NOTES
ABOUT THIS PUBLICATION
This publication presents the final results from the Survey of Outward Foreign Affiliates Trade (SOFAT), which was conducted by the ABS for the first time in respect of 2002-03 (footnote 1). The survey collected information on the number, industry, sales (footnote 2), purchases, employment and wages and salaries of foreign affiliates (footnote 3) of Australian resident enterprises. Information on the type of goods and services traded, modes of supply and the country of the trading partner for exports and imports of goods and services by foreign affiliates was also collected. This information has been linked to information on the Australian parent to provide a comprehensive study of the activities of Australian multinational enterprises (MNEs).
EXPERIMENTAL RESULTS
Results from SOFAT should be treated as experimental. Please refer to the Explanatory Notes for information on the methodology used to develop these estimates. The ABS invites feedback on these estimates and the methods used to compile them. Any comments should be provided to the contact person listed on the front of this publication.
ROUNDING
Where figures have been rounded, discrepancies may occur between the sum of component items and the total.
ESTIMATES OF GROSS VALUE ADDED
One of the initial objectives of SOFAT was to collect information on Gross Value Added (GVA). However, the information obtained in the survey proved unusable for the purpose of producing estimates. The ABS will continue to analyse the information with the intention of publishing the results of this analysis in a feature article in due course. This article will be made available on the International Trade theme page on the ABS website.
INQUIRIES
For further information about these and related statistics, contact Glenn L'Huillier on Canberra (02) 6252 6924 or the National Information and Referral Service on 1300 135 070.
BACKGROUND
BACKGROUND
The ABS is developing a range of statistics relating to the activities of Australian multinational enterprises (MNEs), also known as inward and outward foreign affiliates trade in services (FATS) statistics. The concepts and definitions for FATS statistics are articulated in the Manual on Statistics of International Trade in Services (MSITS), published in 2002. Only a few countries collect these statistics at present, including the USA, Japan, Canada and a limited number of European countries.
The Survey of Outward Foreign Affiliates Trade (SOFAT) was designed to identify all Australian resident enterprise groups with affiliates abroad, regardless of ownership, and measure the economic activity of their foreign affiliates. The survey was designed to obtain the data required for the compilation of the full range of economic variables for outward FATS as defined in MSITS and the relevant globalisation indicators as recommended in the draft Manual on Economic Globalisation Indicators (MEGI). In addition, the survey collected data about foreign affiliates trade in goods.
The ABS has compiled conventional economic indicators for foreign trade and foreign direct investment within the framework defined in the Balance of Payments Manual, (5th edition) for many years. While these statistics provide some structural information, the ABS has not regularly compiled statistics on the economic activity of MNEs. In recent years, the ABS has embarked on a series of case studies to synthesise activity data for MNEs from other related data sources. Early studies examined new capital expenditure by foreign-owned MNEs, the economic activity of foreign-owned MNEs in the mining and information technology industries, and research and development activities of foreign-owned MNEs in Australia.
The most recent study covered the economic activities of identified majority foreign-owned businesses in the Australian economy, covering employing private sector businesses in all industries except agriculture, forestry and fishing. That study provided a range of globalisation indicators consistent with the framework in MEGI. The study also provided some of the required indicators for inward FATS, specifically: number of businesses; employment; value added; gross fixed capital formation; gross operating surplus; and total assets. However, like the previous studies, it was unable to identify the activities of Australian-owned MNEs. The current study was also designed to provide information on these activities.
ANALYSIS OF RESULTS
KEY MEASURES
Key measures of Australian outward foreign affiliates trade include:
- Number of foreign affiliates.
- Employment by foreign affiliates.
- Wages and salaries of foreign affiliates.
- Sales of goods and services by foreign affiliates.
- Purchases of goods and services by foreign affiliates.
KEY POINTS
Main findings for 2002-03 include:
- Australian enterprise groups had 4,012 foreign affiliates employing 321,924 staff.
- Foreign affiliates of Australian resident enterprise groups generated $142.3b in sales revenue for goods and services.
- Foreign affiliates of Australian-owned enterprise groups dominated, with more than an 80% contribution to all key measures.
