1345.4 - SA Stats, Jul 2006  
ARCHIVED ISSUE Released at 11:30 AM (CANBERRA TIME) 25/07/2006   
   Page tools: Print Print Page Print all pages in this productPrint All

ABOUT THIS PUBLICATION

This publication provides an overview of the South Australian economy. The overview will be updated on a quarterly basis (in September, December, March and June) and in the intervening months the publication will include feature articles that provide a South Australian focus on economic, social and environmental issues.

This month there are two articles.

The first article, Use of IT by Australian Businesses, presents data from the publication 'Business Use of Information Technology, Australia' (ABS cat. no. 8129.0) for the financial years 2002-03, 2003-04 and 2004-05. The data focuses on key indicators of; computer use, Internet access; and web presence. The publication presents data from the survey of Business Use of Information Technology conducted in respect of 2002-03, 2003-04 and 2004-05.

The second article, entitled Household Use of the Internet in South Australia, presents data from the publication 'Household Use of Information Technology, Australia 2004-05' (ABS cat. no. 8146.0) and provides an insight into the growing use of computers and the Internet by South Australian and Australian households. The publication presents data from the 2004-05 Multi-Purpose Household Survey. Similar usage information was obtained in a number of earlier household surveys, enabling comparison of usage patterns over time.

Explanatory Notes are not included in SA Stats in the form found in other ABS publications. Readers are directed to the Explanatory Notes contained in related ABS publications referenced in the feature article.

If you have any comments about this product please contact Lina Hughes on ph: (08) 8237 7383 or alternatively e-mail lina.hughes@abs.gov.au.

USE OF IT BY AUSTRALIAN BUSINESSES

This report presents an analysis on business use of information technology. Comparisons have only been made for Australia and the five larger states (i.e. New South Wales, Victoria, Queensland, South Australia and Western Australia). In the sample design, the stratification for the three smaller states and territories (Tasmania, the Northern Territory and the Australian Capital Territory) were combined. This makes their data less reliable than those of the larger states.

In 2004-05, of the five larger states, South Australia led the way on all three indicators with the highest proportion of businesses with computer use (92%), Internet use (82%) and web presence (31%). The lowest proportions of business computer use and web presence occurred in New South Wales (87% and 23% respectively). New South Wales also (along with Victoria) had the lowest proportion of businesses which use the Internet (75%). For the same period, Australia's proportion of businesses with computer use was 89%, with Internet use, 77%, and with web presence, 27%.


BUSINESS USE OF SELECTED TECHNOLOGIES (a)

No. of businesses (b)
Businesses with computer use
Businesses with Internet use
Businesses with web presence

2002-03 (c)
2003-04
2004-05
2002-03 (c)
2003-04
2004-05
2002-03 (c)
2003-04
2004-05
2002-03 (c)
2003-04
2004-05

'000
'000
'000
%
%
%
%
%
%
%
%
%

New South Wales
244
250
248
83
84
87
72
74
75
24
24
23
Victoria
178
183
182
82
85
89
70
71
75
23
26
30
Queensland
125
129
137
85
87
90
73
78
80
22
27
29
South Australia
43
43
44
83
89
92
70
76
82
24
28
31
Western Australia
63
65
67
84
83
90
73
72
76
21
23
26

Australia
680
698
705
83
85
89
71
74
77
23
25
27


(a) Proportions are of all businesses as at 30 June.
(b) Number of businesses are only included to provide contextual information for the user.
(c) Affected by The New Tax System (TNTS) introduced in 2002-03 reference year.

Source: Business Use of Information Technology, Australia 2002-03, 2003-04 and 2004-05 (cat. no. 8129.0)


The following graph compares the proportions of businesses with computer use, Internet use and web presence in South Australia and Australia. In 2004-05, South Australia's proportions of businesses using the selected technologies were all greater than the national averages.

