INTRODUCTION
This publication presents final results from an Australian Bureau of Statistics (ABS) survey of employing private and public trading businesses involved in waste management services, and preliminary results for the waste management activities of the general government sector. The survey was conducted in respect of the 2002-03 financial year.
The 2002-03 Waste Management Services Survey is the second ABS survey on this topic, with the previous collection being conducted in respect of the 1996-97 financial year.
COMPARISONS WITH PREVIOUS SURVEY RESULTS
This survey has been designed to provide a measure of the financial and business structure of waste management services organisations operating in Australia. While comparisons are made between the 2002-03 and 1996-97 survey results the survey has not been designed to provide highly accurate estimates of change, so any comparisons made to the previous survey should be used with caution. For further information, see paragraphs 23-25 of the Explanatory Notes.
REVISIONS IN THIS ISSUE
The estimates for 1996-97 data presented in table 1 have been revised to exclude units primarily engaged in the collection and transport, treatment and processing of, or sale of recyclables as these units should be classified to other Australian and New Zealand Standard Industrial Classification (ANZSIC) classes. These units are not part of ANZSIC class 9634 - waste disposal services. For further information on the scope of this survey refer to paragraphs 3-4 of the Explanatory Notes.
ACKNOWLEDGMENT
The ABS acknowledges the valuable contribution of individuals, businesses, governments and other organisations including the various state and territory Environment Protection Authorities in providing the data for this publication.
MORE INFORMATION ON ABS SERVICE INDUSTRIES STATISTICS
Information about ABS activities in the field of service industries statistics is available from the Service Industries Statistics theme page on the ABS web site <https://www.abs.gov.au>. To access the theme page, select 'Themes' from the menu on the home page.
COMMENTS
The ABS welcomes comments and suggestions from users regarding future surveys of Service Industries. These comments should be addressed to the Director, Service Industries Business Statistics Centre, Australian Bureau of Statistics, GPO Box 2796Y, Melbourne, Vic. 3001.
ROUNDING
Where figures have been rounded, discrepancies may occur between the sum of component items and the total.
Inquiries
For further information about these and related statistics, contact the National Information and Referral Service on 1300 135 070 or Marie Apostolou on Melbourne (03) 9615 7465.
Main Features
INTRODUCTION
This publication presents results of the 2002-03 Waste Management Services Survey. This survey is conducted periodically by the ABS to provide a detailed measure of the performance and structure of organisations providing waste management services operating in Australia. The main focus of the survey is on understanding the nature of waste management activity, the composition of income generated, expenses incurred and the nature and volume of waste quantities.
The survey scope included employing businesses from the private and public trading sector in Australia that generated income predominantly from waste management services. Waste management services included the collection, transport and/or disposal of refuse (except through sewerage systems). The scope also included the waste management activities of the general government sector (mainly local government authorities).
Businesses that generated income predominantly from the collection and transport, treatment/processing or sale of recyclables were not in scope of this survey.
Tables 1-9 present final statistics on the waste management services provided by private and public trading sector businesses. Table 10 presents preliminary data on the waste management services provided by general government organisations. Final data for the general government sector will be available in August 2004.
SUMMARY OF FINDINGS
At the end of June 2003 there were 1,092 private and public trading businesses providing waste management services in Australia. These businesses had employment of 14,386 persons.
During 2002-03, income generated by these businesses was $2,684.2m. Expenses incurred for the same period were $2,458.2m.
The industry value added for these businesses was $1,248.1m, contributing the equivalent of 0.2% to Australian Gross Domestic Product (GDP) for 2002-03.
The operating profit before tax was $226.6m resulting in an operating profit margin of 8.5%.
Businesses providing waste management services were predominantly small employers, with 74.1% of all businesses having employment of 0-4 persons.
INCOME
During 2002-03 the 1,092 private and public trading sector waste management businesses generated $2,684.2m in total income.
The collection and transport of waste was the major source of income generating $1,595.4m (59.4%) in income, followed by the treatment/processing and/or disposal of waste $534.1m (19.9%) and income from recyclables $226.6m (8.4%).
Most (90.5%) of the income from the collection and transport of waste related to solid waste ($1,444m). This mainly comprised: commercial, industrial, construction and demolition waste ($999.1m) and domestic and municipal waste ($435m).
Income from the collection and transport of liquid waste (including sludge) accounted for $151.4m.
Solid waste also accounted for 82.8% ($442.5m) of the total income from the treatment/processing and/or disposal of waste. This income was mainly generated from commercial, industrial, construction and demolition waste ($307.7m) and domestic and municipal waste ($125.8m).
Liquid waste (including sludge) generated $91.7m from this income source.
Hazardous waste comprised $150.7m of the total income generated from solid waste ($1,886.5m). The collection and transport of hazardous solid waste accounted for $109.2m and the treatment/processing and/or disposal of solid waste accounted for $41.5m.
EXPENDITURE
Expenditure by private and public trading sector waste management businesses for 2002-03 was $2,458.2m. Labour costs were the highest single expense item at $719.5m representing 29.3% of total expenditure. The average labour costs per employee were $51,100.
