4509.0 - Crime and Safety, Australia, Apr 2002  
ARCHIVED ISSUE Released at 11:30 AM (CANBERRA TIME) 20/06/2003   
   Page tools: Print Print Page Print all pages in this productPrint All

SUMMARY OF FINDINGS


INCIDENTS OF CRIME OVERVIEW

All households

There were 7,479,200 households in Australia in April 2002. In the 12 months prior to the survey it is estimated that:

  • 354,000 (4.7%) households were victims of at least one break-in to their home, garage or shed
  • 254,600 (3.4%) households found signs of at least one attempted break-in
  • 553,500 (7.4%) households overall were victims of either a break-in or an attempted break-in
  • 134,300 (1.8%) households had at least one motor vehicle stolen.

In total, 665,400 households were victims of these selected household crimes. That is, an estimated 8.9% of households experienced at least one of these crimes in the 12 months prior to the survey.

Persons aged 15 years and over

There were 15,215,100 persons aged 15 years and over in Australia in April 2002. In the 12 months prior to the survey it is estimated that:
  • 95,800 (0.6%) persons were victims of at least one robbery
  • 717,900 (4.7%) persons were victims of at least one assault
  • 33,000 (0.2%) persons aged 18 years and over were victims of at least one sexual assault.

In total 811,700 persons aged 15 years and over were victims of these selected personal crimes. That is, an estimated 5.3% of persons aged 15 years and over experienced at least one of these crimes in the 12 months prior to the survey.

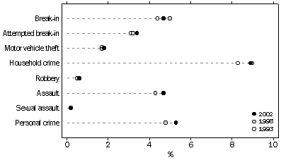
VICTIMS OF HOUSEHOLD/PERSONAL CRIME
Graph 1 - Victims of household/personal crime



Changes in victimisation over time

In 2002 the rate of household crime was estimated at 8.9%. Comparisons with 1998 and 1993 surveys show very small changes in the prevalence of victimisation for these offences.

Though small, the changes in the prevalence rates for personal crimes between the 1998 and 2002 national surveys were:
  • for assault, the victimisation prevalence rate increased from 4.3% in 1998 to 4.7% in 2002
  • for total personal crime the victimisation prevalence rate increased from 4.8% in 1998 to 5.3% in 2002.

CRIME VICTIMISATION RATES
Graph 2 - Crime victimisation rates



STATES AND TERRITORIES

Household experience of crime varied across states and territories. The lowest level of victimisation was experienced in Victoria, where 7.0% of households experienced at least one of the selected household crimes. The highest level of victimisation was experienced in the Northern Territory, where an estimated 20.3% of households experienced at least one of the selected household crimes in the 12 months prior to the survey.

Household crime victimisation prevalence rates remained stable in most states and territories across the 1993, 1998 and 2002 national surveys. Significant change in the prevalence rate of household crime occurred only in:
  • Western Australia where it fell from 14.3% in 1998 to 10.4% in 2002
  • the Northern Territory where it increased from 11.3% in 1993 and 1998 to 20.3% in 2002.

HOUSEHOLD CRIME VICTIMISATION RATES
Graph 3 - Household crime victimisation rates



The experience of individuals also varied across states and territories. The lowest level of victimisation was experienced in Queensland, where 4.7% of persons aged 15 years and over experienced at least one of the selected personal crimes. The highest level of victimisation was experienced in the Northern Territory, where an estimated 8.1% of persons aged 15 years and over experienced at least one of the selected personal crimes in the 12 months prior to the survey.

Personal crime victimisation prevalence rates varied slightly in most states and territories across the 1998 and 2002 national surveys. Significant change in the prevalence rate of personal crime occurred only in:
  • New South Wales where it increased from 4.6% in 1998 to 5.7% in 2002
  • Victoria where it increased from 4.2% in 1998 to 5.2% in 2002
  • the Australian Capital Territory where it decreased from 7.7% in 1998 to 5.9% in 2002.

PERSONAL CRIME VICTIMISATION RATES
Graph 4 - Personal crime victimisation rates



HOUSEHOLD CRIME

Break-in

In 2002 there were an estimated 456,300 (6% incidence rate) incidents of break-in recorded, with 82% of victim households experiencing a single break-in.

The break-in victimisation prevalence rate for Australia was 4.7% in 2002 and this showed little change compared to the 1998 survey. Likewise break-in victimisation prevalence rates for most states and territories remained fairly stable from 1998 to 2002. Exceptions were:
  • an increase in the Northern Territory from 6.3% in 1998 to 13.5% in 2002
  • a decrease in Western Australia from 7.5% in 1998 to 6.2% in 2002.

