4102.0 - Australian Social Trends, Sep 2009  
ARCHIVED ISSUE Released at 11:30 AM (CANBERRA TIME) 24/09/2009   
   Page tools: Print Print Page Print all pages in this productPrint All

PEOPLE WITH MORE THAN ONE JOB

This article is also available as a PDF - Download the PDF here

Have your say below

INTRODUCTION

Over half a million Australians have more than one job. These 'multiple job holders' are of particular interest because of concerns about whether they need to work two or more jobs just to 'make ends meet' and whether the long hours sometimes involved are adversely affecting their family and social lives. On the other hand, having more than one job may offer workers more variety and the chance to gain additional skills.

DATA SOURCES AND DEFINITIONS

Most of the information in this article comes from the 2007 Survey of Employment Arrangements, Retirement and Superannuation (SEARS). The information relates to workers aged 15 years and over, excluding those who were contributing family workers in their main job (these workers were not asked about their working patterns and preferences). More information about SEARS can be found in:
Multiple job holders are people who worked in more than one job during the survey reference week, or who held a second job from which they were absent.

Casuals are employees (excluding owner managers of incorporated enterprises) who are not entitled to paid sick or holiday leave (the ABS proxy measure for casuals). (Endnote 1) Other employees are those who are entitled to paid sick and/or holiday leave.

In this article, part-time workers are those who usually worked 1-34 hours each week. Full-time workers are those who usually worked 35 or more hours.

Employees, for the purposes of this article, exclude owner managers of incorporated enterprises. These are people who work in their own incorporated enterprise (a limited liability company). While the ABS generally classes these owner managers as employees, they have more say in their working arrangements than other employees, so are not counted as employees in this analysis.

HOW COMMON IS MULTIPLE JOB HOLDING?

In 2007, 657,000 workers had more than one job (6% of employed people). According to data collected in the Labour Force Survey, the incidence of multiple job holding has not changed much since the 1990s, hovering around 5% to 6%.

PROPORTION OF WORKERS WITH MORE THAN ONE JOB - 1990-2007
Line graph showing proportion of workers with more than one job - 1990-2007 - hovering around 5% to 6%.
Source: ABS Labour Force Survey

WHO ARE MULTIPLE JOB HOLDERS?

While the characteristics of multiple job holders were broadly similar to those of single job holders, there were some differences. In 2007, single job holders were more likely to be men (56%) than women (44%), whereas multiple job holders were more likely to be women (54%) than men (46%).

In 2007, 29% of all multiple job holders (compared with 20% of all single job holders) were women aged 35–54 years; an age when they are more likely to have mortgages and dependent children. A lower proportion of multiple job holders (38% compared with 47% of single job holders) were men under 55 years of age. Multiple job holders often worked part-time hours in their main job but usually worked full-time hours overall.

SINGLE AND MULTIPLE JOB HOLDERS BY AGE AND SEX - 2007
Bar graph, single and multiple job holders by age (15-34, 35-54 and 55 years or over) and sex - 2007
Source: ABS 2007 Survey of Employment Arrangements, Retirement and Superannuation

WHAT SORT OF WORK ARE THEY DOING?

In 2007, most multiple job holders (nearly 93%) had two jobs. Just under 7% had three jobs and very few had four jobs. Since by far the most common multiple job holding arrangement is to have two jobs, this article focuses on the characteristics of the first and second jobs held by multiple job holders.

Employment type

In 2007, just over half of all multiple job holders (51%) worked as employees with paid leave entitlements in their main job (compared with 61% of single job holders). However, only 10% of multiple job holders worked under such arrangements in their second job, and few (5%) did so in both their main and second jobs.

Casual work, which is often part-time work, was fairly common for multiple job holders: 29% of multiple job holders were casual employees in their main job compared with 20% of single job holders. Almost half (47%) of all multiple job holders were casual employees in their second job and nearly one in five multiple job holders (19%) were casual employees in both their main and second jobs.

Women were more likely to be working as casuals than were men. About 62% of female multiple job holders were working as casuals in either their main or second job (more commonly their second job), compared with 49% of men. Similarly, 22% of women were working as casuals in both their jobs, compared with 16% of men.

Owning a business was also common, particularly as a second job. About 20% of multiple job holders were owner managers of a business in their main job and 42% were owner managers in their second job. Almost 12% of multiple job holders were owner managers of businesses in both jobs.

Men were much more likely to be working as owner managers than were women. About 60% of male multiple job holders were working as owner managers in either their main or second job, compared with 42% of women.

