4707.0 - Occasional Paper: Self-Assessed Health Status, Indigenous Australians, 1994  
ARCHIVED ISSUE Released at 11:30 AM (CANBERRA TIME) 11/08/1997   
   Page tools: Print Print Page Print all pages in this productPrint All

Joan Cunningham
Beverly Sibthorpe
Ian Anderson


This Occasional Paper is intended to make the results of current research available to other interested parties. The aim is to present accounts of developments and research work or analysis of an experimental nature so as to encourage discussion and comment.

Views expressed in this paper are those of the authors and do not necessarily represent those of the Australian Bureau of Statistics or the National Centre for Epidemiology and Population Health. Where quoted or used, they should be attributed clearly to the authors.

AUSTRALIAN BUREAU OF STATISTICS
NATIONAL CENTRE FOR EPIDEMIOLOGY AND POPULATION HEALTH

CHAPTER ONE - INTRODUCTION

MEASURING HEALTH STATUS

The measurement of health status is necessary to examine differentials within and between populations, to monitor trends over time and to assess changes in response to health policy and practice. The latter is achieving increasing significance as the health system attempts to move to a more evidence-based and outcomes-focused approach to service delivery.

Health is recognised as having physical, mental, social and spiritual components. Therefore, the measurement of health must go beyond such objective measures as morbidity, mortality and limitations in activity.

Part of this broader approach to measuring health is to ask people to assess the state of their own health. Subjective health assessment has become a critically important component of contemporary health research (Albrecht 1994), which some argue is as reliable as, and perhaps even more reliable than, biomedical measures (Epstein 1990).

Such assessment is done either by using a single-item global question or by using multiple items covering a number of dimensions of health, which may be designed to sum to provide a single index. A commonly used global question asks: 'In general, would you say that your health is excellent, very good, good, fair or poor?' Such questions appear in a number of validated health survey instruments including the General Health Questionnaire (GHQ; Goldberg 1972) and the Rand Short Form 36 (SF-36; Ware & Sherbourne 1992). Global measures have been found to correlate with multi-item assessment tools such as the Nottingham Profile (NHP; Rowan 1994) and to predict mortality in the middle-aged and the elderly after controlling for a range of health, demographic and social factors (McCallum, Shadbolt and Wang 1994; Idler & Angel 1990; Pijls, Feskins, et al. 1993).

HEALTH STATUS OF INDIGENOUS AUSTRALIANS

Indigenous Australians suffer a clear health disadvantage relative to their non-Indigenous counterparts, with lower life expectancy and higher morbidity and mortality in all jurisdictions with adequate data quality (Australian Bureau of Statistics & Australian Institute of Health and Welfare 1997).

Little is known, however, about the subjective assessment of their own health by Indigenous people. Inclusion of a global question on health in the 1994 National Aboriginal and Torres Strait Islander Survey (NATSIS) provided the first population-based information on the self-assessed health status of Indigenous Australians.

In a previously published report of health-related results from the NATSIS (Australian Bureau of Statistics 1996), some information about self-assessed health status was included. Because of the more general nature of that report, however, it was not possible to examine relationships in any great detail, such as looking at more than one factor at a time.

The purpose of the current report is first to examine in much greater depth the relationships of several demographic, socioeconomic, health and cultural factors with self-assessed health status, and second to assess the usefulness of such a measure for making comparisons and examining trends over time within the Indigenous population, and for making comparisons between the Indigenous and non-Indigenous populations.



CHAPTER TWO - METHODS

THE SURVEY

The National Aboriginal and Torres Strait Islander Survey (NATSIS) was conducted by the Australian Bureau of Statistics in 1994 as part of the Commonwealth Government's response to the recommendations of the Royal Commission into Aboriginal Deaths in Custody.

The survey included about 15,700 Indigenous Australians living in a variety of circumstances across Australia. Participants were selected using a multi-stage stratified sampling design. Data were collected by Indigenous interviewers who were recruited and trained especially for the survey. Questions were asked in the broad areas of: family and culture; health; education and training; employment and income; housing; and law and justice. More information on the survey methodology has been published elsewhere (Australian Bureau of Statistics 1995, 1996a).

SELF-ASSESSED HEALTH STATUS

In addition to a series of questions about recent health actions, health conditions and health risk factors, respondents aged 13 years and over were asked the following question:

'In general, would you say that your health is excellent, very good, good, fair or poor?'

For children aged 12 years or under, a parent or other responsible adult was asked to answer questions about the child, including the following:

'In general, would you say that ..........'s health is excellent, very good, good, fair or poor?'

Variables examined

A number of demographic, socioeconomic, cultural and health factors were examined in relation to self-assessed health status. The most important of these factors are shown in tables 2.1-2.4.

ANALYSIS

The main analysis of self-assessed health status was limited to the 8,782 respondents aged 15 years or more who were not prisoners and who provided information on self-assessed health status. Of these, 46% were male and 54% were female. The analysis was limited to adult non-prisoners because many of the variables of interest, such as home ownership, educational attainment, employment status and alcohol consumption, may be less relevant for children and/or prisoners. In addition, the health status of children under 13 years of age was assessed by someone other than the child. Some descriptive information about the reported health status of children in the NATSIS is available elsewhere (ABS 1996b).

For the purposes of this analysis, response categories were collapsed into two groups: poor/fair and good/very good/excellent. The proportion of males and females who reported poor or fair health according to whether they reported having other characteristics of interest is presented in tables in chapter 3.

Logistic regression was used to model the probability of reporting poor or fair health after adjusting for other factors, such as age. More information is provided in the technical notes.
Unless otherwise indicated, all analyses have used weighting appropriate to the sampling design, and the estimates presented are weighted estimates of the entire Indigenous adult population.


2.1 SOCIO-DEMOGRAPHIC FACTORS OF INTEREST
Males(a)
Females(a)
    Categories
%
%
    Age group
    15-24
34.9
32.8
    25-34
28.3
27.6
    35-44
17.8
18.6
    45-54
9.9
10.2
    55-64
5.7
6
    65 or more
3.4
4.8
    Area of residence
    Capital city
26.7
27.6
    Other urban
40.7
42.9
    Rural
32.6
29.5
    Labour force status
    Employed, non-CDEP
32.2
21.6
    Employed, CDEP(b)
12.9
5.6
    Unemployed
27.6
17.4
    Not in labour force
27.3
55.5
    Highest year of school completed
    Less than year 10
49.9
47.6
    Year 10 or year 11
34.6
35.3
    Year 12 or more
7.8
9.3
    Still attending
7.2
7.3
    Annual household income
    Less than $20 000
15.9
19.9
    $20 000-$39 999
31.5
30.6
    $40 000 or more
32.1
27.8
    Unknown
20.5
21.7
    Dwelling owned or being purchased by its occupants
    Yes
21.3
18.5
    No
78.7
81.5
    Number of people per bedroom
    Fewer than 2
73
75.3
    2-4
19.8
17.8
    More than 4
4.5
4.4
    No bedrooms
2.7
2.6
    Number of children ever borne
    0
. .
26.8
    1
. .
13.6
    2
. .
15.6
    3
. .
15.5
    4
. .
10.6
    5 or more
. .
18
        (a) Non-prisoners aged 15 years or more.
        (b) Community Development Employment Projects scheme.
        . . Not applicable.


2.2
CULTURAL FACTORS OF INTEREST
Males(a)
Females(a)
    Categories
%
%
      Taken away from natural family as a child by a mission, the government or welfare
    Yes
7.9
8.3
    No
92.1
91.7
      Recognises an area as homelands or traditional country
    Yes
75.7
76.1
    No
24.3
23.9
      Identifies with clan, tribal or language group
    Yes
61.8
58.5
    No
38.2
41.5
      Participated in cultural activities in past year
    Yes
73.4
71.9
    No
26.6
28.1
      Considers the role of elders to be important
    Yes
83.9
85.7
    No
16.1
14.3
      Main language spoken
    English
82.4
82.4
    Not English
17.6
17.6
      Household composition
    Indigenous members only
72.6
73.5
    Indigenous and
    non-Indigenous members
27.4
26.5
      Indigenous group
    Aboriginal only
94.2
93.9
    Torres Strait Islander only
4.8
5.3
    Both
1
0.8
      (a) Non-prisoners aged 15 years or more.

