1350.0 - Australian Economic Indicators, Apr 1999  
ARCHIVED ISSUE Released at 11:30 AM (CANBERRA TIME) 31/03/1999   
   Page tools: Print Print Page
  • About this Release
  • Seasonal Influences on Retail Trade for December 1998 (Feature Article)

Feature Article - Seasonal Influences on Retail Trade for December 1998

INTRODUCTION

The December 1998 release of Retail Trade, Australia (Cat. no. 8501.0) recorded growth for the last six months of 1998 as follows:

Table 1. RETAIL TURNOVER ESTIMATES, AUSTRALIA, PERCENTAGE CHANGE FROM PREVIOUS MONTH

Original
Seasonally Adjusted
Trend Estimates

1998
    July
7
2.6
0.6
    August
-3.2
-0.8
0.6
    September
1.6
0.8
0.5
    October
7.2
1
0.3
    November
-1.2
0.3
0.2
    December
27.8
-2.1
0.1


Some economic commentators queried the seasonally adjusted estimate for December 1998. Their main concerns can be summarised as follows:
  • the ABS’s seasonal adjustment process is not sophisticated enough to reflect changes in shopping patterns,
  • the trading day adjustment is not appropriate for December because Christmas shopping is undertaken regardless of the day of the week Christmas falls on, and
  • the seasonally adjusted estimates for December will be revised upwards.

The purpose of this information paper is to address these concerns and to test some of the resulting hypotheses about the Retail turnover estimates.

Estimates of Retail turnover in this paper are obtained from the monthly Retail Business Survey which includes most retailing industries (the most notable exceptions being motor vehicles, boats and service stations) and some selected ‘service’ industries—hotels, clubs, cafes, restaurants. Typically, in original terms the Food retailing and Hospitality and services industry groups contribute over 50% of total Retail turnover. The Household good retailing, Other retailing and Department stores groups contribute about another 30% to total turnover with Clothing and soft goods, and Recreational goods retailing making up the remainder.

All employing businesses with at least one retail establishment are included in the scope of the survey. All ‘large’ businesses are included in the survey every month and these businesses contribute approximately 54% of the total turnover estimate. The remainder of the estimate comes from a sample of approximately 4,400 small to medium sized businesses.

Background material in this paper has been drawn from several feature articles previously released in Australian Economic Indicators (Cat. no 1350.0):
  • A guide to interpreting Time Series (January 1995)
  • Seasonal and Trading Day Influences on Retail Turnover (April 1996)
  • How does Father’s Day affect Retail Trade? (December 1996).


SEASONAL ADJUSTMENT - AN OVERVIEW

The aim of seasonal adjustment is to remove systematic calendar-related variation from the original series. For the Retail turnover series this variation is the combination of two elements, namely seasonal variation and trading day variation. When estimates of these influences are removed from the original series the seasonally adjusted series is produced. It, in turn is composed of the underlying trend and the frequently changing irregular component.

In estimating seasonal and trading day variation, the ABS has to balance the requirement to make the adjustments as statistically accurate as possible by basing them on a large sample of observations from a long time series, and making the adjustments as relevant as possible to emerging patterns by giving greater weight to more recent activity.

Balancing these requirements gives adjustments that, as shown in the following sections, appear to appropriately reflect shopping patterns changing as a result of influences like the deregulation of shopping hours.


HAVE SEASONAL PATTERNS FOR NOVEMBER, DECEMBER AND JANUARY BEEN CHANGING?

It is generally accepted that some shopping activity has moved from pre-Christmas to the post-Christmas sales in recent years. It has been claimed that the ABS seasonal factors for Retail turnover have not adequately reflected this change.

The following chart shows the seasonal factors applied to retail turnover for November, December and January over the last 36 years, as estimated with data to June 1998, at the last annual re-analysis. The dots in the chart represent the original data after the trend and trading day variation have been removed, or expressed another way, the dots represent the combined influences of seasonal and irregular activity for each month. The continuous lines represent the estimated seasonal factors that are applied in the seasonal adjustment process. High seasonal activity is shown when the values are higher than the base line value of 1.0, and low seasonal activity is shown when values are lower than 1.0.