Other key expenses were: fees paid for the treatment/processing and/or disposal of waste, $304.6m (12.4%); contract and subcontract expenses for waste management services; $269.8m (11%); depreciation and amortisation; $216.9m (8.8%); and on-road motor vehicle running expenses, $206.6m (8.4%).
EMPLOYMENT
At the end of June 2003, waste management services businesses within the private and public trading sector had employment of 14,386 persons.
This employment comprised 14,078 employees (97.9% of total employment) and 308 working proprietors and partners (2.1% of total employment). Most (88.1%) working proprietors/partners were found in businesses with 0-4 employment.
Waste management services businesses reported 948 owner drivers working on a contract basis.
SIZE OF BUSINESSES
Waste management services businesses were dominated by small employers: 74.1% had 4 or fewer persons employed; 19.1% had 5-9 persons; and, 5.5% had 20-99 persons. Only 1.3% of businesses had employment of 100 or more persons.
Income was highly correlated to business size with the larger businesses generating a greater share of the total income from all waste management services. Larger employers (those with 100 or more persons) generated the highest share of total income 68.6% ($1,840.4m), averaging $211,500 per person employed. Micro businesses (those with 0-4 persons) generated 7.1% ($191m) of total income and had an average income of $129,000 per person employed.
The following graph shows that the main source of income for all businesses regardless of size was from the collection and transport of waste. Micro businesses generated 88.3% of their total income from this source, those with 5-19 employment generated 68.6%, 20-99 employment generated 56.9% and larger businesses generated 55.4%.
MAIN SOURCE OF INCOME AS A PROPORTION OF TOTAL INCOME, Private and public trading sector

The graph below shows that larger businesses accounted for the majority share of total income for each of the three main sources of income (recyclables 82.8%, treatment/processing and/or disposal of waste 64.9% and collection and transport of waste 64%). There were 15 large businesses generating this income.
Businesses with employment size of 20-99 and 5-19 persons generated their largest share of total income from the treatment/processing and/or disposal of waste (20.4% and 13.4% respectively).
The largest share of total income for micro businesses came from the collection and transport of waste (10.6%).
SHARE OF TOTAL INCOME FOR SELECTED WASTE ACTIVITY, Private and public trading sector

Profit margins varied by employment size ranging from 6.6% for businesses with 5-19 persons employed to 18.3% for micro businesses. Larger employers had a 7.5% profit margin. A contributing factor to the higher profit margin for micro businesses was the fact that many of these businesses were operated by sole proprietors and partners; the drawings of these persons were excluded from business expenses, and thus profit calculations.
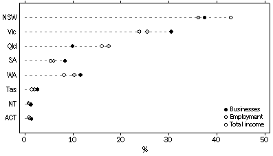
STATES AND TERRITORIES
The following graph shows that New South Wales accounted for the highest share of total number of businesses (37.5%), employment (36.2%) and income (43.1%). Victoria had the second highest share of businesses (30.6%), employment (25.5%) and income (23.9%). Queensland had the third highest share of employment (17.5%) and income (16.1%), but had a lower share of the number of businesses than Western Australia (10% for Queensland and 11.6% for Western Australia).
KEY DATA ITEMS BY STATES AND TERRITORIES, Private and public trading sector

The main source of income across most states and territories was from the collection and transport of solid waste. The three largest states generated 82.1% of the total income ($1,444m) for this activity: New South Wales $565.1m, Victoria $348.4m and Queensland $272.1m.
HISTORICAL COMPARISONS
Comparisons with the results from 1996-97 are useful as an indication of the extent of change over time. However, the survey was not designed to provide highly accurate estimates of change, so any comparisons to results from the previous survey should be made with caution. Estimates of change can be subject to changes in scope, concepts, high levels of sampling error, or revisions. Further information can be found in paragraphs 23-25 in the Explanatory Notes.
Taking into consideration these limitations, the survey results suggest that waste management services businesses in the private and public trading sector experienced growth between 1996-97 and 2002-03.
Total income had an average growth rate of 11.1% per annum since 1996-97. Income from the collection and transport of waste grew at an average annual rate of 10.6%. Income from the treatment/processing and/or disposal of waste grew at 5.8% per annum.
Other income, which included recyclables, rent, leasing and hiring, activities related to renewable energies etc., experienced an annual growth rate of 20.9%. Part of this increase can be attributed to the diversification of business activities undertaken by waste management businesses, particularly non-waste management activity.
The average annual percentage change for employment was 7.9%. Employment rose from 9,107 persons at the end of June 1997 to 14,386 persons at the end of June 2003.
Wages and salaries and contract/subcontract expenses for waste management services increased by 12% and 12.1% per annum, respectively.
The number of waste management services businesses in the private and public trading sector increased from 894 at the end of June 1997 to 1,092 at the end of June 2003, an average annual percentage change of 3.4%.
WASTE QUANTITIES
Quantities of solid waste received at landfills
For the first time this survey used administrative by-product data from state and territory government departments and Environment Protection Authorities (EPAs) for quantities of waste received and disposed of at landfills.