2.3 HEALTH RISK FACTORS OF INTEREST
Males(a)
Females(a)
    Categories
%
%
      Relative weight(b)
    Underweight (BMI <20)
5.5
8.2
    Acceptable weight (BMI 20-25)
21.8
18.9
    Overweight (BMI >25-30)
24.5
18.2
    Obese (BMI >30)
16.8
18.2
    Not available(c)
31.3
36.4
      Any household member went without food in last four weeks
    Yes
5.2
6.3
    No
94.8
93.7
      Worries about going without food
    Yes
26.7
32.1
    No
73.3
67.9
      Smokes cigarettes
    Yes
56.1
48.3
    No
43.9
51.7
      Most recent alcohol consumption
    Less than 1 week ago
53.6
32.9
    More than 1 week ago
31.4
37.1
    Never
15
30
      Attacked or verbally threatened in the last year
    Yes
13.6
12.3
    No
86.4
87.7
          (a) Non-prisoners aged 15 years or more.
          (b) Relative weight categories based on National Health and Medical Research Council guidelines (NHMRC 1984 and 1985). BMI (Body mass index) = weight in kilograms divided by square of height in metres.
          (c) Includes all participants aged 15-17 years of age, as NHMRC guidelines are for people aged 18 years and over.



2.4
HEALTH ACTIONS AND CONDITIONS OF INTEREST
Males(a)
Females(a)
    Categories
%
%
      Has a long-term condition or disability for which assistance is required
    Yes
3.2
4.1
    No
96.8
95.9
      Health-related actions taken in the last two weeks(b)
    No health actions reported
57.7
48.3
    Admitted to hospital
1.9
3.4
    Visited a hospital emergency
    or outpatients department
8.2
8.7
    Saw doctor
15.6
23
    Saw nurse
3.8
5.6
    Saw Aboriginal Health Worker
4.8
6.7
    Used medication
31.3
39.3
    Used bush medicine
4.5
4.8
    Reduced activity due to illness
11.4
14.3
      Number of types of actions (listed above) taken in the last two weeks
    0
57.7
48.3
    1
20.4
22.1
    2-3
17.7
23.6
    4 or more
4.2
6
      Category of health actions taken(c)
    Admitted to hospital
1.9
3.4
    Saw health professional but
    was not admitted to hospital(d)
22.0
29.0
    Used medication, but was not
    admitted and did not consult a
    health professional(e)
16.3
17.6
    Reduced activity only
2
1.7
    No action taken
57.7
48.3
      Reported long-term specified health conditions(f)
    None
64.3
57.4
    Asthma
9.3
15.7
    Diabetes
5.6
7.7
    Heart problems
5.5
6
    Chest problems
6
6.2
    Skin problems
5.2
6.7
    High blood pressure
9.1
11.6
    Ear or hearing problems
10.9
9.3
    Eye problems(g)
3.3
3
    Kidney problems
3.2
5.2
      Number of reported long-term health conditions (listed above)
    0
64.3
57.4
    1
21.7
25.4
    2
8.5
10.2
    3 or more
5.5
7.1
          (a) Non-prisoners aged 15 years or more.
          (b) Respondents may have reported more than one action.
          (c) Categories are mutually exclusive.
          (d) Includes visiting a hospital emergency department or outpatient clinic, or seeing a doctor, nurse or Aboriginal Health Worker.
          (e) Includes bush medicines.
          (f) Self-reported, lasting for six months or more. Respondents may have reported more than one condition.
          (g) Not correctable by glasses.



CHAPTER THREE - RESULTS

Overall, about 17% of Indigenous males and females aged 15 and over reported their health as fair or poor (table 3.1). This is similar to what was observed for all Australians in the 1995 National Health Survey (NHS), but this overall similarity obscures differences in self-assessed health status within particular age groups, as is discussed below

3.1 SELF-ASSESSED HEALTH STATUS(a)
1994 natsis (b)
1995 NHS (c)...
Males
Females
Males
Females
%
%
%
%
    Poor
2.8
2.8
4
3.9
    Fair4
14.5
14.4
12.3
12.8
    Good
33.4
40.9
28.4
28.5
    Very good
28.9
27.8
35.4
35.6
    Excellent
20.4
14.2
19.9
19.2
        (a) Adults aged 15 years or more.
        (b) Source: 1994 NATSIS.
        (c) Source: Australian Bureau of Statistics 1996c.
SOCIO-DEMOGRAPHIC FACTORS

Age

Reported fair or poor health generally increased with age for both males and females (table 3.2, graphs 3.3 and 3.4). The proportion of people who reported poor or fair health was similar in the NATSIS and the NHS among males and females aged 15-34 years and among those aged 65 years or more (graphs 3.3 and 3.4). However, a large difference was observed between the two surveys among people aged 35-64 years, with Indigenous people in those age groups in the NATSIS about twice as likely to report fair or poor health as their all-Australian counterparts in the NHS.

Because of the importance of age with respect to self-assessed health status, and because age may also be associated with other factors of interest, such as employment, relative weight, smoking, health conditions and health actions, and culture and language, the effect of age was taken into account by adjusting for it in statistical models. The results of the modelling are presented in the technical notes. The figures presented in the tables in this chapter have not been adjusted for age, but the results of such an adjustment are noted in the text when relevant.

Area of residence

Reports of fair or poor health varied from region to region (maps 3.5 and 3.6). People living in rural areas were significantly less likely than those in capital cities to report their health as fair or poor (table 3.2). People in other urban areas were slightly less likely to report fair or poor health than those in capital cities, but the difference was not statistically significant. Adjustment for age did not appreciably alter the relationship between place of residence and self-assessed health status.

3.2 SOCIO-DEMOGRAPHIC FACTORS AND SELF-ASSESSED HEALTH
Reported poor or fair health................
Males
Females
%
%
      Age group
      15-24
7.7
6.8
      25-34
13
13.3
      35-44
22.2
24.6
      45-54
34.3
31.4
      55-64
44.6
34.1
      65 or more
33
29.9
      Area of residence
      Capital city
20.3
19.2
      Other urban
18
18.2
      Rural
14
13.8
      Labour force status
      Employed, non-CDEP
12.4
8.8
      Employed, CDEP(a)
8.3
12.9
      Unemployed
14.4
14.9
      Not in labour force
30.4
21.6
      Highest year of school completed
      Less than year 10
22.6
24.6
      Year 10 or year 11
13.8
11.7
      Year 12 or more
7.9
10.3
      Still attending
5.5
3.5
      Annual household income
      Less than $20 000
26.4
25.6
      $20 000-39 999
18.7
15.9
      $40 000 or more
12.3
14.1
      Unknown
16.1
15
        Dwelling owned or being purchased by its occupants
      Yes
14.8
11.7
      No
18
18.4
      Number of people per bedroom
      Fewer than 2
19.4
18.5
      2-4
12.7
13.6
      More than 4
9.6
9.4
      No bedrooms
8.3
15
      Number of children ever borne
      0
    . .
9.7
      1
    . .
9.4
      2
    . .
15.7
      3
    . .
16.4
      4
    . .
24.6
      5 or more
    . .
31.7
        (a) Community Development Employment Projects scheme.
        . . Not applicable.