- Foreign affiliates of foreign-owned Australian resident enterprise groups had a much greater focus in Asia-Pacific compared to Europe or the Americas, whereas trade activity of foreign affiliates of Australian-owned enterprise groups was more evenly spread across all regions.
- Manufacturing was the dominant industry of foreign affiliates, with sales revenue of $36.7b (26% of total sales) and employing 120,368 staff (37% of total employment).
- Foreign affiliates domiciled in New Zealand, the United Kingdom and the United States of America predominated in all key measures; together they accounted for more than 50% for all key measures.
- Foreign affiliates were primarily established to service the markets where they were domiciled, with around 90% of sales of goods and services in the host country of the foreign affiliate.
- Foreign affiliates operated in similar industries to those of their Australian parent.
ANALYSIS
KEY MEASURES, BY COUNTRY OF FOREIGN AFFILIATE
The United Kingdom, New Zealand and the United States of America dominated all key measures of Australian outward foreign affiliates trade (see table 1). These three countries combined accounted for more than 50% of each key measure. Graph 1 shows the percentage contribution by the United Kingdom, New Zealand and the United States of America for each key measure.
KEY MEASURES OF FOREIGN AFFILIATES, by selected countries – 2002-03

The United States of America accounted for 25% of all foreign affiliates, New Zealand 18% and the United Kingdom 12%. These three countries accounted for 55% of total sales of goods and 74% of total sales of services by foreign affiliates. For foreign affiliates domiciled in New Zealand, sales of goods was 1.8 times sales of services, while for the United Kingdom and the United States of America the reverse was the case, with sales of services 1.6 times sales of goods.
Employment by foreign affiliates was similarly proportioned, with New Zealand accounting for 27%, followed by the United States of America (15%) and the United Kingdom (12%). Although New Zealand dominated employment, the United States of America generated the most wages and salaries, closely followed by New Zealand then the United Kingdom. Total remuneration per employee was similar for the United Kingdom and the United States of America and was substantially higher for these two countries than for New Zealand.
KEY MEASURES, BY REGION OF FOREIGN AFFILIATE AND OWNERSHIP OF PARENT
When Australian resident enterprise groups with a commercial presence abroad were viewed from an ownership perspective, as shown in graph 2, foreign affiliates of Australian-owned enterprise groups dominated, with more than an 80% contribution to all key measures of Australian outward foreign affiliates trade activity.
KEY MEASURES OF FOREIGN AFFILIATES, by ownership of Australian parent enterprise group – 2002-03

On a regional basis, foreign affiliates of Australian-owned enterprise groups that operated in Europe and the Americas contributed more than 90% to all key measures, while for Asia-Pacific, foreign affiliates of Australian-owned enterprise groups contributed significantly less for these key measures (about 70%). Foreign affiliates of foreign-owned Australian resident enterprise groups had a much greater focus in the Asia-Pacific region compared to Europe or the Americas, where they had only limited presence. This suggests that a proportion of foreign-owned Australian resident enterprise groups were established as regional headquarters for the Asia-Pacific region.
KEY MEASURES, BY INDUSTRY OF FOREIGN AFFILIATE AND OWNERSHIP OF PARENT
On an industry basis, as shown in table 3, foreign affiliates in manufacturing; finance and insurance; wholesale trade; and property and business services dominated. Graph 3 shows the percentage contribution by these four industries for each key measure.
KEY MEASURES OF FOREIGN AFFILIATES, by selected industries – 2002-03

Foreign affiliates in manufacturing generated the most sales revenue, followed by finance and insurance; wholesale trade; and property and business services. Collectively these four industries accounted for 70% of total sales revenue. Manufacturing and finance and insurance were also the top two employing industries, followed by property and business services; and wholesale trade. Foreign affiliates in the manufacturing industry dominated purchases of goods, followed by wholesale trade and retail trade. These three industries accounted for 86% of goods purchased. Finance and insurance was the dominant industry for purchases of services, followed by manufacturing and wholesale trade.
