.
n.a.
n.a.
n.a.
n.a.

(a) Proportion of all households/persons.
(b) Robbery and assault, and consequently total person victimisation rates prior to 1999 are not comparable with data in this publication (see paragraph 11 of the Explanatory Notes).
(c) Sexual assault questions were asked only of females aged 18 years and over.



RELATIONSHIP TO OFFENDER

For occurrences of assault, the offender was known to the victim in 45,500 (or 63.3%) of cases. Where the offender was known, most incidents of assault (20.6%) involved a family member (including ex-partner) of the victim. Acquaintances (15.0%) and friends (12.5%) were the next most commonly reported known offenders.

VICTIMS OF ASSAULT, Whether Offender Known in Last Incident

2000
1999
2000
Whether offender known
'000
%
%

Offender known
    Family member(a)
14.8
18.5
20.6
    Friend(b)
9.0
11.1
12.5
    Work/study colleague
6.3
*5.6
8.8
    Acquaintance
10.8
12.3
15.0
    Neighbour
*1.7
*5.6
*2.4
    Other
*2.9
*3.1
*4.1
Total offender known
45.5
56.2
63.3
Offender not known
26.4
43.8
36.7
Total assault victims
71.9
100.0
100.0

(a) Includes ex-partner.
(b) Includes (ex)girlfriend/(ex)boyfriend.


Known offenders were family members or friends in almost one third (33.1%) of incidents. Where the offender was known, neighbours were involved in only 2.4% of assault incidents. In only 36.7% of incidents was the offender not known.


PERCEPTION OF CRIME/PUBLIC NUISANCE

A total of 648,900 persons (44.5%) reported no perceived crime or public nuisance problems in their neighbourhood. Of the remaining 810,700 persons (55.5%), the most commonly perceived problems were housebreaking/burglaries (40.3%), dangerous/noisy driving (30.7%) vandalism/graffiti/damage to property (29.6%), and motor vehicle theft (23.8%).

PERCEPTIONS OF CRIME OR PUBLIC NUISANCE PROBLEMS IN THE NEIGHBOURHOOD

PERCEIVED TO BE A PROBLEM(a)
2000
1999
2000
Crime or public nuisance problem
'000
%
%

Perceived problem(s)
    Housebreaking/burglaries
587.8
44.1
40.3
    Dangerous/noisy driving
448.0
31.8
30.7
    Vandalism/graffiti/damage to property
432.0
33.6
29.6
    Motor vehicle theft
347.2
26.1
23.8
    Louts/youth gangs
274.5
19.4
18.8
    Illegal drugs
232.9
16.7
16.0
    Other theft
187.2
12.6
12.8
    Drunkenness
177.1
12.8
12.1
    Prowlers/loiterers
147.7
10.1
10.1
    Problems with neighbours/domestic problems
93.8
6.8
6.4
    Other assault
72.9
5.3
5.0
    Sexual assault
42.7
3.2
2.9
    Other
5.4
1.6
0.4
No perceived problem
648.9
41.3
44.5
All persons
1,459.6
100.0
100.0

(a) Figures in these columns do not sum to the total for all persons, as a person could nominate more than one problem.



INTERPRETING THE DATA

The terms used to describe the various types of offences in this article may not necessarily correspond with legal or police definitions. Victims are counted once only for each type of offence, regardless of the number of incidents occurring, although multiple victimisation was recorded and is included in the tables.

For the 2000 and 1999 surveys, questions were structured to enable the personal offence categories of robbery and assault to align with the National Crime and Safety Survey conducted in 1998 (see the section Comparability with other surveys for information on the National Crime and Safety Survey). Estimates for robbery and assault and consequently overall person victimisation estimates from the 1995 WA Crime and Safety Survey are not comparable with estimates from these later surveys and are not included in this article. For household crimes and sexual assault, victimisation rates from the 1995 survey are provided for comparison. For other reasons which are explained in paragraphs 12 to 13 of the Explanatory Notes, caution should be used when comparing victimisation rates between years.



EXPLANATORY NOTES


INTRODUCTION

1. The feature article in this publication contains results from the WA Crime and Safety Survey which was conducted throughout Western Australia in October 2000 as a supplement to the ABS Monthly Population Survey (MPS). The survey was conducted at the request of the Ministry of Justice, the WA Police Service, Ministry of the Premier and Cabinet, Office of Seniors Interests, Womens' Policy Development Office, and the Crime Research Centre, University of Western Australia.