3.3 REPORTED POOR/FAIR HEALTH STATUS IN TWO SURVEYS, Males



3.4 REPORTED POOR/FAIR HEALTH STATUS IN TWO SURVEYS, Females


3.5 REPORTED POOR/FAIR HEALTH STATUS, Males



3.6 REPORTED POOR/FAIR HEALTH STATUS, Females







Labour force status

Labour force status was significantly associated with self-assessed health status (table 3.2), even after adjusting for age (table T.1 in Technical Notes). For both males and females, people who were unemployed or not in the labour force were significantly more likely to report fair or poor health than those employed in mainstream jobs (that is, jobs other than Community Development Employment Projects (CDEP) scheme jobs). Females who were employed in CDEP scheme jobs were somewhat more likely than those in non-CDEP jobs to report fair or poor health. Although the opposite was true for males, the difference was not statistically significant after adjustment for age.

Educational attainment

Males and females who did not complete year 10 were more likely to report poor or fair health than those with a higher level of educational attainment (table 3.2). People still attending school were the least likely to report poor or fair health. Much of the difference can be explained by differences in the age distributions of people in particular categories of educational attainment (table T.1). For example, people still attending school tend to be younger than those who have left school.

Household income

Males and females with reported household incomes of less than $20,000 per year were significantly more likely to report poor or fair health than those with $40,000 or more in annual household income (table 3.2), even after adjusting for age (table T.1). People with a household income of $20,000-39,999 were intermediate in their reporting of poor or fair health.

Housing

Males and females who lived in dwellings owned or being purchased by their occupants were significantly less likely to report fair or poor health after adjustment for age than were those living in rented dwellings or with some other housing tenure (tables 3.2 and T.1). Residents of more crowded households were significantly less likely to report fair or poor health than were those living in less crowded accommodation.

Number of children borne

Women who said they had never borne children were similar in their reporting of poor or fair health to women who had borne one child (table 3.2). Reported poor or fair health increased with the number of children ever borne. Although the differences were less marked after adjusting for age (table T.1), women who had borne four or more children were significantly more likely to report poor or fair health than those who had borne 2-3 children, while women who had borne one child were significantly less likely to report poor or fair health.

Cultural factors

Males and females who said they had been removed from their natural family as children were significantly more likely to report fair or poor health than were those not taken away (table 3.7), even after adjusting for age (table T.2). Those who said they recognised homelands or traditional country were more likely to report poor or fair health, but the differences were only statistically significant among males after adjustment for age. Participation in cultural activities in the last year and perceiving the role of elders as important were not significantly associated with the reporting of poor or fair health status. Reported identification with a clan, tribal or language group was only significant among males, and only after adjustment for age (table T.2).

Males who lived in households which included non-Indigenous members were not significantly different in their reporting of poor or fair health than those in households with Indigenous members only, but females who lived in households with non-Indigenous members were significantly less likely to report fair or poor health than those who lived only with other Indigenous people (table 3.7), even after adjusting for age (table T.2). Although Torres Strait Islanders appeared less likely to report poor or fair health than Aboriginal people, the number of Torres Strait Islanders in the NATSIS was relatively small, and the differences were not statistically significant.


3.7 CULTURAL FACTORS AND SELF-ASSESSED HEALTH
Reported poor or fair health...........
Males
Females
%
%
      Taken away from natural family as a child
      Yes
26.3
33.4
      No
16.6
15.7
      Recognises an area as homelands or traditional country
      Yes
19
18
      No
12.2
14.6
      Identifies with a clan, tribal or language group
      Yes
17
17.2
      No
18
17.2
      Participated in cultural activities in past year
      Yes
16.6
17.5
      No
19.2
16.4
      Considers the role of elders important
      Yes
16.8
17.4
      No
20
15.8
      Main language spoken
      English
18.8
18.1
      Not English
8.5
11
      Household composition
      Indigenous members only
17.7
18.4
      Indigenous and non-Indigenous members
16.4
13.9
      Indigenous group
      Aboriginal only
17.5
17.4
      Torres Strait Islander only
16
15.6
      Both
13
2.2

Main language

Males and females who said they spoke English as their main language were significantly more likely to report poor or fair health than were those whose main language was not English (table 3.7), even after adjustment for age (table T.2). A trend of generally increased reporting of poor or fair health with increased age was found regardless of main language spoken, especially among males (graphs 3.8 and 3.9), but the proportions were lower in absolute terms among those who did not use English as their main language.

3.8 REPORTED POOR/FAIR HEALTH STATUS AND MAIN LANGUAGE, Males


3.9 REPORTED POOR/FAIR HEALTH STATUS AND MAIN LANGUAGE, Females



HEALTH RISK FACTORS

Relative weight and food security

Males and females who were classified as underweight or of acceptable weight were less likely to report poor or fair health than those who were categorised as overweight or obese (table 3.10). After adjusting for age, however, relative weight was not significantly associated with reports of poor or fair health (table T.3). This lack of an association may be related to different perceptions of overweight and obesity in different cultures; in some cultures, overweight and obesity may be viewed positively as a sign of good health.
Although reporting that household members had gone without food in the last four weeks was not significantly associated with reported poor or fair health (table 3.10), people who said they worried about going without food were significantly more likely to report poor or fair health than those who said they did not worry, even after adjusting for age (table T.3).

Smoking and alcohol consumption

Cigarette smoking was associated with significantly higher reporting of poor or fair health among males and females (table 3.10), even after adjusting for age (table T.3). Self-reported non-drinkers were significantly less likely to report poor or fair health after adjusting for age than were those who said they drank alcohol within the week before they were interviewed (tables 3.10 and T.3). Among those who reported any alcohol use, females who said their last drink was more than a week ago were significantly less likely to report poor or fair health than were those who drank more recently, but there was no significant difference among males. No information was available about level of alcohol consumption.

Personal security

Males and females who said they had been attacked or verbally threatened in the past year were significantly more likely to report poor or fair health than were those who said they had not been attacked or threatened (table 3.10), a difference that was more pronounced after adjusting for age (table T.3).


3.10 HEALTH RISK FACTORS AND SELF-ASSESSED HEALTH
Reported poor or fair health...........
Males
Females
%
%
      Relative weight(a)
      Underweight (BMI <20)
12.7
13
      Acceptable weight (BMI 20-25)
17.1
16.4
      Overweight (BMI >25-30)
20.1
19.1
      Obese (BMI >30)
19.9
22.4
      Not available(b)
14.8
14.9
      Any household member went without food in the last four weeks
      Yes
18.5
17
      No
16.8
16.9
      Worries about going without food
      Yes
24.1
22.1
      No
15
14.9
      Smokes cigarettes
      Yes
19.1
19.7
      No
15.1
14.8
      Most recent alcohol consumption
      Less than one week ago
17.5
19.2
      More than one week ago
19.2
16.6
      Never
12.6
15.5
      Attacked or verbally threatened in past year
      Yes
23.6
27
      No
16.4
15.7
          (a) Relative weight categories based on National Health and Medical Research Council guidelines (NHMRC 1984 and 1985). BMI (Body mass index) = weight in kilograms divided by square of height in metres.
          (b) Includes all participants aged 15-17 years of age, as NHMRC guidelines are for people aged 18 years and over.

HEALTH ACTIONS AND CONDITIONS

Recent health actions

People who reported taking any health-related action in the two weeks prior to being interviewed were significantly more likely to report poor or fair health than those who did not (table 3.11), even after adjusting for age. Many people reported taking more than one health-related action in the period specified. For example, some people were admitted to hospital, saw a doctor, nurse and/or Aboriginal Health Worker and used medications, all as part of the same illness or condition. Males and females who reported a greater number of different types of health-related actions were more likely to report poor or fair health than those who reported fewer or no actions (table 3.11), even after adjustment for age (table T.4).

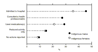
Among people who reported a recent health-related action, males and females who said they had been admitted to hospital were the most likely to report poor or fair health (tables 3.11 and T.4, graph 3.12).