The information below relates to waste received at landfills from households and businesses across the economy, not just businesses in the private and public trading sector undertaking waste management services.
Caution should be exercised in making any comparisons across states and territories as the data published are not strictly comparable due to the variation in state/territory legislation, scope, concepts and definitions. Refer to the Technical Note on page 24 for an explanation of the data for each state and territory.
During 2002-03, 5.2 million tonnes of waste was received and disposed of at landfills in New South Wales. Commercial, industrial, construction and demolition waste comprised 68.2% of the total, while 31.8% was from domestic and municipal waste.
Victoria reported 5.5 million tonnes of waste at landfills during 2002-03. Commercial, industrial, construction and demolition waste comprised 51% of the total waste, while domestic and municipal waste accounted for 39%. Other waste which only included 'Prescribed waste' comprised 10% of the total.
Domestic and municipal waste accounted for 39.4% of the total waste (2.8 million tonnes) in Queensland, while commercial, industrial, construction and demolition waste comprised 25.6%. Other waste, which comprised Cover material and Regulated waste, accounted for 35% of the total.
Western Australia received and disposed of 2.7 million tonnes of waste. Commercial, industrial, construction and demolition waste was the main waste stream accounting for 72.5% of the total. Domestic and municipal waste accounted for 27.5% of the total.
South Australia received and disposed of 1.3 million tonnes of waste at landfills.
The Australian Capital Territory reported 207,000 tonnes of waste. This comprised 60.4% of commercial, industrial, construction and demolition waste and 39.6% of domestic and municipal waste.
Quantities of waste received at facilities other than landfills
The following information relates to waste quantities received at other facilities by waste management services businesses in the private and public trading sector only. It excludes data for landfills, transfer stations or sewage treatment plants.
Quantities of waste received at liquid treatment plants (excluding sewage plants) operated by waste management businesses ranged from 263,600 tonnes in New South Wales to 166,900 tonnes in Victoria.
Quantities of waste received for disposal at facilities (other than liquid or sewage treatment plants, transfer stations, and landfills) was fairly similar across New South Wales (41,500 tonnes) and Victoria (41,300 tonnes). Queensland reported 24,500 tonnes.
GENERAL GOVERNMENT SECTOR
The following information only relates to organisations in the general government sector undertaking solid waste management service related activities.
At the end of June 2003, there were 607 general government organisations with employment of 4,381 persons undertaking waste management related activities.
The general government sector generated $181.3m in income from the treatment/processing and/or disposal of waste and $61.1m from the collection and transport of waste during 2002-03.
During 2002-03, expenditure by these organisations was $1,244.3m. The major expense items were: contract and subcontract expenses $669.7m (53.8%), wages and salaries $177.8m (14.3%) and fees for the treatment/disposal of waste $154.9m (12.4%).
New South Wales (37.7%) accounted for the highest share of total employment related to solid waste management activity, followed by Queensland (20.7%), Victoria (16.1%) and Western Australia (15.4%).
SUMMARY OF OPERATIONS, Private and public trading sector(a) |
|  |
 |  |  | 1996-97 | 2002-03 | Average annual percentage change 1996-97 to 2002-03 |  |
|  |
| Businesses at end June | no. | r894 | 1,092 | 3.4 |  |
| Employment at end June | no. | r9,107 | 14,386 | 7.9 |  |
| Income |  |  |  |  |  |
 | Collection and transport of waste | $m | r871.1 | 1,595.4 | 10.6 |  |
 | Treatment/processing and/or disposal of waste | $m | r379.8 | 534.1 | 5.8 |  |
 | Other | $m | r177.8 | 554.7 | 20.9 |  |
 | Total | $m | r1,428.7 | 2,684.2 | 11.1 |  |
| Expenses |  |  |  |  |  |
 | Wages and salaries | $m | r309.9 | 611.5 | 12.0 |  |
 | Contract and subcontract expenses for waste management services | $m | r135.7 | 269.8 | 12.1 |  |
 | Fees for the treatment/disposal of waste | $m | r164.6 | 304.6 | 10.8 |  |
 | Other | $m | r680.7 | 1,272.4 | 11.0 |  |
 | Total | $m | r1,291.0 | 2,458.2 | 11.3 |  |
| Operating profit before tax | $m | r137.7 | 226.6 | 8.7 |  |
| Operating profit margin | % | r9.7 | 8.5 | . . |  |
| Industry value added | $m | r686.7 | 1,248.1 | 10.5 |  |
| Owner/drivers at end June(b) | no. | r565 | 948 | 9.0 |  |
|  |
| . . not applicable |
 |  |  |  |  |  |  |
| r revised |
 |  |  |  |  |  |  |
| (a) Caution should be exercised when making comparisons across time. For more information refer to Explanatory Notes paragraphs 23-25. |
 |  |  |  |  |  |  |
| (b) Owner/drivers working on a contract basis for waste management services businesses during the last pay period ending in June 2003, who were not employees of those businesses. |
 |  |  |  |  |  |  |