Page tools:
Print Page
Print All
| |||||||||||||||||||||||||||||||||||||||||
EXPLANATORY NOTES
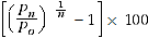
16 The 2006 intercensal error for total capital city Statistical Divisions was -0.53% (-70,400 people) and for the remainder of Australia was -0.30% (-22,300). The proportion of the Australian population estimated to be living in capital city Statistical Divisions in 2006 based on the preliminary estimate was 63.55%, compared with 63.60% based on the final figure, an intercensal error of -0.05 percentage points; the corresponding error for 2001 was +0.41 percentage points. 17 In recognition of the inherent inaccuracy involved in population estimation, in general population figures less than 1,000 in the text and accompanying summary tables are rounded to the nearest ten, figures over 1,000 are rounded to the nearest hundred, and figures over 1 million are rounded to the nearest 10,000 or 100,000. While unrounded figures are provided in the spreadsheets, accuracy to the last digit is not claimed and should not be assumed. Percentage change in population is based on unrounded numbers. INTERPRETATION OF LGA RANKINGS 18 The spreadsheet called 'Population Estimates by Local Government Area, 2001 to 2010' (under the Downloads tab) has LGAs ranked within states and territories according to both ‘largest’ and ‘fastest’ preliminary growth, identifying areas in Australia currently experiencing significant changes in population size. Largest growth is based on the absolute change in population between June 2009 and June 2010, while fastest growth is based on the rate of change in population (that is, the percentage change in population) for the same period. LGAs with populations of less than 2,000 people at June 2009 have been excluded from the fastest growth rankings. 19 Due to the inherent imprecision of small area population estimates and the variation in population size, rankings should be considered indicative of relative growth between LGAs within each state and territory, not definitive. AVERAGE ANNUAL RATE OF GROWTH 20 The average annual growth rate is calculated as a percentage using the formula below, where P0 is the population at the start of the period, Pn is the population at the end of the period and n is the length of the period between Pn and P0 in years. SUB-SLA POPULATIONS 21 Currently Census Collection Districts (CDs) are designed for use in census years for the collection and dissemination of census data. In aggregate, CDs cover the whole of Australia without gaps or overlaps. In census years, one or more CDs form an SLA. 22 To provide some indication of estimated resident population below the SLA level, the ABS prepares population estimates for CDs. These estimates can be aggregated to form population estimates for regions such as Remoteness Areas, and may be used in the calculations of population estimates for SLAs created after the 2006 Census. By this means, population estimates for areas other than those provided in this product may be available on request. 23 Population estimates at the CD level as at 30 June of a census year are compiled by apportioning the population estimate for each SLA across the CDs within the SLA, using census usual residence counts. In subsequent years, the 30 June population estimates for SLAs are apportioned across CDs by taking into account population change implied by indicator data in each CD since the census year. For SLAs involved in boundary changes, each CD may be assigned to one or more SLAs, and for CDs which fall within more than one SLA an estimate is made of the split of the CD's population across SLAs. The CD populations within each SLA are then adjusted (on a pro-rata basis) to add to the SLA population. CENTRE OF POPULATION 24 The centre of population is one measure used to describe the spatial distribution of a population. The method used to calculate centres of population in this product is based on the centroid and population of each CD. To calculate the centre of population for an area, the latitude and longitude coordinates of the centroid of each CD in that area are multiplied by the CD's estimated resident population to obtain weighted latitudes and longitudes for each CD. These are summed to obtain a weighted latitude and longitude coordinate for the area, then divided by the total population of the area to obtain a single latitude and longitude coordinate. 25 Due to the inherent imprecision in small area estimates, the centre of population should be considered indicative only of the distribution of population, and cannot be ascribed to an exact location. The use of different geographical level data could result in different centres of population. SERVICE POPULATIONS 26 Service population estimates are a different measure of population. They take into account seasonal and itinerant populations which are not included in the ERP. More information about the concept of service populations is available in Chapter 6 of Information Paper: Population Concepts, 2008 (cat. no. 3107.0.55.006). Currently the ABS does not produce service population estimates but has published two working papers which investigate the feasibility of producing such estimates: Demography Working Paper 1996/4 - When ERPs aren't Enough (cat. no. 3112.0) and Demography Working Paper 1999/3 - Service Population Pilot Study: An Investigation to Assess the Feasibility of Producing Service Population Estimates for Selected LGAs (cat. no. 3117.0). AUSTRALIAN STATISTICAL AREAS 27 This publication contains data presented according to the 2010 edition of the Australian Standard Geographical Classification (ASGC), which refers to boundaries as defined at 1 July 2010. Under this classification, statistical areas are defined as follows:
28 The ASGC is updated on an annual basis. The appendices of this product provide a summary of SLA and LGA changes between the two latest editions of the ASGC. These appendices contain boundary changes which involve population and also list name changes. They do not include code changes. 29 LGAs are proclaimed by various state and territory government authorities and changes are gazetted throughout the year. Presently, LGAs are used as the base on which SLAs are defined for the ASGC. Because this definition process takes time, some LGAs gazetted during the year leading up to an ASGC edition are not processed in time for inclusion in that edition, and are instead included in a later edition. 30 The Remoteness Structure is defined only in census years and its purpose is to classify CDs which share common characteristics of remoteness into broad geographical regions called Remoteness Areas (RAs). Within a state or territory, each RA represents an aggregation of non-contiguous geographical areas which share common characteristics of remoteness. As characteristics of remoteness are determined in the context of Australia as a whole, not all RAs are represented in each state or territory. The delimitation criteria for RAs are based on the Accessibility/Remoteness Index of Australia (ARIA), which measures the remoteness of a point based on the physical road distance to the nearest Urban Centre in each of the five size classes. 31 Further information concerning statistical areas is contained in Australian Standard Geographical Classification, 2010 (cat. no. 1216.0). CALCULATION OF AREAS AND POPULATION DENSITY 32 The area figures used in this issue are based upon the SLA level of the Australian Standard Geographical Classification, 2010 edition. The areas of the SLAs were calculated using ABS standard Geographic Information Systems software from the digital boundaries of this ASGC edition. Higher level spatial unit area figures are aggregations of the relevant SLA areas. The area of each SLA is included in the SLA spreadsheets accompanying this publication. 33 The population density for an SLA is calculated by dividing the estimated resident population for the SLA by the area of the SLA. The result is expressed as a number of people per square kilometre for each SLA. The population densities of SLAs as at June 2010 are illustrated in the Population Density maps in this product. These maps must be considered as illustrating an approximation of the true distribution of the population. For example, any SLA comprising one or more small population centres surrounded by a large, sparsely populated area will be illustrated with the average population density for the SLA as a whole, so the small population centres will not be apparent. MAPS 34 A complete series of SLA maps is available in Australian Standard Geographical Classification, 2010 (cat. no. 1216.0). ACKNOWLEDGMENT 35 ABS publications draw extensively on information provided freely by individuals, businesses, governments and other organisations. Their continued cooperation is very much appreciated; without it, the wide range of statistics published by the ABS would not be available. Information received by the ABS is treated in strict confidence as required by the Census and Statistics Act 1905. RELATED RELEASES 36 Other ABS releases that are freely available on the ABS website <www.abs.gov.au> and may be of interest to users of this product include:
Australian Demographic Statistics (cat. no. 3101.0) Australian Historical Population Statistics (cat. no. 3105.0.65.001) Births, Australia (cat. no. 3301.0) - SLA-specific datasets Deaths, Australia (cat. no. 3302.0) - SLA-specific datasets Regional Statistics - regional statistics available on the ABS home page Population Estimates: Concepts, Sources and Methods (cat. no. 3228.0.55.001) ADDITIONAL STATISTICS AVAILABLE 37 As well as the statistics included in this and related publications, additional information is available from the ABS website <www.abs.gov.au> by selecting Topics @ a Glance, People and then Demography. 38 The ABS may have other relevant data available on request. Inquiries should be made to the National Information and Referral Service on 1300 135 070. Document Selection These documents will be presented in a new window.
|
|||||||||||||||||||||||||||||||||||||||||
Print Page
Print All