Page tools:
Print Page
Print All
| ||||||||||||||||||||||||||||||||||||||||||||||||||||||||||||||||||||||||||||||||||||||||||||||||||||||||||||||||||||||||||||||||||||||||||||||||||||||||||||||||||||||||||||||||||||||||||||||||||||||||||||||||||||||||||||||||||||||||||||||||||||||||||||||||||||||||||||||||||||||||||||||||||||||||||||||||||||||||||||||||||||||||||||||||||||||||||||||||||||||||||||||||||||||||||||||||||||||||||||||||||||||||||||||||||||||||||||||||||||||||||||||||||||||||||||||||||
Health Status: Health of older people
LEADING CAUSES OF DEATHS FOR PERSONS AGED 65 AND OVER(a)
Source: Unpublished data, Causes of Death collection. Mortality trends and cause of death Improvements in life expectancy are a direct result of the lowering of mortality rates at all ages. Over the last 30 years, improvements in mortality rates for older people were most marked for those aged in their mid to late 60s. Between 1967 and 1997, the death rate for those aged 65-69 decreased by 47% (from 3,120 to 1,660 per 100,000 people), while that for persons aged 85 and over declined by 29% (from 20,580 to 14,610 per 100,000 people).1 The faster decline among the younger age group has been partly due to the dramatic drop in deaths from cardiovascular diseases.3 Over the last decade (1986 to 1996), the overall death rate for persons aged 65 and over (standardised for age composition changes) fell by 12% to 4,532 deaths per 100,000 in 1996. The leading causes of death for people aged 65 years and over did not change over the last decade (1986 to 1996). There were, however, some changes in their ranking, particularly for older men. This was because of substantial declines in deaths from some of these diseases, such as ischaemic heart disease, stroke and diseases of the digestive system. The lower mortality rates for circulatory diseases (which include ischaemic heart disease and stroke) stemmed from reductions in tobacco smoking, improvements in medical treatments and control of some of the cardiovascular risk factors, such as high blood pressure and high cholesterol levels.3 In 1996, ischaemic heart disease remained the leading cause of death for older people (26% of all deaths, down from 31% in 1986). Cancer deaths, the second most common cause, contributed 25% of all deaths - up from 22% in 1986. Older men in 1996 were slightly more likely to die of cancer than of ischaemic heart disease. Between 1986 and 1996, the standardised death rate for breast cancer declined, while the rate for some other cancers increased, and these varied between men and women. For example, the standardised death rate for older men from lung cancer decreased from 409 to 374 per 100,000, while that from prostate cancer increased (245 to 287). During the same period, the standardised death rate for older women from lung cancer increased (from 86 to 114 per 100,000) and that from breast cancer declined (118 to 111). Stroke remained the third leading cause of death overall, although respiratory diseases, as the fourth most common cause, were closing the gap (and had become the third most common cause of death for older men). Dementia, which included Alzheimer's disease, was the fifth leading cause of death. This is a strongly age-related condition and as the proportion of the elderly population aged 85 years and over increases, so will the proportion of deaths from dementia. In 1996, dementia deaths accounted for 3.8% of the deaths of older people compared with 1.7% in 1986. Some of this increase may be because of changes in diagnostic practices.4 There were differences in the most common cause of death depending on the age at which people died. However, the patterns were the same for both men and women. Deaths among those aged 65-74 years were more likely to have resulted from cancer than ischaemic heart disease, whereas deaths among those aged 85 years and over were more likely to have been from ischaemic heart disease than from cancer.
Self-assessed health status Studies suggest that people's perceptions of their own health generally give a good indication of their mental and physical condition and are also predictors of mortality for those aged 65 and over.5 Information collected from the 1995 National Health Survey indicated that 63% of older men and 65% of older women rated their own health as good, very good or excellent. However, proportions with good to excellent self-rated health decreased with age.
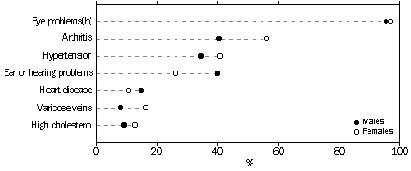
Recent and long-term conditions In 1995, 89% of older people reported experiencing a recent illness, or a recent or recurrent episode of a long-term illness, in the two weeks prior to the survey. Of those who experienced a recent illness only, the most common were fluid problems (11%), headaches (9%), insomnia (9%), dental problems (7%), hypertension (5%) and nerves, tension and nervousness (5%). Most older people (99%) had one or more long-term health conditions. The four most common long-term conditions reported by older people were eye problems - including problems corrected by glasses - (96%), arthritis (49%), hypertension (38%) and ear or hearing problems (32%). However, not all people with these conditions had taken a recent health action for them. For example, very few older people (6% or less) with long-term eye problems and ear or hearing problems had taken a recent health action in relation to these conditions. However, 86% of older people with long-term hypertension had taken some recent action for that condition - commonly medication to keep their blood pressure down. Fewer older people with high cholesterol or arthritis had recent treatment or medication for their condition (44% and 37% respectively). There were some differences over time in the proportions of people with certain health conditions (the combined total of recent and long-term conditions). After allowing for changes in age distribution, there were higher proportions of older people reporting hypertension (41%) and high cholesterol (12%) in 1995, than in 1989-90 (37% and 5% respectively). However, the increase may have been because of factors such as greater public awareness of the importance of regular blood pressure and cholesterol checks to monitor for potential heart disease. There was also a substantial increase in the prevalence of varicose veins in older women (16% compared with 7% in 1989-90). HEALTH RISK FACTORS, FOR PERSONS AGED 65 AND OVER(a), 1989-90 AND 1995