3.11 HEALTH-RELATED ACTIONS AND SELF-ASSESSED HEALTH
Reported poor or fair health..........
Males
Females
%
%
      Recent health-related actions(a)
      No health actions reported
9.4
8.4
      Admitted to hospital
45.6
35.6
      Visited hospital emergency or outpatients dept
33.7
35.2
      Saw a doctor
28.9
28.3
      Saw a nurse
27.2
25.7
      Saw an Aboriginal Health Worker
27.6
30.6
      Used medication
33.3
28.3
      Used bush medicine
21.8
21.5
      Reduced activity because of illness
27.6
31.5
      Number of types of recent health-related actions (listed above)
      0
9.4
8.4
      1
23.8
18.7
      2-3
31.3
27.8
      4 or more
36.1
40.2
      Category of health actions taken(b)
      Admitted to hospital
45.6
35.6
      Consulted a health professional(c) but was not admitted to hospital
27.3
27.3
      Used medications(d) but was not admitted to hospital and did not see a health professional
28.9
21.1
      Reduced activity only
14.9
14.2
      No action taken
9.4
8.4
          (a) In the past two weeks. Respondents may have reported more than one type of action.
          (b) Categories are mutually exclusive.
          (c) Includes visiting a hospital emergency department or outpatient clinic, or seeing a doctor, nurse or Aboriginal Health Worker.
          (d) Includes bush medicines.

3.12 HEALTH-RELATED ACTIONS(a) AND REPORTED POOR/FAIR HEALTH

        (a) In previous two weeks.
        (b) Includes visiting a hospital emergency department or outpatients
        clinic or seeing a doctor, nurse or Aboriginal Health Worker.
        Excludes people who were admitted to hospital.
        (c) Includes bush medicines. Excludes people who were admitted
        to hospital or consulted a health professional.


Long-term health conditions

Even after adjustment for age, males and females who reported that they had a long-term condition or disability for which they required assistance were significantly more likely to report poor or fair health than those who said they did not have such a condition or did not need assistance (tables 3.13 and T.4).

Respondents were also asked to indicate whether they had any of a number of specified long-term (lasting for six months or more) health conditions, including: asthma; diabetes; heart problems; chest problems; skin problems; high blood pressure; ear or hearing problems; eye problems not correctable by glasses; and kidney problems. For each of these conditions, males and females who reported that they had that particular condition were significantly more likely to report poor or fair health than were those who said they did not have that condition, even after adjusting for age (tables 3.13 and T.4). Among males and females who reported having at least one of these conditions, those who said they had heart problems were the most likely to report poor or fair health (table 3.13, graph 3.14), followed by kidney problems and diabetes among males, and high blood pressure, diabetes and chest problems among females.

Some people reported more than one of the conditions listed above. An increase in the number of reported long-term conditions was significantly associated with an increase in reporting of poor or fair health even after adjusting for age (tables 3.13 and T.4, graph 3.15). Over half of females and almost two-thirds of males who reported three or more long-term conditions reported their health as poor or fair. Similar results were observed when limiting the conditions to those more likely to be life-threatening, i.e. asthma, diabetes, heart problems, chest problems, high blood pressure and kidney problems.


3.13 LONG-TERM CONDITIONS AND SELF-ASSESSED HEALTH
Reported poor or fair health....
Males
Females
%
%
      Has long-term condition or disability (requires assistance)
      Yes
63.8
63.6
      No
15.8
15.2
      Reported long-term specified health conditions(a)
      None
8
8.7
      Asthma
34.1
30.9
      Diabetes
51.5
41.4
      Heart problems
60.3
46.1
      Chest problems
44.8
41.2
      Skin problems
35.4
30.8
      High blood pressure
49.2
44.5
      Ear or hearing problems
37
33.1
      Eye problems not correctable by glasses
39.6
35.4
      Kidney problems
56.5
36.4
      Number of long-term health conditions (listed above)
      0
8
8.7
      1
20.6
19
      2
49.1
34.3
      3 or more
64.2
54.5
          (a) Lasting at least six months. Respondents may have reported more than one type of condition.



3.14 HEALTH CONDITIONS(a) AND REPORTED POOR/FAIR HEALTH


        (a) Self-reported, lasting for six months or more. Respondents may have reported more than one condition.
        (b) Not correctable by glasses


3.15 NUMBER OF HEALTH CONDITIONS AND REPORTED POOR/FAIR HEALTH


      (a) Self-reported, lasting for six months or more, including any of the following: asthma; heart problems; chest Problems; high blood pressure; diabetes; ear or hearing problems; eye problems not correctable by glasses; skin problems; and kidney problems.
      (b) The maximum number of specified long-term conditions reported by males was six.

Main language

The reporting of poor or fair health increased with increasing number of reported long-term health conditions regardless of main language spoken. However, the level of reported poor or fair health was higher for people who speak English as their main language for every category of number of reported conditions (graphs 3.16 and 3.17).

A similar pattern was observed for category of health-related actions, with generally higher reporting of poor or fair health for more serious actions regardless of main language spoken, and higher levels of reported poor or fair health among those for whom English is the main language spoken, for each category of type of action taken (graphs 3.18 and 3.19). Among people who said they do not speak English as their main language, less than 1% reported that their only health-related action in the last two weeks was a reduction in activity. Thus the proportion of people in this category who reported poor or fair health is subject to a large degree of error.

3.16 HEALTH CONDITIONS, LANGUAGE AND POOR/FAIR HEALTH, Males

    (a) Self-reported, lasting for six months or more, including any of the following: asthma; heart problems; chest problems; high blood pressure; diabetes; ear or hearing problems; eye problems not correctable by glasses; skin problems; and kidney problems.

3.17 HEALTH CONDITIONS, LANGUAGE AND POOR/FAIR HEALTH, Males

      (a) Self-reported, lasting for six months or more, including any of the following: asthma; heart problems; chest problems; high blood pressure; diabetes; ear or hearing problems; eye problems not correctable by glasses; skin problems; and kidney problems.

3.18 HEALTH ACTIONS(a), LANGUAGE AND POOR/FAIR HEALTH, Males

      (a) In the past two weeks.
      (b) Poor or fair health was not reported by anyone in this category who did not speak English as their main language.
      (c) Excludes people who consulted a health professional and/or were admitted to hospital.
      (d) Excludes people who were admitted to hospital.

3.19 HEALTH ACTIONS(a), LANGUAGE AND POOR/FAIR HEALTH, Females

    (a) In the past two weeks.
    (b) Excludes people who consulted a health professional and/or were admitted to hospital.
    (c) Excludes people who were admitted to hospital.

Adjusting for other factors

Although age is an important predictor of self-assessed health status and is associated with many other factors of interest, it is not the only factor which may obscure the relationship of the variables of interest. As discussed above, several factors were associated with self-assessed health status after adjusting for age. Some of these factors may be related to one another, and it is useful to examine relationships after adjusting for other variables in addition to age.

Multiple logistic regression (see technical notes) was used to adjust simultaneously for the effects of many factors. Variables which were significantly associated with self-assessed health status after adjusting for age were included in a number of models to assess their relationship with reported poor or fair health while adjusting for other factors. Because of the exploratory nature of the analysis, the purpose of the modelling was to identify variables which were associated with reported poor or fair health status, rather than to quantify precisely the magnitude of the associations. The adjusted odds ratios should therefore be interpreted with caution. More work is needed to distinguish, for example, between the relative contributions of long-term health conditions and recent health actions.

The results of the modelling are described in more detail in the technical notes.

Summary of results from multiple logistic regression models

Reported long-term health conditions, the need for assistance due to a long-term condition or disability and recent health actions were among the most important factors with respect to self-assessed health status. It is not surprising that people take such things into account when they rate their own health. The number of reported conditions, the presence of a disability or condition for which assistance is required and the number and type of reported recent health actions were significantly and independently associated with reported poor or fair health even after adjusting for other factors (table T.5).

Age continued to be significantly associated with reported poor or fair health even after adjusting for many other factors of interest, including health actions and conditions (tables T.5).
Language also remained significant, with those who said they used English as their main language more likely to report poor or fair health than those who said they used another language even after adjustment for other factors (table T.5). The difference was larger among males, but was still significant among females.