2. Information was collected from individuals and households about their experience of selected crimes, reporting behaviour and individuals’ perception of crime problems in their neighbourhood.

3. The MPS was conducted during the two weeks commencing Monday, 9 October 2000.

4. Information was sought from a 7/8 sample of the MPS which was approximately 6,800 persons, of whom 5,541 (81%) responded. Approximately 3,470 households were surveyed and complete household data were obtained from 2,787 (80%) of these.

5. Estimation and imputation procedures were employed to reduce the effect of non-response.

6. The survey was conducted for all persons aged 15 and over who were usual residents of private dwellings, except:
  • members of the permanent defence forces;
  • certain diplomatic personnel of overseas governments, customarily excluded from censuses and surveys;
  • overseas residents in Australia;
  • members of non-Australian defence forces (and their dependants) stationed in Australia;
  • persons living in sparsely settled areas of the state; and
  • private dwellings containing visitors only.

7. Residents of other non-private dwellings such as hospitals, motels and prisons were excluded from this survey.

8. Coverage rules were applied to ensure that each person was associated with only one dwelling, and hence had only one chance of selection in the survey.

9. Crime and Safety questionnaires were either delivered to the selected households by ABS interviewers or, in the majority of cases, mailed out to households who were interviewed for the MPS over the telephone. The questionnaires were completed by household members and returned to the ABS by mail. Each household received:
  • one questionnaire containing questions relating to the household as a whole;
  • a questionnaire for each person aged 15 or over relating to their personal experiences of crime; and
  • a questionnaire for each female aged 18 or over relating to their personal experiences of sexual assault only.


COMPARISONS WITH POLICE STATISTICS

10. Responses obtained in this survey are based on the respondent's perception of their having been the victim of an offence. The terms used summarise the wording of the questions asked of the respondent, and may not necessarily correspond with the legal or police definitions which are used for each offence.


CHANGES TO THE QUESTIONNAIRE

11. For the 2000 WA Crime and Safety Survey, questions about robbery and assault incidents were included to be consistent with the 1999 WA Crime and Safety Survey and with the 1998 National Crime and Safety Survey (see the section Comparability with other surveys for information on the National Crime and Safety Surveys). The data for robbery and assault are therefore not comparable with data collected in the 1995 WA Crime and Safety Survey. The definitions of robbery and assault for the statistics included in this publication can be found in the Glossary.

Caution when comparing 1995 and either 1999 or 2000 victimisation rates

12. Caution should be exercised when comparing data and victimisation rates between 1995 and either 1998, 1999 or 2000. Significant changes to the question wording for incidents of both robbery and assault have made data comparisons for personal crime invalid, these are further detailed in the section Comparability with other surveys.

13. While the standard error formulae provided in the section Standard errors may be used to calculate the standard error on the difference between estimates for two different years, the survey is not specifically designed to measure this type of movement. To do so would require a high proportion of common persons selected in the sample for each survey year. Comparisons of this nature should therefore be made with caution. When estimating the standard error of a movement between years, the movement standard error will be approximately 1.4 times the standard error on the level estimate, if the standard errors on the two level estimates are similar.


RELATED PUBLICATIONS

14. The ABS produces a wide range of publications containing social and demographic statistics. Other ABS publications which relate to this survey topic are shown below.
    Australian Standard Offence Classification, 1997 (cat.no. 1234.0)
    Crime and Safety, New South Wales, April 2000 (cat.no. 4509.1)
    Crime and Safety, New South Wales, April 1999 (cat.no. 4509.1)
    Crime and Safety, Australia, April 1998 (cat.no. 4509.0)
    Crime and Safety, New South Wales, April 1997 (cat.no. 4509.1)
    Crime and Safety, South Australia, April 1995 (cat.no. 4509.4)
    Crime and Safety, Victoria, April 1995 (cat.no. 4509.2)
    Crime and Safety, Queensland, April 1995 (cat.no. 4509.3)
    Crime and Safety, Western Australia, October 1995 (cat.no. 4509.5)
    Crime and Safety, Western Australia, October 1999 (cat.no. 4509.5)
    Recorded Crime, Australia, 1998 (cat.no. 4510.0)



COMPARABILITY WITH OTHER SURVEYS


INTRODUCTION

Some of the more important methodological, definitional and other differences between the 1995, 1998, 1999 and 2000 WA Crime and Safety Surveys follow.