(b) Calculated as reported weight in kilograms divided by the square of reported height in metres. Excludes not known and not stated. (c) Based on reported activity during the two weeks prior to interview. Source: Unpublished data, 1989-90 and 1995 National Health Surveys. Health risk factors There are a number of factors which are known to have an impact on the general health of the population and which can contribute to an increased risk of diseases such as cardiovascular disease and cancer. These factors include cigarette smoking, excessive alcohol and fat consumption, high blood pressure and cholesterol levels, limited exercise and being overweight.6 Between 1989-90 and 1995, the main changes in risk behaviour by older people were a reported reduction in cigarette smoking from 17% to 14% for men, and from 11% to 9% for women, and an increase in the proportion of people who reported being overweight or obese (up from 45% to 48% for men, and from 38% to 43% for women). Increasing overweight and obesity levels in the community could slow the current reduction in cardiovascular mortality. More objective measures of body mass available from the 1995 National Nutrition Survey indicated that a larger proportion of older men were overweight or obese (71% of men and 62% of women) than was revealed by the self-reporting measures obtained from the 1995 National Health Survey. For all risk factors shown, except participation in exercise, older women demonstrated lower levels of risk behaviours than older men. HEALTH ACTIONS TAKEN(a) BY PERSONS AGED 65 AND OVER, 1995
(b) Includes other health actions. People may undertake more than one type of action, therefore components may not add to total. Source: Unpublished data, 1995 National Health Survey. Recent health actions Most older people spend some time taking care of their health, whether it is preventative or on-going care, or attention to a specific health problem. In 1995, more than nine out of ten older people took some type of health-related action in the two weeks prior to the survey. The most common health-related actions taken were the use of medication - excluding vitamins and herbal medicines - (92%), and visiting the doctor (41%). Of all older people, 28% took vitamins or minerals and 13% used natural or herbal medications. Older women were about as likely as older men to visit the doctor or take medication, but more likely to take vitamins or minerals (31%) or natural or herbal medications (15%) than men (25% and 10% respectively). DISABILITY STATUS OF PERSONS AGED 65 AND OVER, 1998
Source: Unpublished data, 1998 Survey of Disability, Ageing and Carers. Trends in disability Older people with disabilities have particular health care needs and are more likely to need assistance (see Australian Social Trends 1995, Older people with disabilities). As this care will need to be provided by others, there is interest in the effect increasing longevity may have on the prevalence of disability. Disability rates in Australia have been rising since data first became available in 1981.7 In 1998, more than half of men and women aged 65 years and over had a disability (54% each). Most of these also had a core activity restriction (87% and 93% respectively) which meant that they had difficulty with one or more daily tasks such as bathing, dressing, eating, getting out of a chair or bed, walking, using public transport or communicating with others. Of core activity restrictions, mobility restriction was the most common type of restriction for older men and women (39% and 46% respectively), followed by self-care restriction for women (27%) and communication restriction for men (21%). There were higher proportions of women than of men for self care and mobility restrictions. This is partly because women are more highly represented in the oldest age group (85 and over), a group whose disabilities tend to be more serious. Both disability and core activity restriction increase with age, so there was a greater proportion of those aged 85 years and over who felt they needed assistance (92%) than of those aged between 65 and 74 years (32%). Apparent trends in the United States of America during the 1980s suggest that disability-free life expectancy has increased.8 In this country, at 65 years of age the number of remaining years of life expected to be disability-free has remained much the same for men (6.7 years in 1988 compared to 6.6 years in 1998, when adjusted to 1988 definitions of disability). For women, there has been a slight increase, from 8.6 years to 9.0 years. Overall, at birth, boys in 1998 could expect to have 58 years of disability-free life, and girls 62 years.9 Endnotes 1 Australian Bureau of Statistics, Deaths, Australia, cat. no. 3302.0, various years, ABS, Canberra. 2 Australian Bureau of Statistics 1997, Australian Demographic Trends 1997, cat. no. 3102.0, ABS, Canberra. 3 Australian Institute of Health and Welfare 1998, Australia's Health 1998, AIHW, Canberra. 4 Australian Bureau of Statistics 1996, Causes of Death, Australia, 1995, cat. no. 3303.0, ABS, Canberra. 5 McCallum, J. et al. 1994, 'Self-rated health and survival: a 7-year follow-up study of Australian elderly', in American Journal of Public Health, vol. 84, 1994, pp.1100-1105. 6 Australian Institute of Health and Welfare and Commonwealth Department of Health and Family Services 1997, First Report on National Health Priority Areas 1996, AIHW cat. no. PHE 1, AIHW and DHFS, Canberra. 7 Australian Bureau of Statistics 1999, Disability, Ageing and Carers: Summary of Findings, Australia, 1998, cat. no. 4430.0, ABS, Canberra. 8 Crimmins E.M., Saito Y. and Ingegneri D. 1997, Trends in disability-free life expectancy in the United States, 1970-90 in NUPRI reprint series no. 69, January 1998, NUPRI, Tokyo. 9 Australian Bureau of Statistics, 1998 Survey of Disability, Ageing and Carers (unpublished data).
|
||||||||||||||||||||||||||||||||||||||||||||||||||||||||||||||||||||||||||||||||||||||||||||||||||||||||||||||||||||||||||||||||||||||||||||||||||||||||||||||||||||||||||||||||||||||||||||||||||||||||||||||||||||||||||||||||||||||||||||||||||||||||||||||||||||||||||||||||||||||||||||||||||||||||||||||||||||||||||||||||||||||||||||||||||||||||||||||||||||||||||||||||||||||||||||||||||||||||||||||||||||||||||||||||||||||||||||||||||||||||||||||||||||||||||||||||||
Print Page
Print All