1. SEASONALS AND SEASONAL—IRREGULARS, For November, December and January
Graph: Seasonals and Seasonal - Irregulars, for November, December and January


A point to note in chart 1 is that generally the scatter of the dots is confined to a relatively tight range for each month. This pattern indicates that little relative irregularity is present and increases confidence in using the resulting seasonal factors. A second point to note is that the drift in the dots indicates that some change in seasonal patterns has occurred in December and January, and the corresponding drift in the seasonal factors indicates that it is being reflected in the seasonal adjustment factors.

The seasonal adjustment process for December 1998 resulted in the original monthly growth estimate of 27.8% becoming a seasonally adjusted –2.1%. The adjustment for seasonal variation alone accounted for at least 23.2 percentage points of the total seasonal adjustment of 29.9 percentage points. Based on the above chart there is no reason to suppose there is any problem with the adjustment for seasonal variation. The remaining part of the seasonal adjustment is attributed to trading day variation.


IS THERE A TRADING DAY EFFECT IN DECEMBER?

Trading day variability arises because of the frequency of high and low activity days and because of the length of the month. Some commentators have suggested that there is no trading day variation in the month of December because consumer buying patterns in this month do not follow the pattern of high or low activity shopping days displayed in other months. If this were the case, there should be no trading day variability apparent in chart 2 below.

2. DECEMBER TRADING DAY—IRREGULARS,
Grouped by Day-of-Week Composition
Graph: December Trading Day - Irregulars, grouped by Day-of-Week Composition


The dots in chart 2 represent, for all Decembers over the past 37 years, the original data with the trend and seasonal variation removed, or expressed another way, they represent the influence of trading day variation, if it exists, and the irregularity. For ease of interpretation the dots have been grouped so as to exhibit any systematic behaviour for Decembers having the same week day compositions. That is, there are seven groups of dots reflecting the seven different ways in which December’s week day composition may differ. The first group represents Decembers that contain five Mondays, Tuesdays and Wednesdays, and four of each of the other days of the week. The second group represents Decembers that contain five Tuesdays, Wednesdays, and Thursdays, and four of the remaining days of the week, and so on.

If there is no trading day variation in December all the dots in chart 2 would be scattered randomly about the baseline marked on the chart at 1.0. This would indicate that after removing from the original data the trend and seasonal variation, only irregular variability remained. Any systematic tendency of the dots to be away from the baseline of 1.0 indicates the presence of trading day variability. A scatter of the dots above the baseline indicates high trading day activity, and a scatter of the dots below the baseline indicates low trading day activity.

The other component of trading day variability is length of month. If all days of the week are regarded as no more or less important with regard to trading activity than any other day of the week, the scatter of the dots for December, which is 31 days long, would cluster about the 1.0185 level. [For a 30 day month with all days of the week regarded as equally important for trading activity, the dots would cluster about the 0.9856 level.] It is evident from chart 2 that December generally exhibits trading day variability over and above that explained by length of the month.

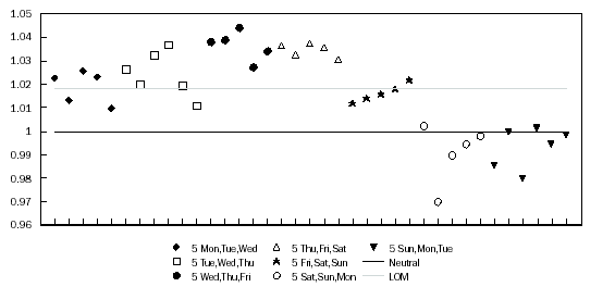
Accepting that the composition of days in December does contribute to trading day variability, it is then necessary to determine the degree of trading day activity in December 1998 in order to reconcile the December 1998 original turnover estimate to the seasonally adjusted estimate. This is examined in chart 3. As in chart 2, the dots represent the original data with the trend and seasonal variation removed, or expressed another way, they represent the influence of trading day variation, if it exists, and the irregularity for all 31 day months containing five Tuesdays, Wednesdays and Thursdays. The solid line passing through the dots represents the trading day adjustment factor used in the seasonal adjustment process for months of this type of day pattern.

