1345.4 - SA Stats, May 2008  
ARCHIVED ISSUE Released at 11:30 AM (CANBERRA TIME) 27/05/2008   
   Page tools: Print Print Page Print all pages in this productPrint All

LITERACY OF SOUTH AUSTRALIANS


INTRODUCTION

In today's ever changing society, literacy extends far beyond being able to read and write. It involves understanding and being able to use information to function effectively in society, using skills such as decision making, critical thinking and reasoning. Having adequate literacy skills allows individuals to deal with a range of situations they may be faced with in everyday life. Literacy skills are also essential to be able to adapt to change, whether it be in the workplace, at home, or in society.

The 2006 Adult Literacy and Life Skills Survey (ALLS) (cat. no. 4228.0) collected data on the knowledge and skills of Australians aged 15 to 74 across four literacy domains: prose literacy; document literacy; numeracy; and problem solving. Literacy was measured on a scale of 1 to 5, with level 1 being the lowest measured level of literacy and level 3 being regarded as the 'minimum required for individuals to meet the complex demands of everyday life and work in the emerging knowledge-based economy' (Statistics Canada and OECD, 2005). Those who are assessed with literacy skills of level 3 or above are considered to have adequate literacy skills while those with literacy skills at level 1 or 2 are considered to have inadequate literacy skills.


LITERACY OF SOUTH AUSTRALIANS

Of the four literacy domains, South Australians fared poorest on problem solving skills. Only 30% of South Australians were assessed as having adequate problem solving skills. Approximately 55% were assessed as having adequate prose literacy, where participants were tested on their ability to understand and use information contained in various types of written material such as newspapers and brochures. Similar results were seen for document literacy (54%), where participants were required to use transportation timetables and maps, and numeracy (49%). No significant differences were identified between males and females across each of the literacy domains.

As shown in the graph below, the proportion of South Australians assessed as having adequate literacy skills in each of the domains was very similar to the proportions for Australia.

PROPORTION OF PEOPLE AT SKILL LEVEL 3 OR ABOVE
Graph: Proportion of people at skill level 3 or above
Source: Adult Literacy and Life Skills Survey, Summary Results, Australia 2006 (cat. no. 4228.0)


COMPARISONS BETWEEN PROSE LITERACY AND DOCUMENT LITERACY IN 1996 AND 2006

Comparing results from the 1996 Aspects of Literacy Survey (cat. no. 4226.0), where only prose literacy and document literacy are comparable with ALLS data, there appears to be little change in the literacy levels of South Australians. In 1996, 56% of South Australians had adequate prose literacy skills and ten years later 55% had adequate skills in this domain. The proportion of South Australians with adequate document literacy skills also remained steady over the 10 year period (55% in 1996 and 54% in 2006).

PROPORTION OF SOUTH AUSTRALIANS BY LITERACY SKILL LEVEL, Prose literacy
Graph: Proportion of South Australians by literacy skill level, prose literacy
Sources: Adult Literacy and Life Skills Survey, Summary Results, Australia 2006 (cat. no. 4228.0), Aspects of Literacy: Profiles and Perceptions, 1996 (cat. no. 4226.0)


PROPORTION OF SOUTH AUSTRALIANS BY LITERACY SKILL LEVEL, Document literacy
Graph: Proportion of South Australians by literacy skill level, document literacy
Sources: Adult Literacy and Life Skills Survey, Summary Results, Australia 2006 (cat. no. 4228.0), Aspects of Literacy: Profiles and Perceptions, 1996 (cat. no. 4226.0)


Age group comparisons

The 2006 Adult Literacy and Life Skills Survey was designed to provide reliable estimates at the national level and for each state and territory. Unfortunately, when comparing data between 1996 and 2006 for specific age groups in South Australia, the sample sizes are not large enough to result in observed changes in the estimate being statistically significant. Therefore at this level, it cannot be determined whether there are any real differences between age groups. As a result, data has been reported here at the Australia level.

There were statistically significant changes in the prose literacy skills of older Australians between 1996 and 2006. The proportion of Australians aged 55 to 64 who had adequate prose literacy increased from 35% in 1996 to 45% in 2006. Similarly, the proportion of Australians aged 45 to 54 years who had adequate prose literacy increased from 51% to 57% during this same period.

PROPORTION OF AUSTRALIANS AT SKILL LEVEL 3 OR ABOVE BY AGE GROUPS, Prose literacy

Sources: Adult Literacy and Life Skills Survey, Summary Results, Australia 2006 (cat. no. 4228.0), Aspects of Literacy: Profiles and Perceptions, 1996 (cat. no. 4226.0)


With document literacy, there were statistically significant changes in some of the older age groups. The proportion of Australians aged 55 to 64 who had adequate document literacy increased from 33% in 1996 to 41% in 2006. Similarly, the proportion of Australians aged 45 to 54 years who had adequate document literacy increased from 50% to 55% during this same period.