Labour force status was also associated with self-reported health status after adjusting for other factors, with males and females who were not in the labour force significantly more likely to report poor or fair health than those in non-CDEP employment (table T.5). Although long-term health conditions may prevent people from participating in paid employment, the relationship was independent of reported health conditions and health actions. Females who were unemployed or who worked in CDEP scheme jobs were also significantly more likely to report poor or fair health than their counterparts in non-CDEP jobs after adjustment for other factors.
Other reported factors, such as home ownership, level of educational attainment, number of people per bedroom, smoking, having been attacked or threatened in the past year, worrying about going without food, number of children borne, recognising homelands, identifying with a clan, tribal or language group and having been taken away as a child, were also significantly associated with reported poor or fair health among males, females or both, but the associations were generally less strong than those observed for reported health conditions and actions, age, main language and employment status (table T.5).

Factors such as area of residence, household income, alcohol consumption, whether the household included non-Indigenous people, whether the role of elders is considered important, participation in cultural activities, whether household members went without food and relative weight were not significantly associated with reported poor or fair health after adjusting for age, health actions, health conditions, the need for assistance, main language, home ownership, labour force status and other variables in the final model.


CHAPTER FOUR - DISCUSSION


VARIABLES ASSOCIATED WITH SELF-ASSESSED HEALTH STATUS

The first aim of this study was to explore the relationships of a number of variables with self-assessed health status.

The results of the analysis showed that, among Indigenous adults, there is a relationship between self-assessed health and several objective health measures, such as number of reported long-term conditions, recent health-related actions and the presence of a disability for which assistance is required. As expected, age was significantly associated with reported poor or fair health, but this relationship was attenuated after adjustment for other factors. A number of social and cultural variables were also independently associated with self-assessed health in the NATSIS, and some of these variables, such as employment status, have been found to be associated with self-assessed health status in other studies (AIHW 1996, Macran, Clarke et al. 1994). The observed relationship between main language spoken and reported poor or fair health is a potentially important one and will be discussed at greater length below.

It should be noted that all the data used in this analysis were self-reported, and the results should therefore be interpreted with caution. For example, no validation of self-reported health conditions was made. It is possible that some people reported having conditions which they did not actually have. Conversely, it is likely that some people did not report conditions which they did have. This may have occurred because they did not wish to report a condition, because they were not aware they had the condition and/or had not received a diagnosis, because they did not recognise the name of the condition when asked or otherwise misunderstood the question, or for some other reason.


THE MANY DIMENSIONS OF HEALTH

Some NATSIS respondents reported their health to be better than might be expected on objective grounds. For example, 40% of males and 54% of females with heart problems reported themselves to be in good, very good or excellent health, as did 43% of males and 64% of females with kidney problems and 48% of males and 59% of females with diabetes. This is consistent with the findings of other research. For example, in one British study, only 12% of respondents reported their health as fair or poor, even though 30% reported chronic illnesses or long-standing disabilities. Of those reporting long-term chronic illness only 28% reported their health as poor (Jenkinson 1994).

This lends support to theoretical developments which indicate that health is fundamentally a social construct with multiple dimensions, only one of which is illness identified within a Western biomedical paradigm (see, for example, Mobbs 1991; Segovia, Bartlett et al. 1989; and Jylha 1994). The SF-36, a widely used instrument for measuring health status, has scales relating to general health, bodily pain, physical functioning, physical roles, mental health, social functioning and emotional roles (Ware & Sherbourne 1992).

With the exception of developmental work for the SF-36, little research has been undertaken to investigate the cross-cultural robustness of these constructs. This is further complicated by the fact that, with global questions, all dimensions are collapsed into a single item which raises issues about the relative salience of different constructs when health status is assessed. For example, work by Krause and Jay (Krause & Jay 1994) has shown that both within and between cultures, people use different referents when answering a global question about self-rated health; some think about specific health problems while others think about general physical functioning or health behaviours. In addition, referents vary with age, and may also vary with education and race. Smith and others (Smith, Shelley et al. 1994) found that self-assessed health reported as worse than one's peers reflected physical experience of ill-health, while reports of better health than one's peers reflected not only absence of disease but sociodemographic advantage and self-image.


LANGUAGE AS A PROXY MEASURE OF ACCESS TO SERVICES

The extent to which the presence of disease is a salient construct in self-assessment of health raises an important issue in the context of the NATSIS. In Indigenous populations, there may be a relationship between access to Western medicine and knowledge of disease; that is, the closer social proximity one has to health infrastructure, the more likely it is that disease, if present, will be detected (Anderson & Sibthorpe 1996). We use the term social proximity to emphasise the socio-cultural and economic dimensions of a relationship that is also in part determined by the geographic distribution of health care services which favours urban and metropolitan centres. Although it may be counter-intuitive, improvements in access to health services may result in a decline in self-assessed health status, at least in the short term, as the likelihood of detection of existing disease increases. Better access to services may also increase people's expectations of good health; if reality fails to keep pace with such changes in expectation, self-assessed health status might worsen, even in the absence of changes in objective measures of health.

Main language spoken could be considered a proxy measure of access to health care infrastructure in the NATSIS, and this may help to explain why those whose main language was English were more likely to report their health as poor or fair than those who spoke some other language, a finding which is perhaps contrary to expectations. Those who did not speak English as their main language may have been less likely to know that they had a disease because they had less access to relevant diagnostic services.

In addition to being a possible indicator of reduced access to health care infrastructure, speaking a main language other than English is a marker, albeit an imperfect one, of a more traditional lifestyle, of cultural differences in the meaning of 'health', and of social as well as physical remoteness. Indeed, maps 3.5-3.6 indicate that regions in which a low proportion of people reported poor or fair health were primarily situated in the Northern Territory and Western Australia, in areas which are more remote and in which Indigenous people are less likely to speak English as their main language and are more likely to comprise a relatively high proportion of the regional population (Australian Bureau of Statistics 1997). Thus the distribution of health infrastructure and a number of socio-cultural variables are inter-related and it is therefore difficult to distinguish clearly their relative influence with respect to self-assessed health. These factors, alone or in combination, do appear to result in a raised threshold for the self-reporting of poor or fair health status.

It must be noted that language may also have had a more direct influence on reported self-assessed health status. That is, it is possible that some people who use a main language other than English misunderstood the question and/or what was expected by way of response.


ASSESSING THE POTENTIAL USEFULNESS OF SELF-ASSESSED HEALTH STATUS

The second aim of this study was to assess the potential usefulness of self-assessed health to make comparisons and examine trends over time within the Indigenous population, and to make comparisons between Indigenous and non-Indigenous populations. The analysis reported here indicates that a global measure of self-assessed health status may be of use in these areas, but that there are limitations which must be acknowledged.

Although it is clear that the Indigenous people surveyed in the NATSIS used objective measures such as long-term health conditions, disability and recent health actions in their assessment of their own health, the data suggest that the context in which poor or fair health was reported may have differed for different groups of Indigenous people (such as those who speak English as their main language versus those who do not), thus making comparisons between such groups difficult. Comparisons within a group over time may control for these differences. However, when using a global measure it must be remembered that improvements in one or more dimensions may be obscured by deterioration in others. Thus an overall change may be discernible, but the extent to which different dimensions have contributed to that change will not.
Concerns about the usefulness of a global question on self-assessed health to make comparisons between Indigenous and non-Indigenous populations are partly allayed by the results of the analysis. Indigenous people clearly take account of a number of objective health factors when assessing their own health. An apparent similarity in the rates of poor or fair health for Indigenous people in the NATSIS and their all-Australian counterparts in the NHS (both at around 17% overall) would seem at first glance to suggest that the thresholds for reporting poor or fair health are different, making comparisons of little value, because the available objective measures clearly indicate much higher levels of morbidity and mortality among Indigenous people. However, the analysis showed that the expected differences did appear after accounting for the age structures of the two populations. The differences were most pronounced in the 35-44 and 45-64 year age groups, which roughly correspond with the age groups which have the largest differentials between Indigenous and non-Indigenous mortality (Anderson, Bhatia and Cunningham 1996).