EMPLOYMENT TYPE IN MAIN AND SECOND JOBS, MULTIPLE JOB HOLDERS - 2007

Employment type in main job
Employment type in second job
Total(a)

Employee
Owner manager


Casual
Other
Incorporated enterprise
Unincorporated enterprise

'000
'000
'000
'000
'000

Employee
Casual
126.3
*11.9
*7.2
41.8
188.7
Other
142.7
35.7
30.1
118.9
334.5
Owner manager
Incorporated enterprise
13.2
*5.1
19.3
*8.8
46.5
Unincorporated enterprise
23.1
14.2
*7.0
42.5
86.9
Total
305.4
66.8
63.6
212.0
656.5

* estimate has a relative standard error of between 25% and 50% and should be used with caution
(a) Includes around 9,000 people who were contributing family workers in their second job.
Source: ABS 2007 Survey of Employment Arrangements, Retirement and Superannuation

Industry

People whose main job was in the arts and recreation services industry were most likely to have a second job (12%), while those whose main job was in the mining industry were least likely to be working a second job (1%). Both of these industries employ relatively small numbers of people.

The industries in which the majority of multiple job holders held their second job were retail trade (14% of all second jobs), health care and social assistance (12%), education and training (10%), accommodation and food services (9%) and agriculture, forestry and fishing (9%).

Occupation

Multiple job holding is more common for people working in certain occupations. In 2007, people who worked as community or personal service workers in their main job were the most likely to have a second job (9%). People employed as technicians and trades workers (4%) and machinery operators and drivers (4%) were least likely to have a second job.

In their second job, people were most likely to be working as professionals (24% of all second jobs), community and personal service workers (17%) and managers (15%), and least likely to be employed as machinery operators or drivers (3% of all second jobs).

Around 34% of male multiple job holders and 41% of female multiple job holders worked in the same major occupation group in their main and second jobs. However people who worked in the same occupations tended to be employed on a different basis in the two jobs (e.g. as an employee in one job and as a business owner in the other). The proportions of male and female multiple job holders working in both the same major occupation group and same employment type in their main and second jobs were considerably lower (11% for men and 14% for women).

HOW MUCH DO THEY EARN?

Income is often the biggest motivator for people to take on paid employment, and taking on an extra job (or two) offers people the opportunity to earn more, particularly when their main job is part-time.

Around three-quarters (76%) of all single job holders were employees who had stated their income. (Endnote 2) On average, these single job holders usually earned $912 per week in wages and salaries ($24.20 per hour), with men averaging $1,076 per week ($25.70 per hour) and women averaging $728 per week ($22.50 per hour).

In contrast, less then half (43%) of all multiple job holders were employees in both their main and second jobs who had stated their income. (Endnote 3) These multiple job holders received $843 per week from all of their jobs combined (i.e. including wage/salary income from third and fourth jobs). On average, they usually earned $627 per week from their main job, at $23.60 per hour (the men $784 at $25.60, and the women $535 at $22.40).

Equivalised household income is household income adjusted to take account of differing household size and composition. This measure is used to compare living standards. There was no statistically significant difference between the average equivalised gross household income of single job holders ($1,045 per week) and multiple job holders ($1,061 per week).

ARE THEY WORKING LONG HOURS?

In 2007, multiple job holders were more likely to work long hours than other workers. For example, 18% said they usually worked more than 55 hours a week compared with 8% of single job holders. On the other hand, there was also a slightly higher proportion of multiple job holders than single job holders working less than 35 hours per week (34% compared with 30%). As a consequence, the overall median weekly hours worked by multiple job holders was only 3 hours more than single job holders (41 and 38 hours respectively).

Differences in hours usually worked by multiple job holders and single job holders were wider among men than women. For example, the median weekly hours usually worked by male multiple job holders (50) were clearly more than those worked by male single job holders (40). However there was no difference in median weekly hours usually worked by women who had more than one job and women who had just the one job (35 in both cases). Just over half of female multiple job holders usually worked full-time (i.e. at least 35 hours per week in all of their jobs combined). The same proportion of female single job holders usually worked full-time (52%).

Multiple job holders often worked part-time hours in their main job but usually worked full-time hours overall due to the hours they worked in their second job. The median number of hours usually worked in their main job was 30, and 55% of all multiple job holders usually worked part-time hours in their main job. The median weekly hours usually worked in their second job was 10, with virtually all (99%) usually working part-time hours in that job. Almost two-thirds (65%) of all male multiple job holders worked full-time in their main job and part-time in their second job, whereas only 27% of all female multiple job holders did so.