PROPORTION OF AUSTRALIANS AT SKILL LEVEL 3 OR ABOVE BY AGE GROUPS, Document literacy

Sources: Adult Literacy and Life Skills Survey, Summary Results, Australia 2006 (cat. no. 4228.0), Aspects of Literacy: Profiles and Perceptions, 1996 (cat. no. 4226.0)


Age cohort changes

When comparing age cohorts over the 10 year interval between 1996 and 2006 in Australia (for example those aged 15 to 24 years in 1996 with those aged 25 to 34 years in 2006) it is evident that literacy levels decreased with age. The exception to this was the 25 to 34 year age group, which had higher levels of literacy than the 15 to 24 year age group.

There were notable declines in the proportion of Australians with adequate prose and document literacy skills when comparing those aged 55 to 64 years in 1996 to those aged 65 to 74 years in 2006. For example, the proportion of Australians aged 55 to 64 years in 1996 with adequate document literacy skills was 33%. In 2006, only 21% of those aged 65 to 74 years had adequate document literacy. A similar trend was also observed for prose literacy.


PROPORTION OF AUSTRALIANS AT SKILL LEVEL 3 OR ABOVE BY AGE GROUPS, Cohort changes

Age groups

Prose literacy

Document literacy

15-24 in 1996
59
60
25-34 in 2006
62
65
25-34 in 1996
61
62
35-44 in 2006
61
60
35-44 in 1996
62
61
45-54 in 2006
57
55
45-54 in 1996
51
50
55-64 in 2006
45
41
55-64 in 1996
35
33
65-74 in 2006
27
21

FACTORS ASSOCIATED WITH LITERACY LEVELS

Labour force status

In 2006, a greater proportion of employed people had adequate document literacy skills (64%) than those who were not employed (32%) (comprises those who were unemployed and those not in the labour force). A similar pattern was also seen when looking at prose literacy, numeracy and problem solving.

PROPORTION OF SOUTH AUSTRALIANS AT SKILL LEVEL 3 OR ABOVE, Labour force status
Graph: Proportion of South Australians at skill level 3 or above, labour force status
Note: 'Not employed' includes 'Unemployed' and 'Not in the labour force'
Source: Adult Literacy and Life Skills Survey: State and Territory Tables, 2006 (cat. no. 4228.0.55.004)


In general, a slightly higher proportion of people who worked full-time had adequate literacy skills than those working part-time. This was observed across all four literacy domains, with the difference varying between 3 and 11 percentage points.

Income

Personal median gross weekly income increased with each level of literacy attainment. For example, in the prose literacy domain, the median income for those attaining scores at level 1 was $260 per week in 2006 whereas those with scores at level 4/5 have a median income of $922 per week.

MEDIAN PERSONAL GROSS WEEKLY INCOME FOR SOUTH AUSTRALIANS, By prose skill level
Graph: Median personal gross weekly income for South Australians, by prose skill level
Source: Adult Literacy and Life Skills Survey: State and Territory Tables, 2006 (cat. no. 4228.0.55.004)


Educational attainment qualifications

Literacy levels increase as the level of educational attainment increases. People who have attained a qualification are more likely to have adequate literacy than people who do not have a qualification. More than two thirds (67%) of those who had completed a qualification were assessed as having adequate prose literacy skills, compared to 41% of those who had not completed a qualification. This pattern was also observed for document literacy, numeracy and problem solving.

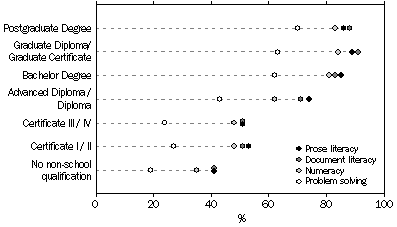
Further to this, the proportion of those with adequate literacy skills increased with the level of highest educational attainment. A higher proportion of people who had completed a non-school qualification at the 'Bachelor Degree' or above had adequate skills compared to those who had completed a qualification at the 'Certificate III/IV' or below.

PROPORTION OF SOUTH AUSTRALIANS AT SKILL LEVEL 3 OR ABOVE, Level of non-school qualification
Graph: Proportion of South Australians at skill level 3 or above, level of non-school qualification
Source: Adult Literacy and Life Skills Survey: State and Territory Tables, 2006 (cat. no. 4228.0.55.004)


CONCLUSION

Only 30% of South Australians aged 15 to 74 were assessed to have adequate problem solving skills in the 2006 Adult Literacy and Life Skills Survey. Further to this, 45% of South Australians were assessed to not have the prose literacy skills required to cope with situations they may be faced with in everyday life. There appears to be little change in the prose literacy and document literacy skills of South Australians in the last 10 years. Those with adequate literacy skills are more likely to be employed, have higher income and higher educational attainment than those with inadequate literacy skills.


REFERENCES:

ABS, Adult Literacy and Life Skills Survey, Summary Results, Australia 2006 (cat. no. 4228.0)
ABS Adult Literacy and Life Skills Survey: State and Territory Tables, 2006 (cat. no. 4228.0.55.004)
ABS, Aspects of Literacy: Profiles and Perceptions, 1996 (cat. no. 4226.0)
Statistics Canada and OECD 2005, 'Learning a Living: First results from the Adult Literacy and Life Skills Survey',Ottawa and Paris