3. ALL 31 DAY MONTHS WITH FIVE TUESDAYS, WEDNESDAYS AND THURSDAYS
Graph: All 31 Day Months with five Tuesdays, Wednesdays and Thursdays


Note that all 31 day months containing five Tuesdays, Wednesdays and Thursdays are used to calculate the trading day adjustment because there are too few occurrences of Decembers with this type of day pattern (i.e. 1964, 1970, 1981, 1987 and 1992). Basing an adjustment just on these five occurrences, and giving equal weight to each, would be unwise because it would be expected that shopping patterns would change between 1964 and 1998. The next December of this type occurs in 2009.

Chart 3 shows the extent to which December’s trading day variability differs to other months which have the same composition of the days of the week. It can be seen from the December months highlighted in chart 3 that Decembers have not been atypical compared to other months. December 1964, 1970 and 1981 fall close to the line of ‘best fit’. December 1987 is slightly above the line and December 1992 falls below the line of ‘best fit’, but both are within the range of the dots’ previous variability.

The estimation of the trading day adjustment factors used in the December 1998 publication was made with data available to June 1998. Chart 3 indicates that these factors were appropriate given the data available. When the December 1998 observation is added to chart 3, a noticeable deviation from the trading day adjustment factor path is observed, although larger deviations have been observed for months of this type of day pattern. This latest deviation may or may not indicate a change to the trading day variability, but this is not possible to estimate presently on the basis of one observation that also contains a degree of irregularity. If the December 1998 observation were included in the estimation of the seasonal and trading day adjustment factors, the seasonally adjusted movement for December 1998 would become –1.1%. This estimate, and others, would be subject to further revision when subsequent data became available.

Charts 4 and 5 are similar in concept to chart 3, and are included to assist assessment of the appropriateness of the trading day adjustment factors used for the months of November 1998 and January 1999. The circles in chart 4 represent Novembers and in chart 5 represent Januarys.

4. ALL 30 DAY MONTHS WITH FIVE SUNDAYS AND MONDAYS
Graph: All 30 Day months with five Sundays and Mondays


5. ALL 31 DAY MONTHS WITH FIVE FRIDAYS, SATURDAYS AND SUNDAYS
Graph: All 31 day months with five Fridays, Saturdays and Sundays


In summary, the evidence shown in chart 2 indicates that there generally exists a trading day effect in December data. It may be of interest to note that had it been assumed there was no trading day variability in December 1998 other than a length of month effect, the seasonally adjusted movement for December 1998 would none the less have been similar to the published percentage movement.


REVISIONS TO SEASONALLY ADJUSTED SERIES

One of the main features of the seasonal adjustment process is that all adjustments are based on historical data with appropriate consideration given to the requirement for statistical accuracy and relevance as mentioned in Seasonal Adjustment - An Overview.

The method used to estimate the seasonal adjustment factors is described generally in the Australian Economic Indicators article ‘Seasonal and Trading Day Influences on Retail Turnover’, April 1996. In brief, the estimation of evolving or slowly changing seasonal variation (as seen in chart 1) and trading day variation, necessarily leads to revision of the most recent seasonal adjustment factors as subsequent data becomes available. Also, revision of the original series will generally lead to revision of the seasonally adjusted series.

Currently, seasonal adjustment factors are reanalysed once a year with revised data released in the July issue of Retail Trade, Australia. The ABS advises clients that the seasonally adjusted series can be revised for at l least five years. This is one of the reasons that the ABS recommends analysis be undertaken on the trend series, which generally is only subject to noticeable revision for up to six months.