METHODOLOGY

All the 1995 questionnaires were delivered to the respondent households by interviewers at the time of their Labour Force Survey (LFS) interview. In 1999 and 2000, most of the questionnaires were mailed out from the Perth Office of the Australian Bureau of Statistics within two weeks of the completion of LFS interviewing. Similarly, the 1998 questionnaires were mailed out within two weeks of LFS interviewing. There were few differences in methodology between the 1999 and 2000 surveys.


CRIME QUESTIONS

In the 1998, 1999 and 2000 surveys, use was made of the ‘please describe’ responses to refine the coding of all crimes. This was not possible in 1995. As a result, coding of crimes may be less accurate in 1995 compared with other years.


HOUSEHOLD CRIME

Motor vehicle theft in 1998, 1999 and 2000 includes all motor vehicles, whereas the 1995 survey included only registered motor vehicles.


PERSONAL CRIME

For 1995 information on the personal crimes of robbery and assault was collected using a different set of questions.

Due to the significant changes in question wording, it is not possible to provide comparable figures on the personal crimes of robbery and assault, therefore the 1995 data have not been included in this publication.

The robbery and assault questions used in 1998, 1999 and 2000 were aimed at obtaining more detail on what actually happened to the victims, so as to give a better picture of the nature and seriousness of the incident, and to allow easier comparison with data from other sources. As a result of the additional information collected in these years, incidents were able to be more accurately recorded as a robbery or an assault.
QUESTIONNAIRE CHANGES

OffenceSurveyQuestionsComments

Robbery1995In the last 12 months did anyone steal anything from you by threatening or attacking you?
1998
1999
2000
In the last 12 months, has anyone stolen or tried to steal anything from you?If yes, then answer the next question.
In how many of these incidents were you physically attacked or threatened with violence?Include: any incident where you were pushed, shoved, hit or attacked, etc.
Exclude: any incident where you did not encounter the offender(s) in person. (Counted as a victim of robbery if had a non-zero response to the question).
Assault1995In the last 12 months has anyone threatened you with force or attacked you?
1998
1999
2000
In the last 12 months did anyone (including people you know well) use force or violence against you?Include: any incident where you were pushed, shoved, hit or attacked, etc.
In the last 12 months, did anyone (including people you know well) try to use or threaten to use force or violence against you?Exclude: and incident where you did not encounter the offender(s) in person e.g. telephone calls, and any incident of name calling, swearing, etc. which did not involve a physical threat. (Respondents who answered 'yes' to either of the questions were counted as a victim of assault).




ROBBERY

It is believed that the 1995 robbery figure included a number of incidents that police would classify as theft and some others that would be classified as assault. As a result of the problems with this question, questions were added in 1998, 1999 and 2000 to determine whether or not anything was stolen and to determine what actually happened in the incident.

In 1998, 1999 and 2000, a two-phase approach was used, as indicated in the above table. Note that the 1999 and 2000 robbery figures include attempts, which are specifically excluded from the 1995 WA Crime and Safety Survey.


ASSAULT

A number of differences exist between the 1995, 1998, 1999 and 2000 questions, in particular the prompt in 1998, 1999 and 2000 to include assaults from people the respondent knew well. Note also that the 1998, 1999 and 2000 assault question specifically includes attempts whereas the 1995 survey question did not. However, it is believed that the 1995 data are likely to include some attempts. Where an incident of assault has been reported in the 1998, 1999 and 2000 surveys, there is a data item which specifies whether the incident involved the use, attempted use or threat of force or violence. This information was used to refine the assault data.

In 1998, 1999 and 2000, a two-phase approach was also used for assault, as indicated in the above table. Note that the 1998, 1999 and 2000 assault figures include attempts, which are specifically excluded from the 1995 WA Crime and Safety Survey.


REASONS FOR NOT TELLING THE POLICE ABOUT AN INCIDENT

In 1995, this question was open-ended and the information given was coded to a set of responses which reflected those most frequently recorded. In 1999 and 2000, a tick box response list was used which was developed from the responses obtained to this question over a number of surveys, and room was provided for other reasons to be written down. It is possible that a respondent’s interpretation of the precoded responses may be different to how an ABS coder would have coded a written response from the respondent. Tick boxes were specifically used in an attempt to reduce the number of uncodable responses. There were proportionally less reasons coded to ‘other’ in 1999 and 2000 compared with 1995.


ADDITIONAL DATA

1. The WA Crime and Safety Survey provides information on the incidence of selected categories of crime and crime reporting behaviour for persons aged 15 and over for the 12 months to October 2000. In addition, females aged 18 and over were asked to provide information on personal experiences of sexual assault.

