6324.0 - Work-Related Injuries, Australia, Sep 2000  
ARCHIVED ISSUE Released at 11:30 AM (CANBERRA TIME) 12/10/2001   
   Page tools: Print Print Page Print all pages in this productPrint All

CONCEPTUAL FRAMEWORK

The following diagram illustrates the framework for statistics from the Work-Related Injuries Survey. Persons who worked at some time during the year ending September 2000 were asked whether they experienced a work-related injury or illness in the same period.

The survey broadly defined work-related injuries and illnesses as those sustained as a result of work activities, or on a journey to or from work, or by aggravation of pre-existing conditions where employment was a contributory factor. This definition is broadly consistent with international standards recommended by the International Conference of Labour Statisticians.

Included are:

  • injuries sustained by all categories of employed workers;
  • injuries that have been claimed under workers' compensation; and
  • injuries that have not been claimed under workers' compensation.

Work-related injuries or illness resulting in death are excluded.

Flow chart - Conceptual Framework-Work Related Injuries



SUMMARY OF FINDINGS


OVERVIEW

Of the 9,687,300 persons aged 15 years and over who had worked at some time during the year ending September 2000, 5% experienced a work-related injury or illness in the same period. The majority (84%) of the 477,800 persons who experienced a work-related injury or illness did so in their current job, while a further 10% experienced it in their previous job. The remaining 6% were not working at September 2000.

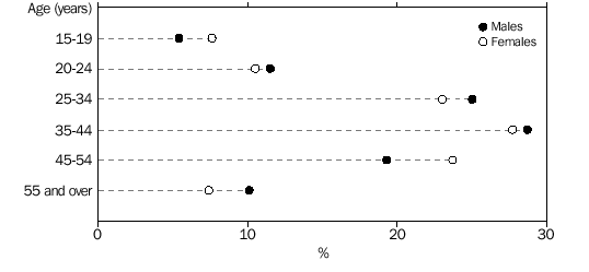
The majority of persons experiencing a work-related injury or illness were male, with more than twice as many males experiencing a work-related injury or illness as females (323,900 and 154,000 respectively). Twenty-eight per cent of persons experiencing a work-related injury or illness were aged 35 to 44 years, 24% were aged 25 to 34 years, and 9% were aged 55 years and over.

AGE DISTRIBUTION OF PERSONS WHO EXPERIENCED A WORK-RELATED
INJURY OR ILLNESS IN THE LAST 12 MONTHS

GRAPH - AGE DISTRIBUTION OF PERSONS WHO EXPERIENCED A WO



WORK-RELATED INJURY/ILLNESS RATES (PER THOUSAND)

Of those persons who worked at some time during the year ending September 2000 and who experienced a work-related injury or illness during the same period, the rate for males (60 per 1,000) was almost double that of females (36 per 1,000). The age group with the highest rate was 35-44 years, with 58 per 1,000 (70 per 1,000 for males, and 41 per 1,000 for females). The next highest rate was for the age group 25-34 years, with 50 per 1,000 (62 per 1,000 for males, and 34 per 1,000 for females). The age group with the lowest rate was 65 years and over, with 21 per 1,000 (23 per 1,000 for males, and 14 per 1,000 for females).

Work-related injury/illness rates varied considerably among the States and Territories. The highest rates were in South Australia (65 per 1,000) and Tasmania (58 per 1,000), while the lowest rates were in Victoria and the Northern Territory (both 42 per 1,000).


EMPLOYEES

Eighty-nine per cent of persons who experienced a work-related injury or illness were employees in the job where they experienced that injury or illness. Of these, over three-quarters (77%) were eligible for leave entitlements.


WORKERS' COMPENSATION

Of the 477,800 persons who experienced a work-related injury or illness during the year ending September 2000, 40% had received workers' compensation for their most recent work-related injury. Of these 189,400 persons, 36% had more than ten days off work as a result of the injury or illness, while 28% were off for between one to four days. Of the 259,900 persons who did not apply for workers' compensation, 13% had more than ten days off work, while 22% were off for between one to four days.

WORKERS' COMPENSATION RECIPIENTS:
MOST RECENT WORK-RELATED INJURY OR ILLNESS, DAYS OR SHIFTS ABSENT
GRAPH - WORKERS' COMPENSATION RECIPIENTS:


Of the 259,900 persons who experienced a work-related injury or illness and did not apply for workers' compensation, nearly half (49%) said the main reason they did not apply was that they considered the injury or illness to be minor or that it was not considered necessary, while a further 14% said they were not covered, or they were not aware of workers' compensation benefits.


SOURCES OF FINANCIAL ASSISTANCE

Of the 477,800 persons who had experienced a work-related injury or illness during the year ending September 2000, 325,400 received some type of financial assistance. Of these persons receiving financial assistance, 58% received workers' compensation, 21% received employer-provided regular sick leave, and 20% received Medicare benefits. (Note that in some cases a worker received more than one type of financial assistance in relation to a work-related injury or illness).

Over half (54%) of the 259,900 persons who did not apply for workers' compensation, did not receive any financial assistance for that injury or illness.