3416.0 - Perspectives on Migrants, 2008  
ARCHIVED ISSUE Released at 11:30 AM (CANBERRA TIME) 20/08/2008   
   Page tools: Print Print Page Print all pages in this productPrint All

CENSUS 2006 - PEOPLE BORN IN AFRICA

On this page:
Introduction
Who's here?
When did they arrive?
What type of visa was used?
Where do most African migrants live?
List of references


INTRODUCTION

Africa has increased in importance in the context of Australia's migration programs. For example, in 2003-04 and 2004-05 around 70% of entrants under Australia's Humanitarian Program were from Africa, while people born in South Africa comprised the third largest group of 457 visa holders (i.e. temporary business entrants) as at 31 December 2007 (Department of Immigration and Citizenship, Fact Sheet 60 and Immigration Update).

This article presents an overview of people born in Africa (i.e. those who have settled in Australia or who were resident in Australia at the time of the 2006 Census of Population and Housing). It briefly considers:

  • who's here?
  • when did they arrive and what type of visa was used?
  • where do most African migrants live?


WHO'S HERE?

Census data revealed that there were 248,699 people born in Africa who were resident in Australia in 2006. This accounted for 5.6% of the overseas-born population. Almost three quarters (72.6%) of the Africa-born resident population were from Southern and East Africa, 22.9% from North Africa and 4.5% from the Central and West Africa region.

The largest group were born in South Africa (104,133 or 41.9% of the total Africa-born population living in Australia), 13.5% were born in Egypt, 8.1% in Zimbabwe, 7.7% in Sudan, 7.3% in Mauritius, 4.0% in Kenya and 2.3% in Ethiopia. Africa-born people also came from 51 other countries, each contributing less than 5,000 persons (or less than 2.0% of the total).

COUNTRY OF BIRTH, Three main regions of Africa, Resident in Australia, 2006

Southern and East Africa
no.
North Africa
no.
Central and West Africa
no.

South Africa
104 133
Egypt
33 496
Ghana
2 769
Zimbabwe
20 155
Sudan
19 049
Nigeria
2 500
Mauritius
18 173
Libya
1 518
Sierra Leone
1 809
Kenya
9 935
Morocco
1 293
Liberia
1 523
Ethiopia
5 634
Algeria
1 004
Congo, Democratic Republic of
618
Somalia
4 314
Tunisia
444
Congo
521
Zambia
4 078
Other
72
Guinea
335
Seychelles
2 508
Total
56 876
Côte d'Ivoire
255
Tanzania
2 300
Senegal
199
Eritrea
2 015
Gambia
130
Uganda
1 712
Cameroon
125
Botswana
865
Other
465
Burundi
753
Total
11 249
Namibia
703
Malawi
685
Mozambique
632
Angola
396
Swaziland
233
Rwanda
202
Madagascar
188
Réunion
126
Other
834
Total
180 574

Source: ABS 2006 Census of Population and Housing, unpublished data


WHEN DID THEY ARRIVE?

Year of arrival data from the 2006 Census reveal notable differences between different Africa-born population groups resident in Australia. For instance, 57.0% of people born in Egypt, 42.6% of those born in Mauritius and 23.1% of Kenya-born people arrived before 1976. In contrast, pre-1976 arrivals for people born in countries such as South Africa, Zimbabwe, Ethiopia, Sudan, Ghana, Sierra Leone and Liberia accounted for less than 10% of their respective resident Australian populations. More recently, 94.8% of the Liberia-born, 91.1% of people born in Sierra Leone and 89.1% of those born in Sudan arrived between 1996 and Census night, 8 August 2006.

YEAR OF ARRIVAL, Three main regions of Africa and selected countries, 2006
Graph: Year of Arrival, Three main regions of Africa and selected countries, 2006


The Department of Immigration and Citizenship (DIAC) also produces statistical publications on migration and population-related issues. Looking at the 10 years to 2006-07, DIAC's Settler Arrivals 2006 - 2007 publication shows that the number of Africa-born arrivals increased from 7,082 in 1997-98 to 14,278 in 2006-07, with a peak of 17,735 in 2004-05. This accounted for 9.2% of all settler arrivals in 1997-98, 14.4% in 2004-05 and 10.2% in 2006-07.

SETTLER ARRIVALS BY BIRTHPLACE, Africa and total overseas, 1997–98 to 2006–07
Graph: Settler Arrivals by Birthplace, Africa and total overseas, 1997–98 to 2006–07


The three major African regions show different patterns of arrivals both in their timing and composition. For example, those born in Southern and East Africa continue to account for the largest number of settler arrivals, although their share of the African total has fallen from 85.9% in 1997-98 to 59.0% in 2006-07. In contrast, the proportion of arrivals of people born in Central and West Africa rose from 2.5% to 17.4% over this time, and the proportion of arrivals of those born in North Africa increased from 11.6% to 23.6%, with a peak of 37.2% in 2004-05.