The current focus on outcome measures in health research means that measures of self-assessed health status remain highly relevant. The simple global measure used in the NATSIS has, for the first time, provided information on a national level about the subjective health of Indigenous Australians. Limitations such as those described above do not necessarily mean that these data are not useful for making comparisons between groups and over time. Rather, more research is needed to enhance our understanding of the meaning of differences in the reporting of poor or fair health both within and between groups to ensure that measures of self-assessed health status are used and interpreted appropriately.



CHAPTER FIVE - TECHINICAL NOTES


THE LOGISTICS REGRESSION MODEL

The dependent variable of interest in this analysis was reported poor or fair health status. Because people without adequate information on self-assessed health status were excluded from consideration, all those included in the analysis could be assigned to one of two categories: poor/fair self-assessed health or good/very good/excellent self-assessed health. In cases such as this, where the probability of falling into one of two categories is of interest, the logistic regression model is commonly used, especially in the area of health research. Logistic regression overcomes the fact that probabilities are limited in range from 0 to 1. By using a logit transformation, the dependent variable has a range from negative infinity to positive infinity, thus facilitating modelling.

In its simplest form, the logistic regression model can be described as follows:

Logit Pi = log [Pi / (1-Pi)] = alpha + biXi +ei

where Pi is the probability of the outcome occurring (e.g. reporting poor or fair health), alpha is an intercept term, the bi's are coefficients, Xi's the independent variables of interest, and ei is the error term.

Logit Pi is the natural logarithm of the 'odds ratio', which is commonly used in the field of health research as a measure of the magnitude of the relationship between two variables. More information on logistic regression is available elsewhere (e.g., Hosmer & Lemeshow 1989).

As discussed in chapters 2 and 3, several independent variables were of interest in the analysis. The relationship of a variable of interest with reported poor or fair health can be obscured if other factors are related both to the variable and to self-reported health status. For example, as is discussed in chapter 3, age is an important predictor of reported poor or fair health. Age is also associated with other variables of interest, such as labour force status, education, language spoken, etc. Thus an observed relationship between one of these factors and reported poor or fair health may be wholly or partly due to the effect of age. Conversely, a failure to observe any association may also be due to differences in age. The same may be true for variables other than age. Therefore, it is important to adjust for other variables when examining the relationship between a factor of interest and self-assessed health status. In the current analysis, both unadjusted and adjusted models have been generated and compared.

In tables T.1-T.5, odds ratios are presented for selected variables. Odds ratios have been estimated relative to an appropriate set of reference characteristics. For example, in table T.5, the reference characteristics are as follows:
  • age 15-24 years;
  • no specified long-term health conditions reported;
  • no recent health actions reported;
  • does not require assistance for a disability;
  • main language is English;
  • lives in a dwelling that is not owned or being purchased by its occupants
  • (i.e. rented or 'other');
  • employed in a non-CDEP scheme job;
  • was not threatened or attacked in the past year;
  • highest year of school completed was year 10 or year 11;
  • does not smoke cigarettes;
  • does not drink alcohol;
  • does not worry about going without food;
  • lives in a dwelling with fewer than two people per bedroom;
  • does not recognise homelands;
  • does not identify with a clan, tribal or language group;
  • was not taken away from family as a child;
  • has borne 2-3 children (females only).

    The reference category is not shown in the tables below for variables with only two levels (e.g. main language, whether recognises homelands). For variables with more than two levels (e.g. age group, labour force status), the reference group is shown in the tables to assist the reader. By definition, the odds ratio for the reference category (whether shown in the table or not) is 1.0, and 95% confidence intervals (presented in table T.5) are not applicable.


Adjusting for other factors

The results of adjustment for age were discussed in the text in chapter 3 and will not be repeated here. Tables T.1-T.4 present crude and age-adjusted odds ratios for the variables of interest.

In addition to age, the factors most strongly associated with reported poor or fair health included reported long-term health conditions, recent health actions, the need for assistance due to a long-term disability or condition, main language spoken, home ownership and labour force status, which were all significant even in a model which included all of these factors. These factors were then used as a baseline model to assess the significance of other factors after adjustment. The other variables of interest were added one at a time to this baseline model and the results were examined.

A number of variables were significantly associated with reported poor or fair health among males and/or females when added by themselves to the baseline model. These variables were then added all together to the baseline model. All of the variables remained significant for either males or females, with the exception of household income and alcohol consumption, which were not included in the final model. The factors included in the final model are listed in table T.5, along with the adjusted relative odds of reported poor or fair health and 95% confidence intervals.
Several variables were not significantly associated with poor or fair health among either males or females when added to the baseline model, including relative weight, area of residence, whether a household member went without food, participation in cultural activities, whether the household included non-Indigenous people, and considering the role of elders to be important. These variables were not included in the final model.

Results of multiple logistic regression

As is shown in table T.5, reported long-term health conditions, the need for assistance due to a long-term condition or disability and recent health actions were among the most important factors with respect to self-assessed health status. These factors were significantly associated with reported poor or fair health even after adjusting for all the other factors listed. As noted in chapter 3, the analysis was primarily exploratory in nature, and the purpose of the modelling was to identify variables which were associated with reported poor or fair health status, rather than to quantify precisely the magnitude of the associations. Thus the odds ratios for particular health variables after adjustment for other health variables should be interpreted with caution, as the models were not intended to assess the relative contributions of particular health variables. That is, while the results indicate that long-term health conditions, recent health-related actions and the presence of a disability for which assistance is required are all important factors with respect to reported poor or fair health, more work would be required to adequately determine the relative importance of these three variables, as well as identify any interactions between them.

Age, main language and labour force status also continued to be significantly associated with reported poor or fair health even after adjustment for many other factors of interest. Although long-term health conditions may prevent people from participating in paid employment, the relationship between labour force status and self-assessed health was independent of reported health conditions, health actions and other factors.

Other variables included in the final model, such as home ownership, level of educational attainment, number of people per bedroom, smoking, having been attacked or threatened in the past year, worrying about going without food, number of children borne, recognising homelands, identifying with a clan, tribal or language group and having been taken away as a child, were also significantly associated with reported poor or fair health among males, females or both, but the associations were generally less strong than those observed for reported health conditions and actions, the need for assistance, age, main language and employment status (table T.5).

T.1 SOCIO-DEMOGRAPHIC FACTORS AND RELATIVE ODDS OF REPORTED POOR/FAIR HEALTH
Males........................
Females....................
      Variables
Unadjusted odds ratio
Age-adjusted odds ratio
Unadjusted odds ratio
Age-adjusted odds ratio
      Age
      15-24 years(a)
1
. .
1
. .
      25-34 years
***1.8
. .
***2.1
. .
      35-44 years
***3.4
. .
***4.5
. .
      45-54 years
***6.3
. .
***6.2
. .
      55-64 years
***9.7
. .
***7.1
. .
      65 years or more
***5.9
. .
***5.8
. .
      Place of residence
      Capital city(a)
1
1
1
1
      Other urban area
0.9
*0.8
0.9
0.9
      Rural
***0.6
***0.6
***0.7
***0.6
      Labour force status
      Employed, non-CDEP(a)(b)
1
1
1
1
      Employed, CDEP(b)
*0.6
0.8
*1.5
**1.8
      Unemployed
1.2
***1.6
***1.8
***2.9
      Not in labour force
***3.1
***3.3
***2.9
***3.1
      Highest year of school completed
      Still attending school
***0.4
0.6
***0.3
*0.5
      Completed less than year 10
***1.8
1.1
***2.5
***1.6
      Completed year 10 or year 11(a)
1
1
1
1
      Completed year 12 or more
**0.5
0.7
0.9
1.1
      Annual household income
      <$20 000
***2.6
***2.1
***2.1
***1.8
      $20 000-$39 999
***1.6
***1.6
1.2
1.1
      $40 000 or more(a)
1
1
1
1
      Unknown
*1.4
*1.4
1.1
1
        Dwelling owned or being purchased by occupants
      Yes
*0.8
***0.6
***0.6
***0.5
      No(a)
1
1
1
1
      Number of people per bedroom
      Less than 2(a)
1
1
1
1
      2-4
***0.6
**0.7
**0.7
*0.8
      More than 4
**0.4
**0.4
**0.5
**0.5
      No bedrooms
**0.4
**0.3
0.8
0.7
      Number of children ever borne
      0
. .
. .
***0.6
1
      1
. .
. .
***0.5
*0.7
      2-3(a)
. .
. .
1
1
      4
. .
. .
***1.7
**1.5
      5 or more
. .
. .
***2.4
***1.7
          (a) The reference group. Odds ratio is equal to 1.0 by definition.
          (b) Community Development Employment Projects scheme.
          . . Not applicable.