BREAK-IN VICTIMISATION RATES
Graph 5 - Break-in victimisation rates



Approximately 93% of households that experienced a break-in considered that the most recent incident was a crime and 75% had reported the incident to the police.

Attempted break-in

In 2002 there were an estimated 428,500 (6% incidence rate) incidents of attempted break-in recorded.

Attempted break-in victimisation rates for most states and territories remained relatively stable from 1998 to 2002. Significant changes were:
  • an increase in Queensland from 2.9% in 1998 to 3.8% in 2002
  • an increase in the Northern Territory from 5.0% in 1998 to 9.5% in 2002
  • a decrease in Western Australia from 6.0% in 1998 to 4.4% in 2002.

Approximately 84% of households that had experienced an attempted break-in considered that the most recent incident was a crime and 31% had reported the incident to the police.

Motor vehicle theft

In 2002 there were an estimated 146,400 (2% incidence rate) incidents of motor vehicle theft recorded, with 93% of victim households experiencing one motor vehicle theft.

Motor vehicle theft victimisation rates for most states and territories remained relatively stable from 1998 to 2002. Significant changes were:
  • an increase in South Australia from 1.2% in 1998 to 1.8% in 2002
  • an increase in the Austalian Capital Territory from 1.3% in 1998 to 2.3% in 2002
  • a decrease in Western Australia from 2.4% in 1998 to 1.0% in 2002.

Approximately 97% of households that had experienced a motor vehicle theft considered that the most recent incident was a crime and 95% had reported the incident to the police.


PERSONAL CRIME

Robbery

There were an estimated 154,100 (1% incidence rate) incidents of robbery recorded in the survey with 74% of victims experiencing a single incident of robbery.

Robbery victimisation rates for most states and territories varied from 1998 to 2002, with:
  • an increase in Victoria from 0.3% in 1998 to 0.5% in 2002
  • a decrease in Tasmania from 0.6% in 1998 to 0.3% in 2002
  • a decrease in the Northern Territory from 1.0% in 1998 to 0.1% in 2002
  • a decrease in the Australian Capital Territory from 0.6% in 1998 to 0.2% in 2002.

Some 64,700 or 68% of robbery victims were males. Young males were most likely to experience this crime, with 21,200 males aged 15 to 19 years reporting being victims - this is 22% of all persons who were victims of robbery. Males aged 20 to 24 years were a further 14,900 or 16% of all victims of robbery.

Robberies occurred in a variety of locations, with some 27,400 or 29% of victims indicating that the most recent incident had occurred in the street or other open land with the next most often reported location being in a shopping centre (14,300 or 15%).

Most victims (67,100 or 70%) indicated that no weapon was used in the most recent robbery and 63,100 or 66% of victims were not injured in the most recent incident.

Victims of robbery indicated that 77,000 or 80% of offenders were male. An estimated 54,200 or 57% of victims indicated that there were two or more offenders and 73,600 or 77% did not know the offender in the most recent incident. Approximately 90% of victims of robbery considered the most recent incident a crime but only 50% of victims told police about the incident.

Assault

A total of approximately 2,534,500 (17% incidence rate) incidents of assault were experienced by victims of assault with 366,900 (51%) of these victims indicating that they had experienced more than one assault in the 12 months prior to the survey.

Assault victimisation rates for most states and territories remained relatively stable from 1998 to 2002, with significant changes being:
  • an increase in New South Wales from 3.9% in 1998 to 4.8% in 2002
  • an increase in Victoria from 3.8% in 1998 to 4.7% to 2002
  • a decrease in the Australian Capital Territory from 6.9% in 1998 to 5.8% in 2002.

ASSAULT VICTIMISATION RATES
Graph 6 - Assault victimisation rates



Just over half the victims of assault were males (392,200 or 55%). Both males and females aged 25 to 34 years had the highest incidence rates, with 22% of male victims and 28% of female victims in this age group. Persons aged 65 years and over were least likely to be victims of assault, with this age group making up approximately 3% of male victims and 2% of female victims of assault.

Some 620,600 or 86% of victims reported that no weapon was used and 523,900 or 73% of victims were not injured in the most recent incident.

The most frequently reported location of the most recent incident was the victim's home, with 24% of males and 47% of females indicating that this was where the most recent assault had taken place. Some 489,100 or 68% of victims indicated that there was a single offender and 552,500 or 77% indicated that the offender was male in the most recent incident.