SETTLER ARRIVALS BY BIRTHPLACE, Three main regions of Africa, 1997–98 to 2006–07
Graph: Settler Arrivals by Birthplace, Three main regions of Africa, 1997–98 to 2006–07


The pattern of settler arrivals of people born in Southern and East Africa is driven by that of its largest group - South Africa. In 2006-07, people born in South Africa accounted for 47.4% (3,996) of Southern and East Africa-born arrivals compared with 11.1% (935) for Zimbabwe, 8.3% (701) for Kenya and 33.1% (2,792) for other countries in this region.

SETTLER ARRIVALS BY BIRTHPLACE, Southern and East Africa, 1997–98 to 2006–07
Graph: Settler Arrivals by Birthplace, Southern and East Africa, 1997–98 to 2006–07


Similarly, the pattern of settler arrivals of people born in North Africa reflects that of its largest group, Sudan. Settler arrivals of those born in Sudan peaked at 5,654 in 2004-05. In 2006-07, Sudan accounted for 74.7% (2,513) of North Africa-born arrivals compared with 22.5% (756) for Egypt.

SETTLER ARRIVALS BY BIRTHPLACE, North Africa, 1997–98 to 2006–07
Graph: Settler Arrivals by Birthplace, North Africa, 1997–98 to 2006–07


Over most of the previous 10 years, people born in Liberia, Sierra Leone, Ghana and Nigeria have accounted for most Central and West African arrivals. More recently, the peak in arrivals was reflective of an increase in the number of arrivals for Congo and the Congo Democratic Republic. In 2006-07 Congo and the Congo Democratic Republic together comprised 672 arrivals, compared with 539 for Liberia, 519 for Sierra Leone, 245 for Ghana and 187 for Nigeria.

SETTLER ARRIVALS BY BIRTHPLACE, Central and West Africa, 1997–98 to 2006–07
Graph: Settler Arrivals by Birthplace, Central and West Africa, 1997–98 to 2006–07


WHAT TYPE OF VISA WAS USED?

The following information is available from a range of DIAC products such as the Settlement Database which provides statistical information about the visa category of settler arrivals; Community Information Summaries which include brief historical backgrounds of the countries of birth; and Fact Sheets which provide information about Australia's Humanitarian and Migration Programs, the latter consisting of the Skilled and Family streams.

The Humanitarian program offers resettlement to refugees and to displaced persons who have suffered discrimination amounting to gross violations of their human rights. During the 10 years to 30 June 2007, the five African countries/regions accounting for most settler arrivals under the Humanitarian Program were Sudan (22,445), Other Central and West Africa (3,796), Ethiopia (2,714), Sierra Leone (2,477) and Somalia (2,373). These countries have experienced devastation by natural disasters, political unrest, war, drought and famine.

The Family stream allows for the migration of immediate family members of Australian citizens, permanent residents or eligible New Zealand citizens, such as spouses or fiances and dependent children. Places are also available for other family members including parents, adopted children, orphan relatives, aged dependent relatives, carers and remaining relatives. The five African countries of birth accounting for most Family stream settler arrivals for the 10 years to 30 June 2007 were South Africa (7,995), Egypt (2,063), Ethiopia (1,948), Zimbabwe (1,176) and Ghana (1,007).

During the decade to 30 June 2007, South Africa (50,914), Zimbabwe (10,666), Kenya (3,181), Mauritius (2,172) and Egypt (1,895) were the five main sources of Skill stream settlers born in Africa. Migrants under the Skill stream must satisfy a points test, have particular work skills, meet English language requirements, have other links to Australia or be nominated by particular employers, have successful business skills and/or significant capital to establish a business of benefit to Australia. For example, farmers, entrepreneurs, and people with technological and engineering skills immigrated to Australia following the end of the apartheid system in South Africa.

NUMBER OF SETTLER ARRIVALS, By Country of birth and Migration stream, 30 Jun 1997 to 30 Jun 2007

Humanitarian program
Family stream
Skill stream
Total
no.
no.
no.
no.