          Statistical significance is indicated as follows:
          * p < 0.05; ** p < 0.01; *** p < 0.001.



T.2 CULTURAL FACTORS AND RELATIVE ODDS OF REPORTED POOR/FAIR HEALTH
Males........................
Females...................
      Variables
Unadjusted odds ratio
Age-adjusted odds ratio
Unadjusted odds ratio
Age-adjusted odds ratio
      Taken away from family as a child
***1.8
**1.5
***2.7
***2.3
      Recognises homelands
***1.7
***1.5
**1.3
1.1
      Identifies with a clan, tribal or language group
0.9
*0.8
1
0.9
      Participated in cultural activities in the past year
0.8
0.8
1.1
1
      Considers the role of elders important
0.8
0.9
1.1
1.1
      Does not use English as main language
***0.4
***0.3
***0.6
***0.5
      Indigenous household members only(a)
1
1
1
1
      Indigenous and non-Indigenous household members
0.9
1
***0.7
**0.7
      Aboriginal only(a)
1
1
1
1
      Torres Strait Islander only
0.9
0.8
0.9
0.8
      Both Aboriginal and Torres Strait Islander
0.7
0.8
*0.1
0.1
          (a) The reference group. Odds ratio is equal to 1.0 by definition.
          Statistical significance is indicated as follows: * p < 0.05; ** p < 0.01; *** p < 0.001.



T.3 HEALTH RISK FACTORS AND RELATIVE ODDS OF REPORTED POOR/FAIR HEALTH
Males........................
Females...................
      Variables
Unadjusted odds ratio
Age-adjusted odds ratio
Unadjusted odds ratio
Age-adjusted odds ratio
      Relative weight
      Underweight (BMI<20)
0.7
0.8
0.8
0.9
      Acceptable weight (BMI 20-25)(a)
1
1
1
1
      Overweight (BMI >25-30)
1.2
1
1.2
1
      Obese (BMI>30)
1.2
1
**1.5
1.2
      Not available
0.8
0.9
0.9
1
      Household member went without food in past four weeks
1.1
1.1
1
1
      Worries about going without food
***1.8
***1.9
***1.6
***1.6
      Smokes cigarettes
**1.3
***1.4
***1.4
***1.7
      Last consumption of alcohol
      Within the past week
**1.5
*1.4
**1.3
***1.5
      More than one week ago
***1.6
*1.4
1.1
*1.3
      Never drinks alcohol(a)
1
1
1
1
      Attacked or verbally threatened in past year
***1.6
***2.0
***2.0
***2.5
          (a) The reference group. Odds ratio is equal to 1.0 by definition.
          Statistical significance is indicated as follows: * p < 0.05; ** p < 0.01; *** p < 0.001.



T.4 HEALTH ACTIONS AND CONDITIONS AND RELATIVE ODDS OF REPORTED POOR/FAIR HEALTH
Males........................
Females.....................
      Variables
Unadjusted odds ratio
Age-adjusted odds ratio
Unadjusted odds ratio
Age-adjusted odds ratio
      Has a long-term disability or condition for which assistance is required
***9.4
***6.3
***9.8
***6.8
      Recent health-related actions(a)(b)
      None(c)
1
1
1
1
      Admitted to hospital
***8.0
***5.4
***6.0
***5.5
      Consulted a health professional(d)
***3.6
***2.9
***4.1
***3.4
      Took medication(e)
***3.9
***3.1
***2.9
***2.1
      Reduced activity only
1.7
1.8
1.8
*2.0
        Number of types of recent health-related actions(a)
      0(c)
1
1
1
1
      1
***3.0
***2.5
***2.5
***2.0
      2-3
***4.4
***3.5
***4.2
***3.4
      4 or more
***5.4
***3.6
***7.3
***6.0
      Specified long-term health conditions(f)
      Asthma
***2.8
***2.7
***2.6
***2.6
      Diabetes
***5.9
***3.2
***4.0
***2.2
      Heart problems
***8.7
***5.6
***4.7
***3.5
      Chest problems
***4.4
***3.9
***3.8
***2.9
      Skin problems
***2.8
***2.8
***2.3
***2.2
      High blood pressure
***5.9
***3.4
***5.1
***3.3
      Ear or hearing problems
***3.3
***2.5
***2.7
***2.5
      Eye problems not correctable by glasses
***3.3
***2.7
***2.7
***2.0
      Kidney problems
***6.8
***5.2
***3.0
***2.7
      Number of specified long-term conditions(f)
      0(c)
1
1
1
1
      1
***3.0
***2.6
***2.5
***2.2
      2
***11.1
***8.1
***5.5
***4.4
      3 or more
***20.6
***13.4
***12.6
***8.6

          (a) Health-related actions include the following: being admitted to hospital, visiting a hospital emergency department or outpatients clinic, visiting a doctor, visiting a nurse, visiting an Aboriginal Health Worker, taking medications, using bush medicines, or reducing activities.

          (b) Categories are mutually exclusive.
          (c) The reference group. Odds ratio is equal to 1.0 by definition.
          (d) Includes seeing a doctor, nurse or Aboriginal Health Worker, or visiting a hospital emergency department or outpatients clinic. Excludes those who were admitted to hospital.
          (e) Includes bush medicines. Excludes those who were admitted to hospital or who consulted a health professional.
          (f) Self-reported, lasting for six months or more. Includes any of the following: asthma, diabetes, heart problems, chest problems, skin problems, high blood pressure, ear or hearing problems, eye problems not correctable by glasses, kidney problems. Respondents may have reported more than one type of condition. Reference group is people who did not report that particular condition.

          Statistical significance is indicated as follows:
          * p < 0.05; ** p < 0.01; *** p < 0.001.