Foreign affiliates of Australian-owned enterprise groups generated nearly 8 times the sales revenue of foreign affiliates of foreign-owned Australian resident enterprise groups, so it was not unexpected that the same four industries that drove total revenue also drove revenue for foreign affiliates of Australian-owned enterprise groups (table 3). Again, manufacturing and finance and insurance were the top contributors, followed by wholesale trade; and property and business services. Manufacturing and finance and insurance were also the largest employing industries.
Only five industries in which foreign affiliates of foreign-owned Australian resident enterprise groups operated generated more than one billion dollars in sales revenue, compared to seven industries for foreign affiliates of Australian-owned enterprise groups. Of these five industries, wholesale trade was the major contributor, followed by manufacturing; finance and insurance; mining; and construction. These five industries accounted for 89% of sales revenue generated by foreign affiliates of foreign-owned Australian resident enterprise groups; however, this was only 10% of total sales revenue of all foreign affiliates. Manufacturing was by far the largest employing industry, accounting for 39% of employment by foreign affiliates of foreign-owned Australian resident enterprise groups, followed by property and business services (16%), wholesale trade (13%) and construction (12%).
KEY MEASURES, BY INDUSTRY AND OWNERSHIP OF AUSTRALIAN PARENT
Characteristics of foreign affiliates can also be viewed by looking at the industry of the parent Australian enterprise group, instead of the industry of the foreign affiliate. Table 5 shows the characteristics of foreign affiliates, classified by the industry and ownership of the parent Australian enterprise group and shows that a similar pattern emerges to that when analysed by the industry of the foreign affiliate (table 3). Manufacturing dominated most key measures, followed by finance and insurance, wholesale trade and property and business services. These four industries predominated for most key measures, regardless of ownership of the parent Australian enterprise group. Mining was also significant in terms of sales of goods and services and purchases of services.
INDUSTRY OF AUSTRALIAN PARENT, BY INDUSTRY OF FOREIGN AFFILIATE
Table 6 cross-classifies the industry of the foreign affiliate by the industry of the Australian resident enterprise group, in order to determine the correlation between the industry of the parent Australian resident enterprise group and the industry of its foreign affiliates. By looking at the diagonal (top left to bottom right of table 6) it is possible to observe the relationship between the industry of the foreign affiliate and the industry of the Australian enterprise group. More than half of the foreign affiliates were in the same industry as their Australian parent, except for construction and transport and storage. Relationships were also evident between certain industries; for example, manufacturing parents with wholesale trade affiliates and construction parents and property and business services foreign affiliates.
SALES OF GOODS AND SERVICES BY FOREIGN AFFILIATES
Sales of goods and services by foreign affiliates can be disaggregated into exports and sales in the host country of the foreign affiliate (i.e. the country where the foreign affiliate was domiciled or predominately operated). Graph 4 shows that 90% of sales of goods and 91% of sales of services were in the host economy of the foreign affiliate, with only 10% of goods and 9% of services exported (footnote 4). This suggests that foreign affiliates of Australian resident enterprise groups were established abroad primarily to service the markets where the foreign affiliate was domiciled.
SALES OF GOODS AND SERVICES, by region – 2002-03

Foreign affiliates in Asia-Pacific accounted for 47% of total sales of goods, followed by the Americas with 32% and Europe with 22%, as shown in table 8. Total sales of services was split similarly, with foreign affiliates in the Americas accounting for 47%, Asia-Pacific 31% and Europe 22%.
PURCHASES OF GOODS AND SERVICES BY FOREIGN AFFILIATES
As previously mentioned, 90% of sales of goods and 91% of sales of services by foreign affiliates were in their host economies. Similar percentages occurred for purchases, with purchases of goods by foreign affiliates in their host economies accounting for 88% of total purchases of goods, and purchases of services accounting for 91% of total purchases of services, as shown in table 9. For all regions, sales in host countries exceeded purchases in host countries for both goods and services.