Algeria
228
229
42
499
Egypt
1 921
2 063
1 895
5 881
Eritrea
992
408
34
1 434
Ethiopia
2 714
1 948
121
4 783
Ghana
174
1 007
256
1 437
Kenya
1 754
869
3 181
5 804
Mauritius
2
759
2 172
2 933
Morocco
12
352
80
445
Namibia
10
64
340
414
Nigeria
92
540
764
1 397
Other Central and West Africa
3 796
366
358
4 522
Other North Africa
62
161
109
332
Other Southern and East Africa
1 603
457
837
2 897
Sierra Leone
2 477
70
20
2 568
Somalia
2 373
972
24
3 370
South Africa
36
7 995
50 914
58 977
Sudan
22 445
604
85
23 134
Tanzania
854
169
255
1 279
Uganda
681
129
212
1 022
Zambia
59
220
1 103
1 382
Zimbabwe
204
1 176
10 666
12 051
Total
42 489
20 558
73 468
136 561

Source: DIAC Settlement Database


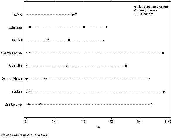
The graph below shows that settler arrivals of people born in Egypt were drawn fairly evenly from the three categories of visas, while people born in Sierra Leone and Sudan arrived predominately through the Humanitarian program. Over half (54.8%) of Kenya-born settlers were Skill stream arrivals, 30.2% were part of the Humanitarian program and 15.0% entered under the Family stream. South Africa-born settlers arrived predominately through the Skill stream (86.3%) with the Family stream (13.6%) accounting for almost all of the remaining arrivals.

PROPORTION BY MIGRATION STREAM, Selected countries of birth, 30 Jun 1997 to 30 Jun 2007
Graph: Proportion by Migration Stream, Selected countries, 30 Jun 1997 to 30 Jun 2007


WHERE DO MOST AFRICAN MIGRANTS LIVE?

In Australia, most of the Africa-born population live in mainland state metropolitan areas. Data from the 2006 Census show that 27.7% of people born in Africa who were resident in Australia on Census night in 2006 lived in Sydney, 24.0% in Melbourne, 15.6% in Perth, 9.5% in Brisbane, 4.1% in Adelaide, 1.2% in Canberra, 0.6% in Hobart and 0.5% in Darwin. Only 16.6% lived outside the capital cities. Notably, 7.2% of Africa-born people living in Queensland lived outside Brisbane.

The graphs below present 2006 Census data for selected countries of birth which have been grouped to best display the relative numbers of persons living in each mainland state (hence the scale of the graphs vary from 3,500 to 30,000 persons). South Africa and Egypt account for the largest numbers of Africa-born people but their distribution across states and whether they reside in capital cities (or regional centres) varies substantially. Almost half (48.5% or 16,234) of those born in Egypt live in Sydney, with another third (33.1% or 11,078) in Melbourne. In contrast, large numbers of people born in South Africa reside in Perth (18,685 or 17.9%) in addition to Sydney (28,193 or 27.1%) and Melbourne (17,209 or 16.5%).

DISTRIBUTION OF PERSONS BORN IN SOUTH AFRICA AND EGYPT, Capital city and rest of state (mainland states), 2006
Graph: Distribution of Persons Born in South Africa and Egypt, Capital city and rest of state (mainland states), 2006


Almost one-quarter (24.3% or 4,892) of residents born in Zimbabwe live in Perth, with another 3,027 in Sydney, 2,949 in Brisbane, 2,816 in the rest of Queensland and 1,893 in Melbourne. Sudanese-born arrivals tend to live in Melbourne (31.1% or 5,930) and Sydney (28.0% or 5,339).

DISTRIBUTION OF PERSONS BORN IN ZIMBABWE, SUDAN AND MAURITIUS, Capital city and rest of state, (mainland states) 2006
Graph: Distribution of Persons Born in Zimbabwe, Sudan and Mauritius, Capital city and rest of state, (mainland states) 2006


The three main cities for Kenya-born residents are Perth (26.7% or 2,656), Sydney (17.9% or 1,777) and Melbourne (17.8% or 1,768). In contrast, people born in Ethiopia (53.9% or 3,036) and Somalia (60.7% or 2,619) tend to live in Melbourne.

DISTRIBUTION OF PERSONS BORN IN KENYA, ETHIOPIA AND SOMALIA, Capital city and rest of state, (mainland states) 2006
Graph: Distribution of Persons Born in Kenya, Ethiopia and Somalia, Capital city and rest of state, (mainland states) 2006


LIST OF REFERENCES

ABS (Australian Bureau of Statistics) 2007, 2006 Census of Population and Housing, ABS, Canberra.

Department of Immigration and Citizenship (DIAC) 2008, Immigration Update December 2007,
<http://www.diac.gov.au/media/publications/statistics/index.htm>.

(DIAC) 2007, Settler Arrivals 2006 - 2007, <http://www.diac.gov.au/media/publications/statistics/index.htm>.

DIAC, Settlement Database, viewed 7 May 2008, <http://www.diac.gov.au/living-in-australia/delivering-assistance/settlement-reporting-facility/index.htm>.

DIAC, Community Information Summaries, viewed 7 May 2008, <http://www.diac.gov.au/media/publications/statistics/comm-summ/index.htm>.

DIAC, Fact Sheets, viewed 7 May 2008, <http://www.diac.gov.au/media/fact-sheets/index.htm>.