T.5 ADJUSTED RELATIVE ODDS OF REPORTED POOR/FAIR HEALTH STATUS, Selected Variables
MALES..........................
Females..........................
      Variables
Odds ratio(a)
95% confidence interval
Odds ratio(a)
95% confidence interval
      Age
      15-24 years(b)
1
. .
1
. .
      25-34 years
**1.6
1.2-2.3
1.2
0.9-1.7
      35-44 years
***2.1
1.5-3.0
***2.8
2.0-3.9
      45-54 years
***3.1
2.1-4.7
***2.8
1.9-4.2
      55-64 years
***3.7
2.3-5.8
**2.1
1.4-3.3
      65 years or more
1.1
0.6-2.0
1.6
1.0-2.7
      Number of specified long-term conditions(c)
      0(b)
1
. .
1
. .
      1
***1.9
1.5-2.5
***1.7
1.4-2.2
      2
***6.1
4.5-8.3
***2.8
2.1-3.7
      3 or more
***7.8
5.3-11.3
***3.8
2.8-5.2
      Recent health-related actions(d)
      None(b)
1
. .
1
. .
      Admitted to hospital
***3.8
1.9-7.2
***3.5
2.3-5.6
      Consulted health professional but was not admitted to hospital(e)
***1.7
1.3-2.3
***2.4
1.9-3.0
      Took medication but was not admitted and did not consult a health professional (f)
***1.8
1.4-2.4
**1.5
1.2-2.0
      Reduced activity only
0.6
0.3-1.4
1.9
0.9-4.1
      Has a disability and requires assistance
***2.9
1.8-4.7
***4.0
2.8-5.7
      Does not use English as main language
***0.2
0.2-0.3
***0.5
0.4-0.7
      Labour force status
      Employed, non-CDEP(b)
1
. .
1
. .
      Employed, CDEP(g)
1.1
0.8-1.8
***2.3
1.4-3.7
      Unemployed
1.3
1.0-1.8
***2.1
1.5-3.0
      Not in labour force
***3.1
2.3-4.1
***2.7
2.1-3.7
      Dwelling owned or being purchased by occupants
0.8
0.6-1.0
***0.5
0.4-0.7
      Attacked or threatened in past year
1.2
0.9-1.6
***1.6
1.3-2.1
      Educational attainment
      Still attending school
**0.4
0.2-0.8
***0.3
0.1-0.6
      Completed less than year 10
1
0.8-1.4
*1.3
1.0-1.6
      Completed year 10 or year 11(b)
1
. .
1
. .
      Completed year 12 or more
0.8
0.5-1.4
1
0.7-1.5
      Smokes cigarettes
**1.4
1.1-1.8
*1.3
1.0-1.5
      Worries about going without food
***2.1
1.6-2.6
1.2
1.0-1.5
      Recognises homelands
***1.7
1.3-2.2
1
0.8-1.3
      Identifies with a clan, tribal or language group
***0.6
0.5-0.8
0.9
0.8-1.2
      Taken away from family as a child
1
0.7-1.5
**1.6
1.2-2.1
      Number of people per bedroom
      <2(b)
1
. .
1
. .
      2-4
0.8
0.6-1.1
**0.7
0.5-0.9
      >4
0.8
0.4-1.5
**0.4
0.2-0.7
      No bedrooms
0.5
0.2-1.3
1
0.5-1.8
      Number of children ever borne
      0
. .
. .
1.2
0.9-1.7
      1
. .
. .
0.7
0.5-1.0
      2-3(b)
. .
. .
1
. .
      4
. .
. .
1.3
1.0-1.8
      5 or more
. .
. .
**1.5
1.1-1.9
          (a) Adjusted for all factors listed in the table.
          (b) The reference group. Odds ratio is equal to 1.0 by definition.
          (c) Self-reported, lasting six months or more. Includes: asthma, diabetes, heart problems, chest problems, skin problems, high blood pressure, ear or hearing problems, eye problems not correctable by glasses, kidney problems.
          (d) In the past two weeks. Categories are mutually exclusive.
          (e) Includes seeing a doctor, nurse or Aboriginal Health Worker, or visiting a hospital emergency department or outpatients clinic.
          (f) Includes bush medicines.
          (g) Community Development Employment Projects scheme.
          . . Not applicable.
          Statistical significance is indicated as follows:
          * p < 0.05; ** p < 0.01; *** p < 0.001.


REFERENCES

  • Albrecht, G. 1994, 'Subjective health assessment', in Jenkinson, C., ed., Measuring health and medical outcomes, UCL Press, London.
  • Anderson, I. & Sibthorpe, B. 1996, 'The NATSIS and policy and planning in Aboriginal health', in Altman, J.C. & Taylor, J., eds., The 1994 National Aboriginal and Torres Strait Islander Survey: Findings and Future Prospects, Centre for Aboriginal Economic Policy Research, Canberra.
  • Anderson, P., Bhatia, K., and Cunningham, J., 1996, Occasional Paper: Mortality of Indigenous Australians, ABS Cat. no. 3315.0, AIHW Cat. no. IHW1, ABS, Canberra.
  • Australian Bureau of Statistics 1995, National Aboriginal and Torres Strait Islander Survey 1994: Detailed Findings, Cat. no. 4190.0, ABS, Canberra.
  • Australian Bureau of Statistics 1996a, National Aboriginal and Torres Strait Islander Survey 1994: An Evaluation of the Survey, Cat. no. 4184.0, ABS, Canberra.
  • Australian Bureau of Statistics 1996b, National Aboriginal and Torres Strait Islander Survey 1994: Health of Indigenous Australians, Cat. no. 4395.0, ABS, Canberra.
  • Australian Bureau of Statistics 1996c, 1995 National Health Survey: First Results, Cat. no. 4392.0, ABS, Canberra.
  • Australian Bureau of Statistics 1997, National Aboriginal and Torres Strait Islander Survey: Social Atlas, Cat. no. 4155.0, ABS, Canberra.
  • Australian Bureau of Statistics & Australian Institute of Health and Welfare 1997, The Health and Welfare of Australia's Aboriginal and Torres Strait Islander Peoples, ABS Cat. no. 4704.0, AIHW Cat. no. IHW2, ABS, Canberra.
  • Australian Institute of Health and Welfare 1996, Australia's Health 1996, AGPS, Canberra.
  • Epstein, A.M. 1990, 'The outcomes movement-will it get us where we want to go?' New England Journal of Medicine, vol. 323, no. 4, pp. 266-270.
  • Goldberg, D.P. 1972, The detection of psychiatric illness by questionnaire, Maudsley Monograph No. 2, Oxford University Press, London.
  • Hosmer, D.W. & Lemeshow, S. 1989, Applied logistic regression, John Wiley & Sons, New York.
  • Idler, E.L. & Angel, R. J. 1990, 'Self-rated health and mortality in the NHANES-1 epidemiologic follow-up study', American Journal of Public Health, vol. 80, no. 4, pp. 446-452.
  • Jenkinson, C., 1994, ' Measuring health and medical outcomes: an overview', in Jenkinson, C., ed., Measuring health and medical outcomes, UCL Press, London.
  • Jylha, M., 1994, 'Self-rated health revisited: exploring survey interview episodes with elderly respondents', Social Science and Medicine, vol. 39, no. 7, pp. 983-990.
  • Krause, N.M. & Jay, G.M., 1994, 'What do global self-rated health items measure?' Medical Care, vol. 32, no. 9, pp. 930-942.
  • Macran, S., Clarke, L. et al., 1994, 'Women's socioeconomic status and self-assessed health: identifying some disadvantaged groups', Sociology of Health and Illness, vol. 16, no. 2, pp. 182-208.
  • McCallum, J., Shadbolt, B., and Wang, D. 1994, 'Self-rated health and survival: A 7-year follow up study of Australian elderly', American Journal of Public Health, vol. 84, no. 7, pp. 1,100-1,105.
  • Mobbs, R., 1991, 'In sickness and health: the sociocultural context of Aboriginal well-being, illness and healing', in Reid, J. and Trompf, P., eds., The health of Aboriginal Australia, Harcourt Brace Jovanovich, Sydney.
  • National Health and Medical Research Council 1984, Report of the ninety-eighth session, AGPS, Canberra.
  • National Health and Medical Research Council 1985, Report of the one hundredth session, AGPS, Canberra.
  • Pijls, L.T.J., Feskens, E.J.M., et al. 1993, 'Self-rated health, mortality and chronic diseases in elderly men', American Journal of Epidemiology, vol. 138, pp. 840-848.
  • Rowan, K. 1994, 'Global questions and scores', in Jenkinson, C., ed., Measuring health and medical outcomes, UCL Press, London.
  • Segovia, J., Bartlett, R.F., et al., 1989, 'An empirical analysis of the dimensions of health status measures', Social Science and Medicine, vol. 29, no. 6, pp. 761-768.
  • Smith, A.M.A. & Shelley, J.M. et al., 1994, 'Self-rated health: biological continuum or social discontinuity?' Social Science and Medicine, vol. 39, no. 1, pp. 77-83.
  • Ware, J. & Sherbourne, C., 1992, 'The MOS 36-Item Short-Form Health Survey (SF-36)' Medical Care, vol. 30, no. 6, pp. 473-481.