EXPORTS AND IMPORTS BY FOREIGN AFFILIATES
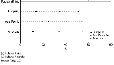
Table 10 shows that foreign affiliates in both Europe and Asia-Pacific were net importers of goods and services, while in the Americas they were net exporters of goods and services. Foreign affiliates that were domiciled in Europe exported the majority of goods and services to other countries within the European region, as shown in graph 5. Similarly, foreign affiliates domiciled in Asia-Pacific exported goods and services within that region. In contrast, foreign affiliates domiciled in the Americas tended to export across all regions. Overall, 48% of exports of goods and services by foreign affiliates were to Asia-Pacific, 41% to Europe and 11% to the Americas.
EXPORTS OF GOODS AND SERVICES, by region of foreign affiliate and region of trading partner – 2002-03

Unlike exports of goods and services by foreign affiliates, imports of goods and services were less focused within the region, with imports of goods and services spread across all regions as shown in graph 6. The majority of imports of goods and services, however, was still imported from Asia-Pacific (48%) and the Americas (33%), followed by Europe with 19%.
IMPORTS OF GOODS AND SERVICES, by region of foreign affiliate and region of trading partner – 2002-03

COMMODITY AND SERVICE TYPE
The type of good transacted was spread across all SITC (footnote 5) divisions with miscellaneous manufactured articles (footnote 6) the largest category for both sales and purchases of goods (table 11). This was followed by manufactured goods classified chiefly by material; crude materials, inedible, except fuels; and chemicals and related products, n.e.s. for sales of goods, and manufactured goods classified chiefly by material; chemicals and related products, n.e.s.; and machinery and transport equipment for purchases of goods.
Service transactions, on the other hand, as shown in table 12, were a little more concentrated by type of service, with financial and insurance services the most prominent, accounting for 39% of sales of services. Financial and insurance services was also the most purchased service by foreign affiliates with 19%, followed by other business services with 17%.
ULTIMATE BENEFICIAL OWNER
Table 13 provides a different view of foreign affiliate characteristics, by looking at selected characteristics from the perspective of the ultimate beneficial owner (UBO) (footnote 7) of the Australian enterprise group. Australia was the UBO of 63% of those Australian enterprise groups that had foreign affiliates that traded in goods and/or services, while 37% were foreign owned. Foreign affiliates of the Australian-owned enterprise groups generated 89% of total sales of goods and services and had 86% of the number of foreign affiliates. For sales of goods and services by foreign affiliates of foreign-owned Australian enterprise groups, the most significant countries in terms of UBO were the Netherlands, followed by France, Germany and the United States of America.
Footnotes
1. The reference period for these data was nominally the 2002-03 financial year. Please refer to the Explanatory Notes for further details. Back
2. Sales revenue included both revenue from sales to external customers and revenue from sales to companies within the enterprise group. At an aggregate level, inter-company sales accounted for approximately $5.8b or 4% of total sales revenue. Back
3. For the purpose of foreign affiliates trade statistics, foreign affiliates refers to those enterprises that are majority owned by the Australian resident enterprise group. Please refer to the Explanatory Notes for further details. Back
4. Mode of supply is the preferred classification for services transactions. However, due to the relatively small proportion of services transactions that were either mode 2 (consumption abroad) or mode 4 (presence of natural persons) it was necessary to combine modes 2 and 4 with mode 1 (cross border) to overcome data suppression due to ABS confidentiality restrictions. Please refer to the Explanatory Notes for further details. Back
5. Please refer to the Explanatory Notes for details on the SITC goods classification. Back
6. 'Type of good' data are indicative only and should be treated with some caution. A number of reporting units were unable to supply details on the type of good transacted. In many of these cases, depending on the industry to which the foreign affiliate was classified, goods transacted were classified to a 'generic unknown' classification, i.e. miscellaneous manufactured articles. Back
7. The ultimate beneficial owner is the overseas business that ultimately owns the Australian parent enterprise in the Australian enterprise group and is the top link in the chain of ownership. The immediate foreign parent of the Australian parent enterprise in the Australian enterprise group is the overseas business that has majority ownership (holds more than 50% of the ordinary shares or voting stock) of the Australian parent enterprise in the Australian enterprise group. The immediate foreign parent and the UBO may be the same business, if the immediate foreign parent is not majority owned by another business. Back