2. A customised data service is available to meet special data requirements.

3. Information collected in the survey includes:

Types of offences:
    For break-in, attempted break-in, motor vehicle theft, robbery, assault and sexual assault:
      • whether an incident occurred in the last 12 months;
      • number of incidents in the last 12 months;
      • number of incidents reported to the police;
      • whether the most recent incident was reported to police; and
      • main reason why the most recent incident was not reported to the police.
    For break-in and attempted break-in:
      • where the most recent incident occurred.
    For break-in:
      • what the offender did in the last incident.
    For robbery, assault and sexual assault:
      • location of the last incident;
      • whether a weapon was used;
      • occurrence of physical injury;
      • how many offenders there were;
      • whether the offender(s) were known to the victim; and
      • how the offender(s) were known to the victim.
    For robbery:
      • what happened in the last incident; and
      • whether anything was stolen in the last incident.

Perceived crime or public nuisance problems.

4. Data can be classified by the following variables:
      Age
      Sex
      Marital status
      Household type
      Country of birth
      Year of arrival in Australia
      Labour force region (WA only)
      Labour force status


5. To discuss your data requirements, or for further information regarding this survey, please contact the Statistical Consultancy Unit on Perth (08) 9360 5947.


TECHNICAL NOTES


ESTIMATION PROCEDURE

1. For this survey, the effects of non-response were investigated by analysing the demographic composition of the Monthly Population Survey sample. This information was used to determine the appropriate adjustment procedure for non-response. An initial person weight that accounted for the probability of selection and non-response was then formed.

2. The harmonic mean of the initial weights of the persons that reside in the household was then used as the initial household weight. This initial household weight was then calibrated against independent estimates of population (benchmarks) for persons and households to obtain a common weight. In this survey, broad age by sex benchmarks were used for persons and part of state for households.

3. Expansion factors, or weights, are values by which information for the sample is multiplied to produce estimates for the whole population. From this survey, estimates are produced referring to persons, and to households, and the weights are calculated so that each person in a household has the same weight and that weight is also used for the household.

4. Estimates of counts are then simply obtained by summing the weights of either households or persons within the required group. For example, an estimate of the total persons who were robbed in the population would be obtained by simply adding the weight for each person that was robbed in the sample.


RELIABILITY OF ESTIMATES

5. Estimates in this publication are subject to non-sampling and sampling errors.


Non-sampling errors

6. Non-sampling errors may arise as a result of errors in the reporting,recording or processing of the data. Non-sampling errors can be introduced through inadequacies in the questionnaire, non-response, inaccurate reporting by respondents, errors in the application of survey procedures, incorrect recording of answers and errors in data entry and processing.

7. It is difficult to measure the size of the non-sampling errors. The extent of these errors could vary considerably from survey to survey and from question to question. Every effort is made in the design of the survey and development of survey procedures to minimise the effect of these errors.


Sampling errors

8. Sampling error is the error which occurs by chance because the data were obtained from a sample, rather than the entire population.


STANDARD ERRORS


ESTIMATES OF SAMPLING ERROR

1. One measure of the variability of estimates which occurs as a result of surveying only a sample of the population is the standard error, shown in the table Standard errors of estimates of households and persons - October 2000.

2. There are about two chances in three (67%) that a survey estimate is within one standard error of the figure that would have been obtained if all households/persons had been included in the survey.There are about nineteen chances in twenty (95%) that the estimate will lie within two standard errors.

3. Linear interpolation is used to calculate the standard error of estimates falling between the sizes of estimates listed in the table.

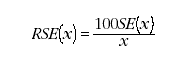
4. The standard error can also be expressed as a percentage of the estimate. This is known as the relative standard error (RSE). The RSE is determined by dividing the standard error of an estimate SE(x) by the estimate x and expressing it as a percentage. That is -

Formula

(where x is the estimate). The relative standard error is a measure of the error (relative to the size of the estimate) likely to have occurred due to sampling.

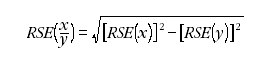
5. Proportions and percentages formed from the ratio of two estimates are also subject to sampling error. The size of the error depends on the accuracy of both the numerator and the denominator. The formula for the relative standard error of a proportion or percentage is -
Formula


6. For all tables in this publication, only estimates with relative standard errors of 25% or less, and percentages based on such estimates, are considered sufficiently reliable for most purposes. Estimates and percentages with relative standard errors between 25% and 50% have been included, preceded by the symbol * to indicate that they are subject to high standard errors and should be used with caution.