USUAL WEEKLY HOURS IN ALL JOBS, MEN - 2007
USUAL WEEKLY HOURS IN ALL JOBS, WOMEN - 2007
Column graph: usual weekly hours in all jobs for single job holders and multiple job holders, men
Column graph: usual weekly hours in all jobs for single job holders and multiple job holders, women
Source: ABS 2007 Survey of Employment Arrangements, Retirement and Superannuation
Source: ABS 2007 Survey of Employment Arrangements, Retirement and Superannuation

TRAVEL TIME

There was little difference between single and multiple job holders when it came to time spent travelling to and from work. Around 59% of single job holders and a similar proportion of multiple job holders usually spent less than half an hour per day travelling to or from work (i.e. less than half an hour each way), or worked from home.

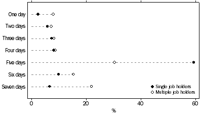
HOW MANY DAYS A WEEK DO THEY WORK?

For both single and multiple job holders, working five days a week was the most common working pattern. However, people with only one job were almost twice as likely as multiple job holders to usually work five days a week (59% compared with 30%). People with more than one job were much more likely to work every day of the week than single job holders (22% and 7%, respectively).

NUMBER OF DAYS USUALLY WORKED PER WEEK - 2007
Dot graph - Number of days usually worked per week - 2007. Single job holders v multiple job holders, one through to seven days per week.
Source: ABS 2007 Survey of Employment Arrangements, Retirement and Superannuation

HOW STRESSED ARE THEY?

Multiple job holders were more likely to feel more time stressed than single job holders, which is not surprising since multiple job holders - especially men - are also more likely to work longer hours. In 2007, 56% of all multiple job holders (53% of the men and 58% of the women) often or always felt rushed or pressed for time compared with 47% of all single job holders (43% of the men and 52% of the women).

The causes of time stress were similar for multiple job holders and single job holders. Just over one-third of multiple job holders who always, often or sometimes felt rushed or pressed for time said trying to balance work and family responsibilities was the main reason for feeling time stress. A further 5% nominated the demands of family as their main reason.

Consistent with feeling more time stressed, multiple job holders were slightly more likely than single job holders to feel that their work and family responsibilities were out of balance. Around 47% of multiple job holders and 42% of single job holders always, often or sometimes felt that their work and family responsibilities were out of balance.

HOW OFTEN FEELS RUSHED OR PRESSED FOR TIME - 2007
HOW OFTEN FEELS WORK AND FAMILY RESPONSIBILITIES ARE OUT OF BALANCE - 2007
Bar graph - single and multiple job holders by how often feels rushed or pressed for time (always, often, sometimes, rarely or never)
Bar graph - single and mulitple job holders by how often feels work and family responsibilities are out of balance (always, often, sometimes, rarely or never)
Source: ABS 2007 Survey of Employment Arrangements, Retirement and Superannuation
Source: ABS 2007 Survey of Employment Arrangements, Retirement and Superannuation

HOW LONG HAVE THEY HAD THEIR SECOND JOB?

In some cases, people may be working in more than one job as a temporary measure, so that any associated time pressures may be of relatively short duration. However in most cases it seems that multiple job holding continues for years, rather than months. In 2007, most multiple job holders had been working in their second job for at least a year (73% had worked in their second job for at least one year, with 37% of multiple job holders having held their second job for at least five years), and most also expected to be working in that second job in another year's time (83%).

MEASURING WORK PREFERENCES

As part of the Survey of Employment Arrangements, Retirement and Superannuation, people were asked about the kind of work pattern they would prefer. For example, if people could choose the number of hours they could work each week, would they rather work fewer hours, about the same hours, or more hours than they do now? People were asked to take account of how this would affect their income when answering these questions.

In this article, working at night refers to working between 7 in the evening and 7 in the morning. Conversely, working during the day refers to working between 7am and 7pm.

ARE THEY HAPPY WITH THEIR WORK PATTERN?

It appears that the working arrangements for many, but not all, multiple job holders match up with their preferences. For example, almost two in every three multiple job holders were happy with the number of hours they were working, and a similar proportion were happy to be working more than one job.

PROPORTION WHO WERE HAPPY WITH THEIR WORKING PATTERNS - 2007
Dot graph - proportion of single and multiple job holders who were happy with their working patterns (number of hours, time of day worked, days of week worked) - 2007.
Source: ABS 2007 Survey of Employment Arrangements, Retirement and Superannuation

In terms of number of hours

About 63% of multiple job holders were happy with the total number of hours they worked. Almost one-quarter (24%), though, would have preferred to work fewer hours, while 13% wanted to work more hours. There was little difference between multiple job holders and single job holders in this respect.