BUSINESS USE OF SELECTED TECHNOLOGIES,
South Australia and Australia, 2004-05
Graph: Business use of selected technologies, SA and Australia, 2004-05
Source: Business Use of Information Technology, Australia 2004-05 (cat. no. 8129.0)


Between 2002-03 and 2004-05 South Australia showed the largest increases in the proportions of businesses with computer use (from 83% to 92%) and Internet use (from 70% to 82%). South Australia, Victoria and Queensland had the largest increase in the proportion of businesses with a web presence (each increasing by 7 percentage points). For the same period, the smallest changes in the proportions of businesses with computer use and a web presence occurred in New South Wales (4% and -1% respectively). New South Wales and Western Australia had the smallest changes in the proportions of businesses with Internet use (3%).

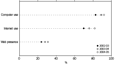
The following graph highlights the proportions of businesses with computer use, Internet use and web presence in South Australia over the period 2002-03 to 2004-05.

PROPORTIONS OF BUSINESS USE OF SELECTED TECHNOLOGIES,
South Australia
Graph: Proportions of business use of selected technologies, SA
Source: Business Use of Information Technology, Australia 2002-03, 2003-04 and 2004-05 (cat. no. 8129.0)



MAIN TYPE OF INTERNET CONNECTION

Changes in the main type of business Internet connection were evident between 2003-04 and 2004-05 for all states. At 30 June 2005, 58% of South Australian businesses which used the Internet were using broadband as their main type of Internet access compared with 42% using non-broadband Internet connection. This represents a substantial increase over the 2003-04 estimates when broadband access accounted for 38% of South Australian businesses using the internet compared with 62% using non-broadband Internet connection. Of the five larger states, South Australia had the lowest proportion of businesses which used broadband as their main connection type (58%), with Victoria having the largest proportion (68%).

For Australia, the proportion of businesses using broadband as their main type of Internet connection rose from 41% at 30 June 2004 to 63% at 30 June 2005. Similarly for Australia the proportion of businesses using non-broadband Internet connection fell from 58% to 37%. All of the larger states showed similar movements.

Non-broadband Internet connection was identified as two types: dial-up (analog) and ISDN (dial-up or non dial-up). The proportion of South Australian businesses using dial-up decreased from 53% to 35% (50% to 31% for Australia), while the proportion of businesses using ISDN decreased from 9% to 7% (8% to 6% for Australia).


MAIN TYPE OF INTERNET CONNECTION (a) (b), by selected business characteristics

Businesses which used the Internet
Broadband
Dial up (analog)
ISDN (Dial-up or
non dial-up)

2003-04
2004-05
2003-04
2004-05
2003-04
2004-05
2003-04
2004-05

'000
'000
%(c)
%
%(c)
%
%(c)
%

New South Wales
186
186
40
62
52
32
^8
^6
Victoria
130
136
46
68
46
26
^8
^6
Queensland
101
110
39
61
52
32
^10
^7
South Australia
33
36
38
58
53
35
^9
^7
Western Australia
47
51
42
61
52
34
^6
^5

Australia
518
542
41
63
50
31
8
6


^ estimate has a relative standard error of 10% to less than 25% and should be used with caution.
(a) Proportions are of all businesses which used the Internet during the year ended 30 June in each category.
(b) Businesses identified the main type of Internet connection used as at year ended 30 June.
(c) not published - special data extract.

Source: Business Use of Information Technology, Australia 2003-04 and 2004-05 (cat. no. 8129.0)


The following graph shows the changes in the main type of Internet connection used by South Australian businesses.

MAIN TYPE OF INTERNET CONNECTION (a),
South Australia, as at 30 June

Graph: Main type of Internet connection), SA, as at 30 June
Source: Business Use of Information Technology, 2004-05 (cat. no. 8129.0)


Broadband was the most prevalent main Internet connection type across all employment sizes, industries, states and territories. As business employment size increased, the proportion of businesses which used broadband as the main Internet connection type increased. For example for Australia, 59% of businesses with 0-4 employees had broadband, compared with 89% of businesses which employed 100 or more persons.