For approximately 407,600 or 57% of incidents the offender was known to the victim. An estimated 410,000 (57%) victims of assault considered the most recent incident a crime and 221,100 or 31% told police about the incident. Of victims who reported an assault to police, 56% did so by telephone. Some form of support service was accessed by 85% of victims of assault, most commonly a family member (58%) and/or friend or neighbour (52%).

Sexual assault

A total of approximately 62,700 (1% incidence rate) incidents were experienced by female victims of sexual assault.

The majority of the victims of sexual assault were females (28,300 or 86%) and 66% of female victims experienced a single incident of sexual assault.

Some 93% of female victims reported that no weapon was used, and 72% of female victims were not injured in the most recent incident.

For female victims of sexual assault, the most frequently reported locations where the most recent assault had taken place were the victim's own or another home (40%), and a public venue (37%), such as a place of entertainment, including car park.

Some 21,600 or 77% of female victims indicated that there was a single offender in the most recent incident, and in most cases the offender was male (93%). In over half (58%) of the most recent incidents of female sexual assault, the offender was known to the victim.

An estimated 21,800 (77%) of female victims of sexual assault considered the most recent incident a crime, yet 80% of victims did not tell police about the incident. Some form of support services were accessed by 87% of female victims of sexual assault, most commonly a friend or colleague (68%) and/or familymember(41%).


REPORTING TO POLICE

Many factors influence whether or not an incident is considered by the victim to be a crime and whether or not it is reported to police. In particular, the survey indicates that rates of reporting to police vary depending on the type of offence and the victims view of the incident. Reporting rates for different offence types range from:
  • 95% for household victims of motor vehicle theft
  • 75% for household victims of break-in
  • 50% for victims of robbery
  • 31% for victims of assault
  • 20% for female victims of sexual assault.

REPORTING RATE(a) TO POLICE OF MOST RECENT INCIDENT
Graph 7 - Reporting rate to police of most recent incident



For victims of household crimes, the differences in reporting rates across states and territories generally are not statistically significant compared to rates for Australia overall. The exception to this is break-in, where rates of reporting to police vary from 68% in New South Wales to 84% in Western Australia.

Reporting rates remained relatively unchanged from 1998 to 2002. The reasons why victims did not tell police about the most recent crime incident vary according to the offence. Reasons given by victims who did not report the incident to police include:
  • for assault victims, 24% felt the incident was a personal matter and they would take care of it themselves
  • for household victims of break-in, 24% thought there was nothing the police could do
  • for victims of robbery, some 45% thought there was nothing the police could/would do about the offence.

BREAK-IN AND ATTEMPTED BREAK-IN, REPORTING RATES
Graph 8 - Break-in and attempted break-in, reporting rates



In general, the reporting rates for motor vehicle theft in all states and territories were relatively high. The reporting rate for motor vehicle theft varied from 87% in Tasmania to 97% in Western Australia.

MOTOR VEHICLE THEFT, REPORTING RATES
Graph 9 - Motor vehicle theft, reporting rates



NEIGHBOURHOOD PROBLEMS

Overall around three quarters of persons aged 15 years and over perceived that there were problems with crime and/or public nuisance issues in their neighbourhoods. There was some variation in people's perceptions across states and territories, from 70% of people in Queensland and Tasmania to 80% in the Northern Territory who perceived problems in their neighbourhoods. The most commonly perceived problem was housebreaking/burglaries/theft from homes (44% perceived this as a problem). Other commonly perceived problems were dangerous/noisy driving (39%), vandalism/graffiti/damage to property (27%) and car theft (25%).

NEIGHBOURHOOD PROBLEMS
Graph 10 - Neighbourhood problems



FEELINGS OF SAFETY

Approximately 80% of persons indicated that they felt safe or very safe when at home alone during the day, compared with 69% feeling this way after dark. Conversely, 4% of persons felt unsafe or very unsafe when at home alone during the day, compared with 10% at home alone after dark.

Across states and territories there was some variation in feelings of safety:
  • 77% of persons in New South Wales, compared with 83% of persons in Queensland indicated they felt safe or very safe when at home alone during the day
  • 66% of persons in Western Australia, compared with 73% of persons in the Australian Capital Territory indicated they felt safe or very safe when at home alone after dark.

Perceptions of safety varied between males and females, particularly after dark, when 78% of males compared with 61% of females felt safe or very safe when at home alone. Feelings of safety also varied according to age, with 42% of persons aged 15 to 19 years compared to 23% of persons aged 65 years and over feeling very safe when at home alone during the day.

FEELINGS OF SAFETY AT HOME ALONE
Graph 11 - Feelings of safety at home alone