STANDARD ERRORS

STANDARD ERRORS OF ESTIMATES OF HOUSEHOLDS AND PERSONS - OCTOBER 2000

Size of estimate
Standard error
Relative standard error
95% confidence interval
no. of households or persons
no.
%
no. of households or persons

500
340
67.8
0 - 1,180
600
370
62.4
0 - 1,340
700
410
58.1
0 - 1,520
800
440
54.6
0 - 1,680
900
470
51.7
0 - 1,840
1,000
490
49.2
20 - 1,980
1,100
520
47.1
60 - 2,140
1,200
540
45.2
120 - 2,280
1,300
570
43.5
160 - 2,440
1,400
590
42.0
220 - 2,580
1,500
610
41.0
280 - 2,720
1,600
630
39.0
340 - 2,860
1,700
650
38.0
400 - 3,000
1,800
670
37.0
460 - 3,140
1,900
690
36.0
520 - 3,280
2,000
710
35.0
580 - 3,420
2,100
730
35.0
640 - 3,560
2,200
740
34.0
720 - 3,680
2,300
760
33.0
780 - 3,820
2,400
780
32.0
840 - 3,960
2,500
790
32.0
920 - 4,080
3,000
870
29.0
1,260 - 4,740
3,500
940
27.0
1,620 - 5,380
4,000
1,010
25.0
1,980 - 6,020
4,500
1,070
24.0
2,350 - 6,640
5,000
1,130
23.0
2,740 - 7,260
6,000
1,240
21.0
3,520 - 8,480
8,000
1,420
18.0
5,160 - 10,840
10,000
1,590
16.0
6,820 - 13,180
20,000
2,220
11.0
15,560 - 24,440
30,000
2,680
9.0
24,640 - 35,360
40,000
3,060
8.0
33,880 - 46,120
50,000
3,390
7.0
43,220 - 56,780
100,000
4,630
5.0
90,740 - 109,260
150,000
5,530
4.0
138,940 - 161,060
200,000
6,260
3.0
187,480 - 212,520
500,000
9,190
2.0
481,620 - 518,380
1,000,000
12,160
1.0
975,680 - 1,024,320




GLOSSARY


AssaultAn incident, other than a robbery, where the respondent was threatened with force or attacked.
Attempted break-inAn incident where an attempt was made to break into the respondent's home.
Break-inAn incident where the respondent's home had been broken into. The respondent's home was also defined to include their garage or shed. Break-in offences relating to their car or garden were excluded.
Crime or public nuisance problemsAnything perceived by the respondent to be a problem arising from crime or people creating a public nuisance.
DwellingA suite of rooms contained within a building which are self-contained and intended for long-term residential use. To be self-contained, the suite of rooms must possess cooking and bathing facilities as building fixtures.
HouseholdA group of residents of a dwelling who share common facilities and meals or who consider themselves to be a household. It is possible for a dwelling to contain more than one household, for example, where regular provision is made for groups to take meals separately and where persons consider their households to be separate.
MetropolitanThe Perth Statistical Division.
Motor vehicle theftAn incident where a registered motor vehicle was stolen from any member of the household. It includes privately owned motor vehicles as well as business/company vehicles used exclusively by any members of the household.
NeighbourhoodRespondents were asked about crime problems in their neighbourhood. The precise definition of this term was left to the respondent.
OffenceIndicates crimes which persons or households reported as having been committed against them.
RobberyAn incident where someone had stolen anything from a respondent by threatening or attacking them. It includes incidents of attempted robbery where someone attempted to steal something from the victim but nothing was actually stolen.
Sexual assaultAn incident which was of a sexual nature involving physical contact, including rape, attempted rape, indecent assault, and assault with intent to sexually assault. Sexual harassment (that did not lead to an assault) was excluded. Only females aged 18 years and over were asked sexual assault questions.
VictimA household or person reporting at least one of the offences surveyed. Victims were counted once only for each type of offence, regardless of the number of incidents of that type.
Victimisation rateThe number of victims of an offence in a given population expressed as a percentage of that population.




PRINTER FRIENDLY VERSION OF "CRIME AND SAFETY IN WESTERN AUSTRALIA"


Download this entire document
in Acrobat format

If you do not have reader software...
Crime&Safety_Final.pdf
(188Kb)