REFERENCES

Business Use of Information Technology, Australia 2002-03 (cat. no. 8129.0)
Business Use of Information Technology, Australia 2003-04 (cat. no. 8129.0)
Business Use of Information Technology, Australia 2004-05 (cat. no. 8129.0)


HOUSEHOLD USE OF THE INTERNET IN SOUTH AUSTRALIA

This report presents an analysis on household use of the Internet because the growth in Internet access has been significantly higher than the growth in computer access since 1998. This article compares South Australian to national Internet use at home, over time and by age. Statistics in this article that are not in the 'Household Use of Information Technology, Australia 2004-05' (ABS cat. no. 8146.0) publication are available on request by contacting the National Information and Referral Service on 1300 135 070.


HOUSEHOLDS WITH INTERNET ACCESS

South Australian households, continue to lag behind most states and territories when looking at the proportion of households with Internet access. The percentage of South Australian households with access to the Internet increased from 12% in 1998 to 50% in 2004-05, while the proportion of Australian households with access to the Internet increased from 16% to 56%. Over the same period, the percentage of South Australian households with a computer increased from 41% to 64%. Correspondingly, for Australia the percentage of home computers increased from 44% to 67%.

PERCENTAGES OF HOUSEHOLDS WITH HOME INTERNET ACCESS,
South Australia and Australia, 1998 to 2004-05.
Graph:  Percentages of households with home Internet access, SA and Australia, 1998 to 2004-05
Source: Household Use of Information Technology, Australia, 2004-05 (cat. no. 8146.0).


In 2004-05, households with Internet access in the states and territories ranged from 48% in Tasmania to 67% in the Australian Capital Territory.

PERCENTAGES OF HOUSEHOLDS WITH HOME INTERNET ACCESS,
by state and territory, 2004-05
Graph:  Percentages of households with home Internet access, by state and territory, 2004-05
Source: Household Use of Information Technology, Australia, 2004-05 (cat. no. 8146.0).


INTERNET USE BY AGE GROUP

The 2004-05 survey results show that 48% of South Australians aged 18 years and over used the Internet at home during the 12 months reference period. This compared with the estimate for all of Australia of 52%.

The following graph shows that in South Australia and Australia, Internet use at home was higher in younger age groups than in older age groups. More than one half of Australians and South Australians in the age groups of 18-24, 25-34, 35-44 and 45-54 years used the Internet in their homes compared with 42% of South Australians and Australians aged 55-64 years, 14% of South Australians aged 65 years or more, and 15% of Australians aged 65 years or more.

INTERNET USE AT HOME BY AGE GROUP,
South Australia and Australia, 2004-05
Graph:  Internet use at home by age group, SA and Australia, 2004-05
Source: Household Use of Information Technology, Australia, 2004-05 (cat. no. 8146.0).
data available on request


MAIN PURPOSE OF INTERNET USE

During 2004-05, the most common main purpose of Internet use at home in South Australia was for personal or private use. Of South Australian adults who used the Internet at home, 64% used the Internet for personal or private purposes, 19% for work or business related purposes, and 12% for education and study purposes. At the national level, 65% of adults used the Internet for personal or private purposes, 20% for work or business related purposes, and 12% for education and study purposes.

Of South Australians aged 18-24 years who accessed the Internet at home, 59% used the Internet for personal or private purposes. The second most common main purpose was education or study related (32% of these South Australians). At the national level, 63% of Australians aged 18-24 years used the Internet for personal or private purposes and 30% for education and study purposes.

MAIN PURPOSE OF INTERNET USE AT HOME OF PERSONS AGED 18-24 YEARS WHO ACCESSED THE INTERNET AT HOME,
South Australia and Australia, 2004-05
Graph:  Main purpose of internet use at home of persons aged 18-24 years who accessed the Internet at home, SA and Australia, 2004-05
Source: Household Use of Information Technology, Australia, 2004-05 (cat. no. 8146.0).
data available on request


REFERENCES

Household Use of Information Technology, Australia, 2004-05 (cat. no. 8146.0).