By far the most common reason for wanting to work fewer hours was for social reasons or to have more free time. Just over 40% of the 156,000 multiple job holders who wanted to work less said this was their main reason. The next most common reason was to care for children (12%).

For most of the 85,000 multiple job holders who would have liked to work more hours, the main reason was to earn more income (84%). The most common reasons people didn't work more hours were related to employment (such as the availability of suitable jobs) rather than personal reasons (such as family or study commitments). About 32% of those who wanted to work more said they didn't work more hours mainly because the hours they worked were related to their current job or profession, and another 21% said it was mainly because there were no jobs in their line of work or locality.

PREFERENCES FOR WEEKLY HOURS WORKED - 2007
Dot graph - single and multiple job holders preference for weekly hours worked (fewer, about the same, or more) - 2007
Source: ABS 2007 Survey of Employment Arrangements, Retirement and Superannuation

The time of day they work

Almost 69% of multiple job holders were happy with the time of the day they worked, compared with 81% of single job holders. The lower rate for multiple job holders largely reflects the fact that they're much more likely to usually work at night than people with only one job (58% of multiple job holders compared with 35% of single job holders), and that people usually working at night are much more likely to want to change the time of day they work. About 20% of multiple job holders would have preferred to work during the day only, and 10% wanted to shift to a mix of hours during the day and night.

Almost all the multiple job holders who usually worked during the day only were happy with this arrangement (92%). In contrast, 34% of multiple job holders who usually worked at night would have preferred to work during the day only.

Which days were worked

In 2007, 75% of multiple job holders were happy with the days of the week on which they worked (either weekdays, weekends, or both), a slightly lower proportion than for single job holders (84% of whom were happy with which days they worked). This difference largely reflects the fact that multiple job holders are much more likely to work on weekends only, or both weekdays and weekends, than people with only one job (63% compared with 35%). Almost half of multiple job holders who worked on weekends only would have preferred a different arrangement (44%, compared with 26% of single job holders), and 35% of multiple job holders who worked on both weekdays and weekends would have liked to change this (a similar proportion to that for single job holders).

PREFERENCE FOR WORKING WEEKDAYS OR WEEKENDS - 2007
Dot graph - single and multiple job holders, preference for working weekdays or weekends (those who are happy, those who would prefer a change to work weekdays only, weekends only, and a mix of both) - 2007
(a) Estimate for multiple job holders has a relative standard error greater than 25% and should be used with caution.
Source: ABS 2007 Survey of Employment Arrangements, Retirement and Superannuation

And number of jobs?

Just over 61% of multiple job holders were happy with the number of jobs they worked. About 36% of multiple job holders would have preferred to work only one job without changing the number of hours they worked. In addition, some multiple job holders preferred to cut back to just two jobs and some wanted to work more jobs.

CONCLUSION

In 2007, 6% of employed Australians worked more than one job. On average, the hours worked by multiple job holders per week were not much longer than those worked by single job holders, although 18% of multiple job holders usually worked more than 55 hours a week (a much higher rate than for single job holders). Multiple job holders were a bit more likely to feel rushed or pressed for time than single job holders, and to feel that their work and family responsibilities were out of balance.

ENDNOTES

1. For more information on how casual employment may be defined, see 'Measures of Casual Employment' in Australian Labour Market Statistics, October 2008, cat. no. 6105.0, ABS, Canberra.
2. All data presented in this paragraph describe single job holding employees usually working at least one hour per week with stated usual wage/salary income of at least $1 per week.
3. All data presented in this paragraph describe multiple job holders who were employees in both their main and second jobs, and usually worked at least one hour per week in both their main and second jobs, had stated usual wage/salary income of at least $1 per week in both their main and second jobs, and had stated wage/salary income of at least $1 per week from all of their jobs combined.
Image: Have your say HAVE YOUR SAY

Articles in Australian Social Trends are designed to provide an overview of a current social issue. We aim to present an interesting and easy-to-read story, balanced with appropriate statistics. The articles are written as a starting point or summary of the issues, for a wide audience including policy makers, researchers, journalists and people who just want to have a better understanding of a topic. For people who need further information, we provide references to other useful and more detailed sources.Tell us if we are achieving this aim by emailing - social.reporting@abs.gov.au

Please direct all statistical enquiries to the National Information and Referral Services (NIRS) - client.services@abs.gov.au